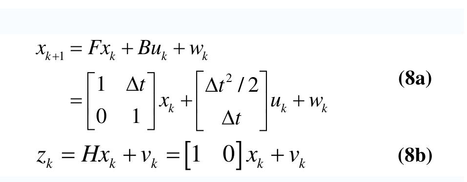
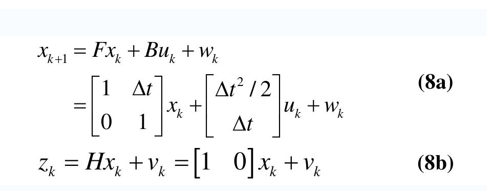
Anastasios Zagorianos - Hellenic Air Force Academy