Papers by antonella scherillo

Journal of Archaeological Science, 2024
Early Iron Age Iranian bladed weaponry plays a significant role in discussions of metallurgical d... more Early Iron Age Iranian bladed weaponry plays a significant role in discussions of metallurgical development in the ancient Near East. Due to its ubiquity in museum collections, as well as co-occurrence of bronze, iron, and bimetallic forms, it figures prominently in debates about the early ironworking techniques in the late 2nd and early 1st millennia BCE. However, dispersed collections, often lacking secure archaeological context, have made comprehensive assessment difficult. One major type of bladed weaponry, the so-called split-ear pommel swords have been the subject of much discussion, particularly around the presence of an iron core identified in many examples. Neutron tomography was applied to eight swords of this type to image their inner structure, assess the manufacturing process and determine possible recent modifications-the first time this technique has been applied to bronze Iranian weaponry of any period. The objects were recovered by the Border Force after being seized on entry to the UK and will be repatriated to Iran, providing an opportunity to investigate both ancient manufacture and modern (illicit) modifications. The results reveal extensive modern modification, namely the replacement of original blades-often made of iron-with different (but probably also ancient) bronze blades, conclusively showing that "iron cores" were not a technological feature in these bronze swords, but a result of modern tampering. Widespread iron blade replacement has masked the true extent of the production of bimetallic weapons and obscured the technological choices of early ironworkers. Given the centrality of unprovenanced objects in discussions of Iranian Iron Age metallurgy, these modifications have negative consequences for efforts to map the process of iron innovation.
Extraction of archaeological information from metallic artefacts—A neutron diffraction study on Viking swords
Journal of Archaeological Science: Reports, 2017
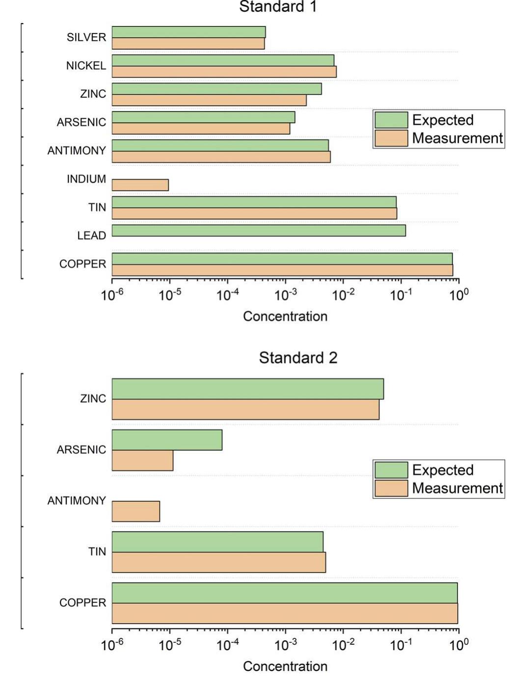
AIP Advances, 2021
Archeological artifacts can be analyzed after neutron irradiation at the pulsed ISIS neutron and ... more Archeological artifacts can be analyzed after neutron irradiation at the pulsed ISIS neutron and muon source, UK, using a newly installed high purity germanium gamma ray spectrometer to perform neutron activation analysis. In this work, the details of the measurement methods and data analysis are presented. In particular, it is explained how Monte Carlo calculations are necessary to evaluate the detection efficiency, taking into account self-shielding effects. The results for two certified bronze standards are presented. The good agreement between expected and measured compositions is promising for the use of this technique for archeological artifacts where the elemental concentration is often unknown. As an example, the analysis of a Chinese sword from the first or second century BC is presented.
Phase composition mapping of a Japanese helmet

Debasement of Roman Silver coinage
The quality of ancient silver coinage is often seen as a comment on the fiscal health of the issu... more The quality of ancient silver coinage is often seen as a comment on the fiscal health of the issuing states. This is nowhere more apparent than with Roman coinages, which witnessed debasements during the first three centuries of our era. Most Roman silver coins were produced from an alloy of Ag and Cu. This enabled Roman mints to disguise debasements from the general public by exploiting the dissimilarity between the electrode potentials of the two metals.The blanks for the coins were cast, and they were kept or reheated at red heat to oxidise the copper at the surfaces of the blanks. The copper could then be stripped out of the alloy by soaking in an acid. This left a honeycomb structure of nearly pure silver at the surface of the blanks. We proposed to apply Neutron Tomography on IMAT in order to visualise in 3D the presence of the Ag layer arising from Cu depletion.

Archaeological and Anthropological Sciences, 2021
Sardinian metallurgy produced samples of high artistic and historical value. In particular, ship ... more Sardinian metallurgy produced samples of high artistic and historical value. In particular, ship models are rare and unmatched examples of the mastery reached by Sardinian metallurgists and their production process deserves an in-depth analysis of all the phases involved in the making. In this work, we examined a Sardinian boat model to obtain information about its composition, microstructure and manufacturing technique. The object is a small bronze ship model that was found near the Nuraghe Colovros, located in north-east Sardinia (Italy). It was analysed by means of neutron imaging and neutron diffraction experiments at the ISIS Pulsed Neutron and Muon Source laboratory (Harwell, UK). Neutron techniques are relatively new in the field of archaeometry, but they are a very effective tool for the study of archaeological objects: they permit to survey complete artefacts, determine compositions and structures, assess the conservation status and address questions of effective use and ca...
The Vittoria Alata from Brescia: a combined neutron techniques and SEM-EDS approach to the study of the alloy of a bronze Roman statue
Journal of Archaeological Science: Reports

Neutron diffraction characterization of Japanese armour components
Journal of Analytical Atomic Spectrometry, 2013
ABSTRACT In this work we present an extensive time of flight neutron diffraction (ToF-ND) study o... more ABSTRACT In this work we present an extensive time of flight neutron diffraction (ToF-ND) study on some Japanese armour components. The experiments were carried out at the INES diffractometer at ISIS, the pulsed neutron source in the UK. In particular, we have studied seven Japanese helmets (kabuto) made between the 16th and 17th century. By means of this non-invasive approach we have been able to determine quantitatively the phase composition and the microstructural properties of these artefacts. The samples belong to different periods and different levels of quality. The observed differences were quantified in terms of the accuracy and amount of their working. A quantitative determination of their phases and of the thermo-mechanical treatments has been obtained for all investigated samples, confirming that the use of ToF-ND represents one of the most suitable non-destructive approaches for the characterization of metal archaeological artefacts.
J. Anal. At. Spectrom., 2014
This paper shows the possibility of using neutron diffraction on a high collimated instrument, su... more This paper shows the possibility of using neutron diffraction on a high collimated instrument, such as ENGIN-X (ISIS, UK), to scan the phase distribution along the thickness of a sample. The object under investigation is a 17th century Japanese helmet from the Haruta School, that was already studied using neutron diffraction to determine the quality of the steel and to get semi-quantitative information on micro-structural properties, suggesting the presence of a composite structure of steel and iron superimposed. Here we present novel results from diffraction measurements by using the instrument ENGIN-X . This study completes the cycle of neutron measurements on this sample and sheds light on the last unresolved questions raised by previous investigations.
Metallographic and Neutron Diffraction Analysis on Microstructural Evolution and Control in Ancient Indian High Carbon Steel
Archaeometry

Minerals
In this communication, we report the results of a preliminary neutron diffraction investigation o... more In this communication, we report the results of a preliminary neutron diffraction investigation of iron meteorites. These planetary materials are mainly constituted by metallic iron with variable nickel contents, and, owing to their peculiar genesis, are considered to offer the best constrains on the early stages of planetary accretion. Nine different iron meteorites, representative of different chemical and structural groups, thought to have been formed in very different pressure and temperature conditions, were investigated, evidencing variances in crystallites size, texturing, and residual strain. The variability of these parameters and their relationship, were discussed in respect to possible diverse range of petrological conditions, mainly pressure and cooling rate, experienced by these materials during the crystallization stage and/or as consequence of post accretion events.

Minerals, Jan 12, 2018
In this communication, we report the results of a preliminary neutron diffraction investigation o... more In this communication, we report the results of a preliminary neutron diffraction investigation of iron meteorites. These planetary materials are mainly constituted by metallic iron with variable nickel contents, and, owing to their peculiar genesis, are considered to offer the best constrains on the early stages of planetary accretion. Nine different iron meteorites, representative of different chemical and structural groups, thought to have been formed in very different pressure and temperature conditions, were investigated, evidencing variances in crystallites size, texturing, and residual strain. The variability of these parameters and their relationship, were discussed in respect to possible diverse range of petrological conditions, mainly pressure and cooling rate, experienced by these materials during the crystallization stage and/or as consequence of post accretion events.
Cu-based alloys as a benchmark for T-PGAA quantitative analysis at ISIS pulsed neutron and muon source
Journal of Analytical Atomic Spectrometry
In this paper, we present the quantitative analysis carried out for the first-time using time-res... more In this paper, we present the quantitative analysis carried out for the first-time using time-resolved prompt gamma activation analysis (T-PGAA), a recent technique currently under development at ISIS Neutron and...
Integrated approach between neutron diffraction and elemental imaging through Neutron Resonance Transmission Imaging, preliminary results on Chinese bimetallic sword fragments
Journal of Analytical Atomic Spectrometry
In this work Neutron Diffraction (ND) and Neutron Resonance Transmission Imaging (NRTI) are appli... more In this work Neutron Diffraction (ND) and Neutron Resonance Transmission Imaging (NRTI) are applied for the material characterization of composite artefacts, two bimetallic sword fragments from ancient China, in order...
Non-destructive compositional and microstructural characterization of Sardinian Bronze Age swords through Neutron Diffraction
Materials Characterization
A multidisciplinary non-destructive study of historical pipe organ fragments
Materials Characterization
Extraction of archaeological information from metallic artefacts—A neutron diffraction study on Viking swords
Journal of Archaeological Science: Reports, 2017
Average and core silver content of ancient-debased coins via neutron diffraction and specific gravity
Archaeological and Anthropological Sciences, 2017
Evolution in boron-based GEM detectors for diffraction measurements: from planar to 3D converters
Measurement Science and Technology, 2016
Disclosing mineralogical phases in medioeval iron nails by non-destructive neutron techniques
Archaeological and Anthropological Sciences, 2016
The archaeological samples from the site of Valle delle Forme (Bienno, Brescia, Northern Italy) b... more The archaeological samples from the site of Valle delle Forme (Bienno, Brescia, Northern Italy) belonging to 1300 - 1400 AD, are studied using neutron-based techniques .
Uploads
Papers by antonella scherillo