Conference Presentations by Dr Mansur Hamma-adama

Association of Researchers in Construction Management (ARCOM) Conference, 2020
Carbon emission is a critical issue in infrastructure development, including the highway construc... more Carbon emission is a critical issue in infrastructure development, including the highway construction industry. Previous studies suggest that continuous carbon emission across highway projects is due to the use of different types of construction equipment and their inherent activities. Several research studies focused on arbitrary evaluation in order to reduce carbon emission using simulation, life-cycle analysis and multi-criteria optimisation. However, the general lack of methodological rigour brings into question the effectiveness of these carbon reduction methods. In addition, some of these studies do not show suitable improvement in carbon reduction and some of the findings are restricted in their usability. The present study aims to develop an integrated technique and a better understanding for the use of process management in reducing carbon emissions from highway construction projects. The study uses the literature review as the basis for its enquiry, enabling the use of secondary information as inputs to the analytical hierarchy process. The result shows that 'Strategy' has the highest weight score. The pattern of results indicates that a new paradigm shift is required in the use of strategic process management approaches in highway carbon reduction. Two contributions are made: firstly, the recommendation for early decision-making in order to include carbon reduction strategy during the highway feasibility study and tender phases. Secondly, the recommendation to use the proposed strategic process management framework in determining realistic carbon reduction strategies across the highway construction sector.

Proceedings of International Structural Engineering and Construction Holistic Overview of Structural Design and Construction, 2020
The South African construction industry accounts for 23% of the greenhouse emissions, while manuf... more The South African construction industry accounts for 23% of the greenhouse emissions, while manufactured materials amount to 4% of carbon dioxide emission. The human emission of greenhouse gases is the reason why the earth is warming up and making climate change a serious problem. The study adopted a quantitative approach in order to investigate on a stakeholder's perspective on level of implementation and awareness of Sustainable Construction Practices (SCPS). A structured survey questionnaire was used as a tool for data collection where the questionnaires were distributed to construction industry stakeholders. Out of the 75 distributed questionnaires, 60 were retrieved and all were valid and usable. The study revealed that sustainable construction practices is partially implemented and the responded are aware of Industrialization building system; construction ecology; life cycle costing; design for the environment; lean construction as the best construction practices that when fully adopted they would contribute greatly to the ecosystem we live in. This study contributes to a wider awareness of SCPs to the professional in the industry.

International Engineering Conference and Exhibition IECE, Riyadh, Saudi Arabia, 2020
Construction Industry is currently evolving around the world. On the other hand, despite the tech... more Construction Industry is currently evolving around the world. On the other hand, despite the technological advancement across most sectors, construction industry remains amongst laggards in digitalization. Currently, engineering business is facing technological disruption ahead of the fourth industrial revolution; one of which is the blockchain technology! Blockchain is new to construction industry, its challenges and opportunities are yet to be fully realized. This study explores the challenges and potential opportunities of blockchain in the construction industry through extensive review of literature within the blockchain domain vis-à-vis construction business domain. The study presents challenges under three categories (technical, regulation and social), and the potential opportunities in to improving efficiency and reducing conflict through transparency and trust. That will ultimately create value for money in the procurement of construction works. Recommendations are made based on the study finding to advance the research on blockchain applications in to the construction industry.

8th International Congress of Architectural Technologies (ICAT) Conference, 2019
The rapid growth of Building Information Modelling (BIM) in the Architecture, Engineering and Con... more The rapid growth of Building Information Modelling (BIM) in the Architecture, Engineering and Construction industries since its introduction around 2002 has highlighted a skills shortage within the industry whilst also leading to some confusion over the roles involved with BIM, particularly the BIM Manager. These factors can make recruiting the perfect BIM Manager difficult; especially with evidence also suggesting retaining personnel is a problem with many averaging less than two years per post before moving on. These issues are down to the industry having poor awareness of the skills and expertise BIM Managers can provide. This paper seeks to investigate the requirements for becoming a BIM Manager in terms of experience, training, skills and knowledge, whilst also assessing the different responsibilities between the various BIM management roles currently being used within the UK Construction Industry in order to clarify the current confusion. The investigation employed two research techniques. First, a comprehensive literature review that reviewed BIM roles and responsibilities at both project and corporate levels, before examining the characteristics of what is required to work with BIM. Second, a quantitative research survey that involved extracting key information from 25 BIM related job adverts that were posted throughout this study. The extracted data was then analysed to determine what is expected of potential BIM Managers in terms of education, working experience and skills. By comparing the findings of the two research techniques, it was possible to define what it takes to become a BIM Manager, whilst also separating responsibilities between management levels. The findings of this research culminated in defining a Project BIM Manager Job description/advertisement that responds to industry requirements. This job descriptor features the optimised role responsibilities at an SME alongside improved academic, professional and competency requirements that should lead to a higher quality recruitment process for employers.

International Journal of Civil and Environmental Engineering, 2018
Construction Industry has been evolving since the development of Building Information Modelling (... more Construction Industry has been evolving since the development of Building Information Modelling (BIM). This technological process is unstoppable; it is out to the market with remarkable case studies of solving the long industry's history of fragmentation. This industry has been changing over time; United States has recorded the most significant development in construction digitalization, Australia, United Kingdom and some other developed nations are also amongst promoters of BIM process and its development. Recently, a developing country like China and Malaysia are keying into the industry's digital shift, while very little move is seen in South Africa whose development is considered higher and perhaps leader in the digital transition amongst the African countries. To authors' best knowledge, Nigerian construction industry has never engaged in BIM discussions hence has no attention at national level. Consequently, Nigeria has no " Noteworthy BIM publications. " Decision makers and key stakeholders need to be informed on the current trend of the industry's development (BIM in specific) and the opportunities of adopting this digitalization trend in relation to the identified challenges. BIM concept can be traced mostly in Architectural practices than engineering practices in Nigeria. A superficial BIM practice is found to be at organisational level only and operating a model based-" BIM stage 1. " Research to adopting this innovation has received very little attention. This piece of work is literature review based, aimed at exploring BIM in Nigeria and its prospects. The exploration reveals limitations in the literature availability as to extensive research in the development of BIM in the country. Numerous challenges were noticed including building collapse, inefficiencies, cost overrun and late project delivery. BIM has potentials to overcome the above challenges and even beyond. Low level of BIM adoption with reasonable level of awareness is noticed. However, lack of policy and guideline as well as serious lack of experts in the field are amongst the major barriers to BIM adoption. The industry needs to embrace BIM to possibly compete with its global counterpart.

Construction Industry has had its biggest breakthrough since the development of Building Informat... more Construction Industry has had its biggest breakthrough since the development of Building Information Modelling (BIM). The industry has been changing over time; United States has been at the forefront of adoption and implementation of BIM while Australia, United Kingdom and some other developed nations are moving in full force concurrently. At the same time, developing countries are battling with BIM uptake. The BIM awareness and adoption in Nigerian Architecture Engineering and Construction (AEC) is significantly low; research to adopting this innovation has received very little attention. This piece of work (as part of preliminary investigation of a PhD work) is aimed at exploring the state of BIM within decision makers in Nigerian AEC. Semi-structured interviews were conducted with stakeholders in the industry (Contractor, Consultant and Clients); the transcribed interviews were analysed using qualitative content analysis. The information revealed that, the key players are generally not familiar with the term " Building Information Modelling " or " BIM " although mostly aware of some of its tools (i.e. AutoCAD, Revit etc.). Only a few uses some BIM tools at organisational level 'lonely BIM' and operating model based 'BIM stage 1.' Moreover, no legislative provision on BIM adopting or regulation. Nevertheless, the government is open for new concepts in promoting and advancing the industry only when they are convincing enough. Lack of experts on BIM is a major barrier to its adoption at all levels. Recommendations are made based on the findings based of the exploration for the industry to compete with its global counterpart.

Conference of International Congress of Architectural Technology 2018 (ICAT 2018), 2018
Computer Aided Design software and their kind are generally considered as Building Information Mo... more Computer Aided Design software and their kind are generally considered as Building Information Modelling (BIM) tools; moreover, the sophistication level of one in use may determine the BIM maturity level. Education and research are the backgrounds to innovation while training is a window to continuity in skills transfer. The experts are evolving from the industry professionals who are first trained in the Universities. This study determined how ready Nigerian Universities are to providing trained (on BIM tools) graduates for BIM adoption. A questionnaire survey was used; 59 structured questionnaires were distributed out of which 39 were successfully retrieved and analysed by descriptive statistics. The study revealed a significant correlation between the output (BIM skilled graduates) and the required software as well as trained tutors. The institutions are found to be physically ready with relatively sufficient hardware, however technically not ready! Due to lack of training software and skilled BIM tutors. More than three-quarter of the students are graduating on 'file-based collaboration' – 2D and 3D CAD knowledge with proficiency level between limited and practical application. However, the collaborative software training received proficiency level from basic to practical application with just 13% receiving training on the collaboration software, therefore contributing very little to the industry. Thus, this reveals a setback in the BIM tools training to carter for BIM uptake.

Building information modelling (BIM) technology has now reached maturity level in several countri... more Building information modelling (BIM) technology has now reached maturity level in several countries around the world. The construction industry internationally is realising potential benefits of using collaborative process in construction, and the increasing return on investment; and the potential benefits of integrating the industry is not fully realized in Nigeria. A quantitative approach was adopted to x-ray the Nigerian construction industry; a structured questionnaire was used across the AEC to evaluate BIM awareness and adoption in Nigeria through the line of enquiry known as the ‘diffusion of innovations’. The result revealed that 59.5% are aware of BIM technology; 22.8% are aware and currently using BIM and the remaining 17.7% neither aware nor using BIM; consequently, the industry was evaluated just within the Late Majority in terms of awareness and just entered the Early Majority in terms of BIM technology adoption. The country’s adoption pattern was compared with three other countries where BIM is at advance stage; consequently, Nigeria is at least five years behind US, UK and South Africa. The industry is likely to take the UK pattern to adopting the BIM.

Globally, construction industry has poor safety records indicating that, construction workers are... more Globally, construction industry has poor safety records indicating that, construction workers are three times more likely to be killed and twice as likely to be injured as workers in other occupations. The costs of these accidents which usually amount to considerable share of the contract price are usually borne by the sponsors of the projects. Many of such accidents in the Nigerian construction industry could be attributed to poor safety measures resulting from weak regulations and low level of compliances. This study attempts to investigate the implementation of accident preventive actions on some selected construction sites based on requirements compiled by the European Agency for Safety and Health at work. Data for analysis were obtained through field observations and direct interviews of operatives and personnel from the selected sites in the six geographical zones of Nigeria via purposive sampling technique. Descriptive statistics was used with the aid of Origin 5.0 software for windows for analysis. Results of the study indicate an average compliance of 45% to the preventive actions by the sites investigated. Two construction sites had the highest percentage of compliance of 71% while the lowest compliance of 17.9% was recorded on one construction site. These poor results could be attributed to the low level of awareness among stakeholders, non existence and/or weak regulations, poor compliance and poor health and safety plans and programmes. It is recommended that effective health and safety standards and guidelines be enforced to reduce accidents on construction sites with the view to ensuring safe working conditions.

Conference Paper Presented at the National Engineering Conference: The Role of Engineers in Capacity Building and Skill Acquisition for Nigerian Content Development, 9th – 10th December 2014. Kaduna Polytechnic, Kaduna – Nigeria, 2014
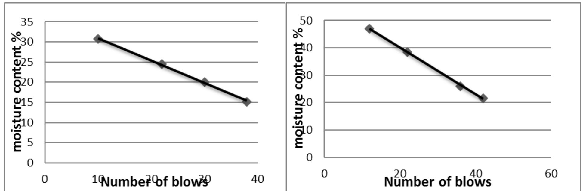
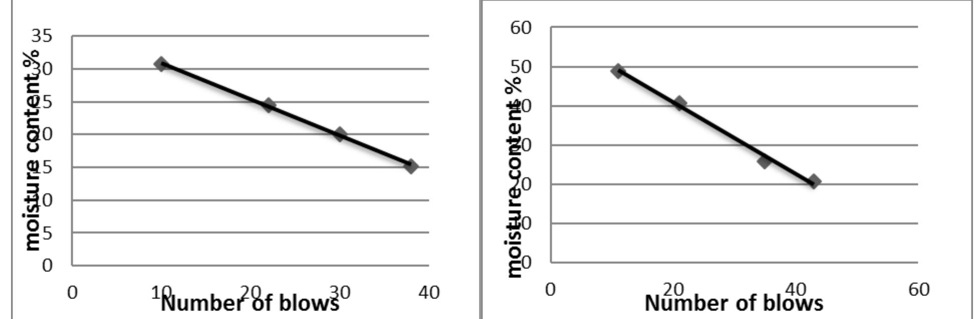
This study presents the effect of petroleum product contamination on bearing pressure of soil. So... more This study presents the effect of petroleum product contamination on bearing pressure of soil. Soil samples were obtained at different depths of 0.25, 0.5, 0.75 and 1.0m each from two different points (contaminated and virgin site). Atterberge limit, particle size distribution, compaction as well as shear test were carried out. The results revealed that, Atterberge limit of the soil is getting lower with increase in contamination; it was also observed that the maximum dry density and optimum moisture content dropped with an increase in oil content while cohesion dropped. Subsequently an increase in inter-slippage of the soil particles reduces the shear strength of the soil; hence these drop the soil bearing pressure.
Papers by Dr Mansur Hamma-adama

Journal of Scientific Research and Reports, 2018
Aim: This study evaluated Building Information Modelling (BIM) awareness and adoption in Nigeria ... more Aim: This study evaluated Building Information Modelling (BIM) awareness and adoption in Nigeria through the line of enquiry known as the 'diffusion of innovations' and its possible uptake. Study Design: The study is quantitative in nature and the primary data fetched through questionnaire survey within Nigerian construction industry. Place and Duration of the Study: Conducted within Northwest , North-central and Lagos, Nigeria for a period of 4 months. Methodology: A quantitative approach was adopted to x-ray the Nigerian construction industry; a structured questionnaire was used across the Architecture, Engineering and Construction (AEC). The generated data were analysed through descriptive statistics (in percentages) and presented in charts and graphs. Results: The result revealed that 59.5% are aware of BIM technology; 22.8% are aware and currently using BIM and the remaining 17.7% neither aware nor using BIM; consequently, the industry was evaluated just within the Late Majority in terms of awareness and just entered the Early Majority in terms of BIM technology adoption.

Construction Industry has been evolving since the development of Building Information Modelling (... more Construction Industry has been evolving since the development of Building Information Modelling (BIM). This technological process is unstoppable; it is out to the market with remarkable case studies of solving the long industry's history of fragmentation. This industry has been changing over time; United States has recorded the most significant development in construction digitalization, Australia, United Kingdom and some other developed nations are also amongst promoters of BIM process and its development. Recently, a developing country like China and Malaysia are keying into the industry's digital shift, while very little move is seen in South Africa whose development is considered higher and perhaps leader in the digital transition amongst the African countries. To authors' best knowledge, Nigerian construction industry has never engaged in BIM discussions hence has no attention at national level. Consequently, Nigeria has no "Noteworthy BIM publications." D...

Proceedings of the Creative Construction Conference 2019, 2019
The 'digitalization and collaboration' or Building Information Modelling (BIM) in the constructio... more The 'digitalization and collaboration' or Building Information Modelling (BIM) in the construction industry has been gaining momentum in the recent academic engagements. Despite its existence in many industries (i.e. publishing, retailing, financial and travel services) for over a decade, the construction industry is yet to catch up with them. This is due to several challenges whose existence are more dynamic and perhaps generic than static to various countries. The challenges are mostly defined, but their impacts are frequently varied with boundaries; and the same applied to drivers toward a successful BIM adoption. This study aims to establish barriers and drivers to adopting BIM across Nigerian construction industry professions for synchronization and collective engagements. Primary data was fetched from professional stakeholders (Architects, Engineers, Builders, Quantity Surveyors, Project Managers and Planners) using online structured questionnaire. A total of 68 valid responses were analyzed using descriptive statistics. The study reveals a significant improvement in awareness level with much better adoption rate; however, the utilization level remain very limited due to lack of clarity, knowledge and guide. Lack of expertise within organizations and within project team as well as lack of standardization and protocols (in descending order) were found as significant barriers to BIM adoption. On the other hand, availability of trained professionals to handle BIM tools, proof of cost savings by its adoption and the BIM software affordability (in descending order) were found as the significant drivers to achieving a quick and effective BIM adoption. Recommendations were made based on the study findings.

Global scientific journals, Jul 20, 2021
Developing countries are striving to build their infrastructure to foster their economic growth. ... more Developing countries are striving to build their infrastructure to foster their economic growth. Authors discovered that continuous rising in the access to locations along with spending on infrastructure enhances the economic development and growth of developing countries. However, this development process comes with various challenges such as the right of way, traffic management, diversions, noise, vibration, dust etc. In addition to that, the weak performance of road construction projects in these countries can be attributed to the inefficient understanding and deployment of risk management. As a result of these challenges, residents, businesses, travellers etc. are subject to risks at different levels and magnitudes. This study aims to identify and measure the risks associated with infrastructure development within cities in the developing nations. A questionnaire is used as a tool for data collection; the collected data is then analysed using percentages and Risk Assessment Matrix (RAM). The study identifies the significant risks associated with road infrastructure development (i.e. Heavy, traffic, Dust and Accident and Destruction) in the cities and their severity. This study contributes to identifying rating and likelihood of the associated risks while evaluating the critical risks that needed attention.

Construction Industry is currently evolving around the world. On the other hand, despite the tech... more Construction Industry is currently evolving around the world. On the other hand, despite the technological advancement across most sectors, construction industry remains amongst laggards in digitalization. Currently, engineering business is facing technological disruption ahead of the fourth industrial revolution; one of which is the blockchain technology! Blockchain is new to construction industry, its challenges and opportunities are yet to be fully realized. This study explores the challenges and potential opportunities of blockchain in the construction industry through extensive review of literature within the blockchain domain vis-à-vis construction business domain. The study presents challenges under three categories (technical, regulation and social), and the potential opportunities in to improving efficiency and reducing conflict through transparency and trust. That will ultimately create value for money in the procurement of construction works. Recommendations are made based on the study finding to advance the research on blockchain applications in to the construction industry.
Framework for macro building information modelling (BIM) adoption in Nigeria

Journal of Construction Materials
Construction Industry is evolving amid the fourth industrial revolution. Transportation, commerce... more Construction Industry is evolving amid the fourth industrial revolution. Transportation, commerce, manufacturing and many other industries ripened the current technological advancement and are striving to utilise every development in the IT sector. The procurement of construction works is known to be very conventional and backward in the adoption of digitalisation. The construction industry's procurement and supply chain are blamed for the most inflated cost of construction projects, mainly attributed to a lack of transparency and trust between the industry stakeholders. This research explores the challenges of E-procurement adoption in the industry and identifies the potential opportunities for its usage. This investigation's data are acquired through interviews, and the data are analysed using qualitative content analysis. This study reveals compounding challenges (i.e., corruption and lack of commitment) that lead to the failure of such efforts in Nigeria and the potentia...

COVID-19, social distancing, self-isolation, quarantine, furlough, palliatives, and many more eme... more COVID-19, social distancing, self-isolation, quarantine, furlough, palliatives, and many more emerged as the new vocabularies of the entire world, construction industry not excluded. It is precisely a decade from the last pandemic experienced by the human race. However, the most popular disease outbreak called Corona Virus Disease 2019 (COVID-19) was announced, which hit all the nations of the world within four months and was declared a pandemic in March 2020. This outbreak disrupted businesses around the globe, including built asset procurement and facility management. The United Kingdom, through the Construction Leadership Council, for instance, in responding to this unprecedented situation, published a new Site Operating Procedure (SOP). The effect of this Pandemic in these extraordinary times posed both positive and negative impacts in the Architecture, Engineering and Construction, Owner and Operator (AECOO) industry. Its effect has brought about innovative and diverse use of t...

Building information modelling (BIM) technology has now reached maturity level in several countri... more Building information modelling (BIM) technology has now reached maturity level in several countries around the world. The construction industry internationally is realising potential benefits of using collaborative process in construction, and the increasing return on investment; and the potential benefits of integrating the industry is not fully realized in Nigeria. A quantitative approach was adopted to x-ray the Nigerian construction industry; a structured questionnaire was used across the AEC to evaluate BIM awareness and adoption in Nigeria through the line of enquiry known as the 'diffusion of innovations'. The result revealed that 59.5% are aware of BIM technology; 22.8% are aware and currently using BIM and the remaining 17.7% neither aware nor using BIM; consequently, the industry was evaluated just within the Late Majority in terms of awareness and just entered the Early Majority in terms of BIM technology adoption. The country's adoption pattern was compared w...

The Construction Industry in the Fourth Industrial Revolution, 2019
Construction Industry in Nigeria has since required a disruptive technology to change its constru... more Construction Industry in Nigeria has since required a disruptive technology to change its construction business and improve its capabilities and productivity. As an on-going research (PhD work) to developing a strategy for an effective Building Information Modelling (BIM) adoption in Nigeria, a macro-BIM adoption study was carried out to establish BIM maturity within the Nigerian construction market. Online questionnaire was used as tool for data collection from the professional stakeholders in the industry. In the process to formulate a National BIM Roadmap, five conceptual macro-BIM maturity models were utilized. The models’ findings act as a guide in developing a national BIM adoption policy. The five applied models helped classify the macro maturity components and the key policies’ deliverables that must be addressed within both the initiation and consultation phases of proposing the Nigerian BIM roadmap. The results established positive progress in awareness and adoption level ...
Uploads
Conference Presentations by Dr Mansur Hamma-adama
Papers by Dr Mansur Hamma-adama