Papers by Diego Añón Suárez
Estructura y dinámica de la Taxocenosis Chironomidae (Diptera: nematocera) de un lago andino
Ablabesmyia reissi, spec. nov., a new species of Tanypodinae from Rio Negro province, Argentina, with descriptions of the adult female and preimaginal stages (Insecta, Diptera, Chironomidae)
Spixiana, 2000
A description is offered for the adult male, female and preimaginal stages of Ablabesmyia reissi ... more A description is offered for the adult male, female and preimaginal stages of Ablabesmyia reissi sp. nov. The species´subgeneric position is discussed and the new reissi species group created. Ecological features and the habitat at the type locality are described.Fil: Paggi, Analia Constancia. Consejo Nacional de Investigaciones Científicas y Técnicas. Centro Científico Tecnológico Conicet - La Plata. Instituto de Limnología ; ArgentinaFil: Añón Suárez, Diego Alejandro. No especifica

Marine and Freshwater Research, 2017
Dissolved organic matter (DOM) is a complex mixture of carbon compounds from autochthonous and al... more Dissolved organic matter (DOM) is a complex mixture of carbon compounds from autochthonous and allochthonous sources. Dissolved organic carbon (DOC) concentrations and optical metrics of DOM provide clues as to the sources and processes affecting the DOM pool. Herein we provide the first broad-scale characterisation of DOM from Patagonian lakes across a strong west–east precipitation gradient. Fifty-eight lakes from Northern Patagonia (Argentina and Chile) plus six lakes from the Antarctic Peninsula were sampled during summer 2000–01. Six DOM metrics were evaluated: DOC absorbance at 254nm (a254) and 350nm (a350), DOC-specific absorbance at 254nm (a254/DOC) and 350nm (a350/DOC) and spectral slope between 275 and 295nm (S275–295). The DOM of Chilean maritime lakes and shallow (<15m) Andean lakes exhibited terrestrial signatures and a pattern of variation consistent with their occurrence across the longitudinal precipitation gradient (i.e. S275–295 increased, whereas a350/DOC decre...

Quaternary Research, 2016
Chironomid communities were studied in a sediment core collected from Lake Moreno Oeste, located ... more Chironomid communities were studied in a sediment core collected from Lake Moreno Oeste, located in Nahuel Huapi National Park. A major change in midge assemblages occurred at ∼AD 1760, which was characterized by a decrease of “cold taxa” including Polypedilum sp.2 and Dicrotendipes, and an increase of “warm taxa” including Apsectrotanypus and Polypedilum sp.1. These taxa are likely related to climatic conditions concurrent with the end of a cold period at ∼AD 1500-1700 and the beginning of a drying climate at ∼AD 1740-1900 in northern Patagonia. Coarse tephra layers had low midge diversity; however they did not disrupt the climatic trend as the community recovered rapidly after the event. Since AD 1910, after the increase in suburban housing, fish introduction, and the construction of a road, there was an increase in the relative abundances of taxa typically associated with the littoral zone, such as Parapsectrocladius, Riethia, Apsectrotanypus, and some Tanytarsini morphotypes. Th...
Variability in the Rate of CDOM Photobleaching and its Control in Lakes
2004AquaticInsectsPodonomus
The Significance of Ultraviolet Radiation for Aquatic Animals
Modern Trends in Applied Aquatic Ecology, 2003
Page 191. 8 The Significance of Ultraviolet Radiation for Aquatic Animals Horacio E. Zagarese, Ba... more Page 191. 8 The Significance of Ultraviolet Radiation for Aquatic Animals Horacio E. Zagarese, Barbara Tartarotti, and Diego A. Anon Suarez Introduction The total amount of energy reaching the outer limit of the Earth's atmosphere is defined as the solar constant. ...

Limnologica - Ecology and Management of Inland Waters, 2007
In this paper, we studied the assemblage of Chironomidae from headwaters of Ñ ireco stream by rec... more In this paper, we studied the assemblage of Chironomidae from headwaters of Ñ ireco stream by recording drifting pupal exuviae caught in the debris close to the shore. Samples were collected in three stations along 18 km of the stream every 2 weeks during spring-summer months and monthly during autumn-winter over a year. A total of 15949 exuviae were collected and 55 taxa were identified. The most abundant taxa were Cricotopus spp. with highest numbers of exuviae recorded in each station over the study period. Subfamily Orthocladiinae was the most abundant taxa, followed by Chironominae and Podonominae. The emergence period in the stream occurred between December 1998 and March 1999. Most of the dominant and frequent species were univoltine. The emergence peaks at each sampling station occurred at the highest temperature of the water recorded.

Journal of the North American Benthological Society, 2002
The life cycle and production of the dominant chironomid species (Ablabesmyia reissi) in Lake Esc... more The life cycle and production of the dominant chironomid species (Ablabesmyia reissi) in Lake Escondido, Patagonia, Argentina were assessed. The study was done during 2 periods, lasting 1 y (1988-1989) and then 6 mo (1992-1993), and involved 3 sampling locations across a depth gradient (0.3, 4, and 8 m). Secondary production was calculated by the size-frequency method. The life history of A. reissi includes univoltine and bivoltine patterns. Mean density and biomass in both periods were highest at the shallowest station (630 individuals/m 2 and 18 mg/m 2) and lowest at the deepest site (9 individuals/m 2 and 0.22 mg/m 2). The highest estimates of secondary production (240 mg m Ϫ2 y Ϫ1) and biomass turnover (P/B ϭ 14) were also observed in the shallow littoral zone. The littoral zone provides the most favorable conditions for the development of chironomid populations in Lake Escondido. Lower production in the other regions of the lake is likely related to spatial differences in temperature, vegetation coverage, and organic matter content.
First Record of Podonominae Larvae Living Phoretically on the Shells of the Water Snail Chilina dombeyana (Diptera: Chironomidae / Gastropoda: Lymnaeidae)
Aquatic Insects, 2004
Larvae of Podonomus albinervis Edwards, 1931 were found phoretic on Gastropoda Chilina dombeyana ... more Larvae of Podonomus albinervis Edwards, 1931 were found phoretic on Gastropoda Chilina dombeyana (Bruigière, 1789) on the shores of Lake Nahuel Huapi, in Bariloche, Argentina. Larvae were attached with mucus and some had developed a tube made of detritus on the spire of the snail shell. Adults and pupae with associated larval exuviae were found, which helped to identify the

Photochemistry and Photobiology, 2006
This article explores the potential role of UV radiation (UVR) as an influence on zooplankton com... more This article explores the potential role of UV radiation (UVR) as an influence on zooplankton communities. In the first section we provide a general overview of UVR effects on freshwater zooplankton, with an emphasis on Argentine and Chilean environments. In the second section we present the results of a survey involving 53 temperate lakes across a gradient of UVR exposure to determine patterns of species richness and specific diversity. These community characteristics decreased at high potential UVR exposure (i.e. high mean water column irradiance or low lake optical density). A threshold value of mean water column irradiance of approximately 10% of the surface level seems to limit both richness and diversity to minimum values. On the basis of the collected evidence it is not possible to definitely conclude that UVR rather than another covarying factor is responsible for the decrease in specific diversity observed at the lowest end of lake optical depth. However, lakes with values above the previous threshold are likely to exhibit highly depauperate zooplankton communities regardless of the mechanism. As a cautionary note we suggest that changes in the optical characteristics (i.e. changes due to atmospheric conditions, precipitation patterns or vertical displacement of the tree line) may result in sudden shifts in zooplankton community structure.

Silver bioaccumulation in chironomid larvae as a potential source for upper trophic levels: a study case from northern Patagonia
Environmental science and pollution research international, Jan 4, 2017
Silver (Ag) is a pollutant of high concern in aquatic ecosystems, considered among the most toxic... more Silver (Ag) is a pollutant of high concern in aquatic ecosystems, considered among the most toxic metallic ions. In lacustrine environments, contaminated sediments are a source of Ag for the food web. Chironomidae (Insecta: Diptera) are the most abundant, diverse, and representative insect groups in aquatic ecosystems. Chironomid larvae are closely associated to benthic substrates and link primary producers and secondary consumers. Given their trophic position and their life habits, these larvae can be considered the entry point for the transference of Ag, from the benthic deposit to the higher trophic levels of the food web. Previous studies in lakes from Nahuel Huapi National Park (Northern Patagonia) showed Ag enrichment over background levels (0.04-0.1 μg g(-1) dry weight) both in biota (bivalves and fish liver) and sediments from sites near human settlements. The aim of this study was to analyze the role of chironomids in the transference of Ag from the benthic reservoir of Lak...

Chironomid communities were studied in a sediment core collected from Lake Moreno Oeste, located ... more Chironomid communities were studied in a sediment core collected from Lake Moreno Oeste, located in Nahuel Huapi National Park. A major change in midge assemblages occurred at~AD 1760, which was characterized by a decrease of "cold taxa" including Polypedilum sp.2 and Dicrotendipes, and an increase of "warm taxa" including Apsectrotanypus and Polypedilum sp.1. These taxa are likely related to climatic conditions concurrent with the end of a cold period at~AD 1500e1700 and the beginning of a drying climate at~AD 1740e1900 in northern Patagonia. Coarse tephra layers had low midge diversity; however they did not disrupt the climatic trend as the community recovered rapidly after the event. Since AD 1910, after the increase in suburban housing, fish introduction, and the construction of a road, there was an increase in the relative abundances of taxa typically associated with the littoral zone, such as Parapsectrocladius, Riethia, Apsectrotanypus, and some Tanytarsini morphotypes. The main change in the chironomid community appears to be associated with long-term climate change. At the beginning of the 20th century, other site-specific environmental factors (catchment change and fish introduction) altered the chironomid assemblages, making it more difficult to understand the relative importance of each driver of assemblage change.

Biología Acuática
Dzidymosphenia geminata (didymo) es una diatomea que desarrolla extensas floraciones que cubren e... more Dzidymosphenia geminata (didymo) es una diatomea que desarrolla extensas floraciones que cubren el fondo de ecosistemas lénticos y lóticos determinando fuertes cambios ecológicos. Dada su distribución, abundancia, características tróficas y su importancia como recurso alimentario para vertebrados, los crustáceos Aegla sp. y Samastacus sp. son fundamentales en la transferencia de materia y energía en lagos y ríos patagónicos. En este trabajo se pretende dilucidar si las floraciones algales afectan las poblacionales de ambos crustáceos en el río Limay superior. Durante los veranos de 2016, 2017 y 2018 se muestrearon 4 sitios del río, incluyendo tramos con y sin presencia del alga (CD -con Didymo- y SD -sin Didymo-). La zona litoral de cada sitio fue muestreada en tres hábitats respecto de la línea de costa (costa, somero y profundo). En cada unidad de muestreo se registraron: número de macrocrustáceos, porcentaje de cobertura del alga, desarrollo algal (colonias aisladas, parches), di...

Spatiotemporal structuring factors in the Chironomidae larvae (Insecta: Diptera) assemblages of an ultraoligotrophic lake from northern Patagonia Andean range: implications for paleolimnological interpretations
Hydrobiologia
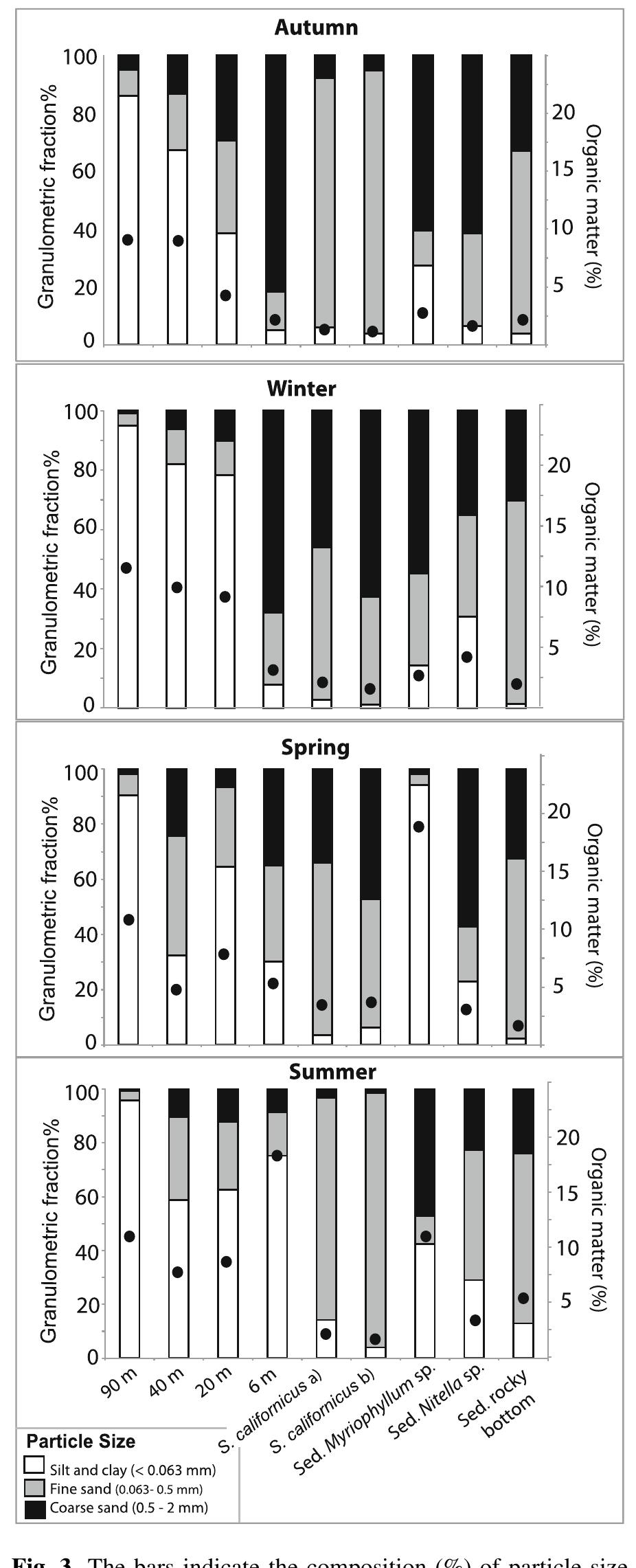
Chironomid larvae assemblages and their seasonal variations were analyzed in several substrate ty... more Chironomid larvae assemblages and their seasonal variations were analyzed in several substrate types from Lake Moreno Oeste (Northern Patagonia) in order to understand the spatiotemporal patterns controlling its community. Information on the factors structuring chironomid communities is important to understand their ecological aspects and to improve the interpretation of paleolimnological records based on the analyses of subfossil assemblages. The chironomid community of Lake Moreno Oeste exhibited spatial heterogeneity, with four distinctive groups of taxa associated with different substrate types: (1) macrophyte Myriophyllum sp. (mainly represented by Parapsectrocladius escondido, Parachironomus sp. and Apedilum griseistriatum); (2) submerged riparian leaves (Ablabesmyia sp.); (3) deep sediment (Cryptochironomus sp. and Polypedilum sp.2.); and (4) littoral and sublittoral sediment (Riethia truncatocaudata and Djalmabatista). Along the sampling period, significant seasonal changes in chironomid composition were observed in substrates from sublittoral and littoral zones; however, a relatively stable community was recorded in the deeper zone. In Lake Moreno Oeste, the spatiotemporal structure of chironomid larvae assemblages is mainly driven by the substrate type and environmental factors associated with depth, such as organic matter content, sediment granulometric composition, and dissolved oxygen. The results presented here contribute to our understanding of chironomid ecology in North Patagonia and constitute an essential step forward to improve biomonitoring and paleolimnological studies in lacustrine environments in the region.
Zootaxa
A new chironomid genus Wuelkerella is described. Pupae collected from the ultraoligotrophic Lakes... more A new chironomid genus Wuelkerella is described. Pupae collected from the ultraoligotrophic Lakes Tonĉek and Jujuy, inRío Negro Province, Argentina were individually reared to adults. Pupa and adult male and female of Wuelkerella toncekensis sp. n. show intermediate features of Alotanypus Roback, Brundiniella Roback and Radotanypus Fittkau et Murray.

Response of Chironomidae to environmental disturbances in a high mountain lake in Patagonia during the last millennium
Quaternary Research
Through the last millennium, Patagonia has been affected by changing climate conditions and succe... more Through the last millennium, Patagonia has been affected by changing climate conditions and successive volcanic eruptions. Lake Tonček is a high-altitude lake in the Southern Volcanic Zone in the northern Patagonian Andes. We documented the responses of the subfossil chironomid community to the effects of successive volcanic and different conditions in a sedimentary sequence from this lake comprising the last 900 years. The community composition and structure (abundance, diversity, and richness) and the development of morphological anomalies in the chironomid mouthparts were evaluated throughout the core. Both climatic conditions and volcanism affected the chironomid community differentially. The chironomid community changed following short-term climate change patterns, being affecting not only by temperature changes but also by variations in the regional precipitation regime. Decreases in abundance and diversity were only observed in coarse volcanic layers. In these samples, we rec...
Figure 4. (a) Relative abundance of Chironomidae taxa of Lake Toncek; (b) total abundance of head... more Figure 4. (a) Relative abundance of Chironomidae taxa of Lake Toncek; (b) total abundance of head capsules (HC/g); (c) diversity index (H); (d) richness (R); (e) mouthpart anomalies (%); (f) loss on ignition (LOI, %); (g) biogenic silica (BSi) concentration profile (mg/g); (h) chironomid zones calculated by a CONISS cluster analysis (Tilia version 1.7.16). Volcanic ash layers are presented in gray (TK1-TK9).

Hydrobiologia, 2019
Chironomid larvae assemblages and their
seasonal variations were analyzed in several substrate
ty... more Chironomid larvae assemblages and their
seasonal variations were analyzed in several substrate
types from Lake Moreno Oeste (Northern Patagonia)
in order to understand the spatiotemporal patterns
controlling its community. Information on the factors
structuring chironomid communities is important to
understand their ecological aspects and to improve the
interpretation of paleolimnological records based on
the analyses of subfossil assemblages. The chironomid
community of Lake Moreno Oeste exhibited spatial
heterogeneity, with four distinctive groups of taxa
associated with different substrate types: (1) macrophyte
Myriophyllum sp. (mainly represented by
Parapsectrocladius escondido, Parachironomus sp.
and Apedilum griseistriatum); (2) submerged riparian
leaves (Ablabesmyia sp.); (3) deep sediment (Cryptochironomus
sp. and Polypedilum sp.2.); and (4)
littoral and sublittoral sediment (Riethia truncatocaudata
and Djalmabatista). Along the sampling period,
significant seasonal changes in chironomid composition
were observed in substrates from sublittoral and
littoral zones; however, a relatively stable community
was recorded in the deeper zone. In Lake Moreno
Oeste, the spatiotemporal structure of chironomid
larvae assemblages is mainly driven by the substrate
type and environmental factors associated with depth,
such as organic matter content, sediment granulometric
composition, and dissolved oxygen. The results
presented here contribute to our understanding of
chironomid ecology in North Patagonia and constitute
an essential step forward to improve biomonitoring and paleolimnological studies in lacustrine environments
in the region.

Chironomid communities were studied in a sediment core collected from Lake Moreno Oeste, located ... more Chironomid communities were studied in a sediment core collected from Lake Moreno Oeste, located in Nahuel Huapi National Park. A major change in midge assemblages occurred at ~AD 1760, which was characterized by a decrease of " cold taxa " including Polypedilum sp.2 and Dicrotendipes, and an increase of " warm taxa " including Apsectrotanypus and Polypedilum sp.1. These taxa are likely related to climatic conditions concurrent with the end of a cold period at ~AD 1500e1700 and the beginning of a drying climate at ~AD 1740e1900 in northern Patagonia. Coarse tephra layers had low midge diversity; however they did not disrupt the climatic trend as the community recovered rapidly after the event. Since AD 1910, after the increase in suburban housing, fish introduction, and the construction of a road, there was an increase in the relative abundances of taxa typically associated with the littoral zone, such as Para-psectrocladius, Riethia, Apsectrotanypus, and some Tanytarsini morphotypes. The main change in the chironomid community appears to be associated with long-term climate change. At the beginning of the 20th century, other site-specific environmental factors (catchment change and fish introduction) altered the chironomid assemblages, making it more difficult to understand the relative importance of each driver of assemblage change.
Uploads
Papers by Diego Añón Suárez
seasonal variations were analyzed in several substrate
types from Lake Moreno Oeste (Northern Patagonia)
in order to understand the spatiotemporal patterns
controlling its community. Information on the factors
structuring chironomid communities is important to
understand their ecological aspects and to improve the
interpretation of paleolimnological records based on
the analyses of subfossil assemblages. The chironomid
community of Lake Moreno Oeste exhibited spatial
heterogeneity, with four distinctive groups of taxa
associated with different substrate types: (1) macrophyte
Myriophyllum sp. (mainly represented by
Parapsectrocladius escondido, Parachironomus sp.
and Apedilum griseistriatum); (2) submerged riparian
leaves (Ablabesmyia sp.); (3) deep sediment (Cryptochironomus
sp. and Polypedilum sp.2.); and (4)
littoral and sublittoral sediment (Riethia truncatocaudata
and Djalmabatista). Along the sampling period,
significant seasonal changes in chironomid composition
were observed in substrates from sublittoral and
littoral zones; however, a relatively stable community
was recorded in the deeper zone. In Lake Moreno
Oeste, the spatiotemporal structure of chironomid
larvae assemblages is mainly driven by the substrate
type and environmental factors associated with depth,
such as organic matter content, sediment granulometric
composition, and dissolved oxygen. The results
presented here contribute to our understanding of
chironomid ecology in North Patagonia and constitute
an essential step forward to improve biomonitoring and paleolimnological studies in lacustrine environments
in the region.