Papers by Apostolos Papanikolaou
Ocean Engineering, Jul 1, 2016
One of the major contributors to the survivability of a surface combatant is her reduced vulnerab... more One of the major contributors to the survivability of a surface combatant is her reduced vulnerability to weapon effects and as such the ship's damage stability characteristics determine a ship's ability to resist the consequences of possible flooding, namely to not capsize and/or sink. There are serious concerns about the limitations of the current semiempirical deterministic criteria in which a combatant's damage stability is assessed upon. This paper details a comparison between the current approach and a newly presented probabilistic approach with the aim of determining which will result in a more accurate way of estimating the level of survivability of a particular design. A study is also presented in which the maximum damage length used in the naval ship assessment is increased to merchant ship standards of 0.24Lbp.
Regulating the safe navigation of energy-efficient ships: A critical review of the finalized IMO guidelines for assessing the minimum propulsion power of ships in adverse conditions
Ocean Engineering, Apr 1, 2022
Prediction of the Motion of a Ship in Regular Head Waves Using Artificial Neural Networks
A Multi-Level Approach to the Prediction of the Added Resistance and Powering of Ships in Waves
In this paper, we present a multi-level fidelity approach and associated computational tools for ... more In this paper, we present a multi-level fidelity approach and associated computational tools for the prediction of the added resistance of various types of ships in waves. Employed methods include a fully empirical formula, a semi-empirical asymptotic formula, a potential flow, 3D panel method and a CFD code. Each of them requires a different level of detail for the hull form and this enables the application to various practical scenarios. The developed software tools are here validated against recently obtained model experiments data from MARIC. Developed tools are now integrated in the design software platform of MARIC and are used in the optimisation of ship design.
Experimental Studies on Seakeeping and Manoeuvrability of Ships in Adverse Weather Conditions
Σύγχρονες Εξελίξεις στη Σχεδίαση Πλοίων Ειδικού Τύπου
A nonlinear time.4omain hybrid method for simulating the motions of ships advancing in waves
CRC Press eBooks, Sep 20, 2011
Simulation of large amplitude ship motions and of capsizing in high seas
Journal of Marine Science and Engineering, Feb 6, 2022
This article is an open access article distributed under the terms and conditions of the Creative... more This article is an open access article distributed under the terms and conditions of the Creative Commons Attribution (CC BY

Ship technology research, May 7, 2019
This paper presents results of a systematic study on the resistance and speed loss of full type s... more This paper presents results of a systematic study on the resistance and speed loss of full type ships in waves. The percentage resistance-increase in waves against experimentally measured calm water resistance data was estimated by use of two alternative empirical formulas, namely one proposed by the authors and the other one as recommended by ITTC. The obtained results clearly show that the percentage resistance-increase and the associated (involuntary) speed loss are strongly dependent on ship's absolute size, loading condition and the operating seaway conditions and they can be satisfactorily quantified. This should be taken into account in the ship design process, when determining the sea margin for the selection of the machinery and propulsion system, when analysing sea trials and/or when preparing scaled model experiments to assess ship's performance in realistic seaway scenarios.

Ocean Engineering, Jun 1, 2016
The aim of this paper is to critically assess the methods used for the evaluation of wave-induced... more The aim of this paper is to critically assess the methods used for the evaluation of wave-induced loads on ships examining analytical, numerical and experimental approaches. The paper focuses on conventional ocean going vessels and loads originating from steady state and transient excitations, namely slamming, sloshing and green water, for the latter, and including extreme or rogue waves, as well as the more occasional loads following damage. The advantages and disadvantages of the relatively simpler potential flow approaches against the more time consuming CFD methods are discussed with reference to accuracy, modelling nonlinear effects, ease of modelling and of coupling with structural assessment procedures, suitability for long term response prediction and suitability for integration within design and operational decision making. The paper also assesses the uncertainties involved in predicting wave-induced loads and the probabilistic approaches used for the evaluation of long term response and fatigue analysis. The current design practice is reviewed and the role of numerical prediction methods within the classification framework and goal based design approach discussed. Finally the suitability of current developments in prediction methods to meet the needs of the industry and future challenges is assessed.

Regression analysis of experimental data for added resistance in waves of arbitrary heading and development of a semi-empirical formula
Ocean Engineering, Jun 1, 2020
Abstract In this paper, we first conduct an extensive review of published experimental studies on... more Abstract In this paper, we first conduct an extensive review of published experimental studies on the added resistance of a ship in waves to establish a common database. The data was enhanced by unpublished data from joint industry projects. Using this newly established database consisting of about 3,000 data points for 130 ships of different type and size, we develop an empirical formula for approximating the added resistance in regular waves of arbitrary heading. For the added resistance due to diffraction effect, we updated Faltinsen et al.'s (1980) asymptotic approach and introduced several semi-empirical parameters to approximate the added resistance in waves of various headings. The limited ship draft effect is examined analytically, while the hull form effects are taken into account empirically by regression of available data. For the radiation effect, the maximum value of added resistance and the corresponding wavelength for the various wave headings are determined by regression analysis of the experimental data. The developed formula is verified by application to typical ship types and sizes, both in the design and ballast conditions, at both design and low speeds. An error analysis for the various tested scenarios shows that the performance of the developed formula is satisfactory.

Fast approach to the estimation of the added resistance of ships in head waves
Ocean Engineering, 2016
Abstract In this paper we develop and explore various simple semi-empirical formulations for the ... more Abstract In this paper we develop and explore various simple semi-empirical formulations for the fast, but satisfactory estimation of the added resistance of ships in head waves. Relevant research work is in the frame of recent IMO-MEPC.232(65) EEDI guidelines for the estimation of minimum powering of ships in adverse weather conditions calling for suitable level 1 methods. We consider the effect of main characteristics of ship׳s hull form, with best fitting of available experimental data for different types of hull forms. A proposed new semi-empirical formula is simplified to the extent that it can be readily calculated using as input merely the speed and main characteristics of the ship and of the wave environment. Extensive validations of the proposed simplified formula for various ship hulls in both regular and irregular waves were carried out and compared to other comparable methods and more complicated approaches to the determination of the added resistance in head waves.
工学応用における船の付加抵抗の改良された公式【Powered by NICT】
Journal of Marine Science and Application, 2016
On an extended boundary method for the removal of irregular frequencies in 3D pulsating source panel methods
Ocean Engineering, Oct 1, 2019
An integrated methodology for the parametric design and optimisation of high-speed Ro-Ro Passenge... more An integrated methodology for the parametric design and optimisation of high-speed Ro-Ro Passenger vessels of both mono-and twin-hull configuration is presented. The hullform and internal layout are elaborated automatically in the NAPA® software environment enabling the multi-objective optimisation of design alternatives with respect to installed propulsive power, transport capacity and economic viability, while considering all major design constraints, including intact and damage stability. Typical application results from the optimisation of two high-speed Ro-Ro Passenger vessels are presented and discussed.

Journal of Ship Research, Sep 1, 2017
The introduction of the energy efficiency design index (EEDI), which is applicable for various ty... more The introduction of the energy efficiency design index (EEDI), which is applicable for various types of new-built ships after January 1, 2013, raised concerns regarding the sufficiency of propulsion power and steering devices to maintain maneuverability in adverse conditions. This was the motivation for the initiation of the EU research project SHOPERA (Energy Efficient Safe SHip OPERAtion, 2013-2016, http://www.shopera.org). The aim of this article is the development of suitable methods, tools, and guidelines to effectively address the above concerns and to enable safe and green shipping. Within the framework of SHOPERA, a comprehensive experimental program of more than 1300 different model tests for three ship hulls of different geometry and hydrodynamic characteristics has been conducted by four leading European maritime experimental research institutes: MAR

A Fast and Transparent Method for Setting Powering Margins in Ship Design
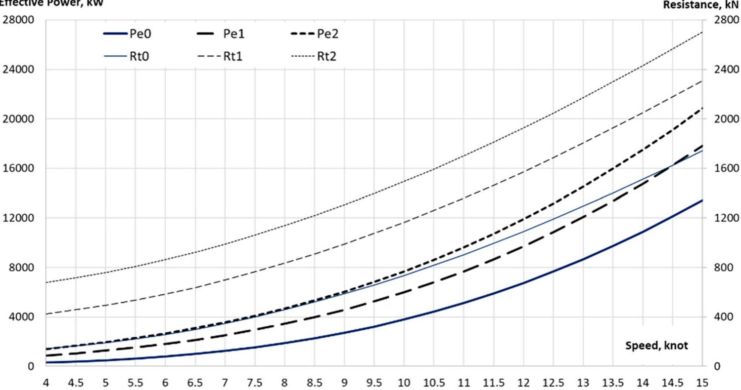
The selection of powering margins is a paramount subject in ship design to assure the satisfactor... more The selection of powering margins is a paramount subject in ship design to assure the satisfactory speed performance in ship operation. In this work, the influence of wind and wave on ship resistance is calculated using the methods recommended by ITTC [16]. The influence of fouling on resistance is predicted by the method of Granville [18,19], while the influence of fouling on propeller performance is predicted by the method discussed at ITTC [20]. The seaway conditions are derived by onboard monitored data while the hull and propeller are assumed to be in line with practical observations. All the implemented methods have strong background in theoretical and experimental studies, and are easy-to-use and fast in execution. A case study is presented to demonstrate the methodology. This work is expected to support ship owners, operators, and designers in determining the powering margins in the frame of preliminary ship design.

Applied Ocean Research, Nov 1, 2020
This paper presents a method for the rational processing of ship voyage data for improved ship op... more This paper presents a method for the rational processing of ship voyage data for improved ship operation. The proposed approach is based on a physical modeling method, in which the ship resistance-propeller-engine model is first developed by using available ship information and basic hydrodynamics. For the analysis of operational scenarios in realistic environmental conditions, seaway data are retrieved from WaveWatchIII® hindcast (Tolman, 2002; WAVEWATCH, 2020). The added resistances due to wind is predicted using a standard method recommended by ITTC and the added resistance in waves using a newly developed semi-empirical method of Liu and Papanikolaou (2020). Then, the recorded speed-power data is projected to the calm water condition based on the resistance and thrust identity method. In a second step, we apply simple, yet rational, filtering criteria to filter out the data points polluted by ship's accelerations, the rate of change of course, as well as wave conditions. The developed processing and filtering method is applied to the analysis of the monitored data of three voyages of a chemical carrier and the obtained results are discussed. The prospects of extending the presented method to the study of a time-varying ship speed performance and fuel consumption analysis procedure, in which hull fouling can be studied, is briefly outlined.

Journal of ship production and design, May 1, 2017
The operating conditions of modern warships, in the natural sea environment, have a significant i... more The operating conditions of modern warships, in the natural sea environment, have a significant influence on their survivability in the event that watertight integrity is lost. Up to now, the consideration of sea and weather conditions has been implicitly accounted for in a naval ship's damaged stability assessment. This paper outlines a probabilistic approach to assessing a naval ship's damage stability, in which some of the limitations of the currently used damage stability criteria are identified, including the validity of the assumption of moderate sea states at the time of damage. An investigation into the operability of a frigate design found that there is a significant increase in the risk of a ship's loss when changing the operational area from the North Atlantic to the North Pacific. A remarkable additional finding of the study showed that the assumed distribution for the damage penetration has no significant effect on the ship's survivability due to the way modern combatants are designed.
Uploads
Papers by Apostolos Papanikolaou