Papers by Emel Dikbaş Torun

Tek Parti Döneminde Faşizan Söylemler: Cumhuriyet Gazetesi Örneğinde 1942 Varlık Vergisi
Marmara Üniversitesi Siyasal Bilimler Dergisi
Fascism, which sometimes defends racial superiority through its emphasis on consanguinity, often ... more Fascism, which sometimes defends racial superiority through its emphasis on consanguinity, often makes the distinction between “us” and “them” in the form of discriminatory language in daily life. Despite the Single Party Period in Turkey between 1923 and 1950 being characterized as an authoritarian regime, some implications during World War II as the Wealth Tax Law are claimed to contain fascist components. Though it mainly covers the commercial bourgeoisie, subsidiary farmers, some claims state that this tax targeted non-Muslims and Jewish people especially. The aim of this study is to understand whether the Single Party Period in Turkey produced fascist discourse in ordinary daily life in the case of the Wealth Tax Law. For this purpose, in this study the news texts and articles about the 1942 Wealth Tax Law in the newspaper Cumhuriyet are examined using a discourse–historical approach with the strategies of predication and argumentation.
Learning from Text or Video: Comparative Analysis on Learning Across Modalities
ICERI proceedings, Nov 1, 2022
In this study participants' (N=120) free recall memory performances were measured in two purposel... more In this study participants' (N=120) free recall memory performances were measured in two purposely designed digital learning environments. An award winning context-free science fiction story was structured and visually programmed as the content of the (1) Text Presentation and the (2) Pictorial Presentation online learning environments. The independent samples t-test results were not significant; therefore memory performances were better for encoding from the text than the pictorial presentation.

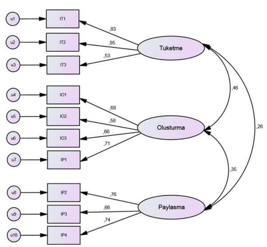
Sosyal ve Beşerî Bilimlerde Akademik Çalışmalar II, 2024
Günümüzde dijital iletişim, kişilerarası iletişimin odak noktasını oluşturmaktadır. İletişimin ve... more Günümüzde dijital iletişim, kişilerarası iletişimin odak noktasını oluşturmaktadır. İletişimin ve bilgi paylaşımında önemli bir platformu haline gelen sosyal medya, gün geçtikçe daha fazla iletişim platformlarını ortaya çıkarmaktadır. Hızlı ve her an ulaşılabilir olması nedeniyle WhatsApp, günlük iletişimde sıkça kullanılmaktadır. Dijital iletişimde öne çıkan bir diğer önemli unsursa emojilerdir. Duygu ve düşünceleri metinle daha etkili bir şekilde iletmek amacıyla kullanılan emojiler, iletişimde anlamı zenginleştirmekte ve duygusal bağ kurmayı kolaylaştırmaktadır. Çalışmada, Smith’in (2000) Sosyal Karşılaştırma Temelli Duygular Kuramı ele alınarak, bireylerin WhatsApp platformu üzerinde iletişim kurarken kullandıkları emojiler incelenmiştir. Çalışmada, bireylerin WhatsApp üzerinden iletişim kurarken hangi duygu anlarında hangi emojileri kullandıklarını tespit etmek amaçlanmıştır. İncelenen emojiler, kuramda yer alan 12 adet duygudan oluşmaktadır. Bunlar: ilham alma, sevinme (iyimserlik), hayran kalma, üzüntü/utanç, kıskançlık, gücenme/kızma, küçümseme, “oh olsun” duygusu, gurur duyma, acıma, endişe/kaygı ve sempati duygusudur. Çalışma için Sosyal Karşılaştırma Temelli Duygular Kuramına yönelik bir emoji seti oluşturulmuştur. Nicel yaklaşımdan çevrimiçi anket tekniğiyle elverişli örneklem yöntemiyle Türkiye’de yaşayan ve WhatsApp kullanan, 52'si kadın 48'i erkek olmak üzere toplam 100 üniversite öğrencisine ulaşılarak betimsel analiz yapılmıştır. Alanyazında konuyla ilgili çalışmalar incelendiğinde Sosyal Karşılaştırma Temelli Duygular Kuramı bağlamında emoji seti oluşturularak hazırlanmış çalışmaya rastlanılmamıştır. Bu sebeple çalışma kurama ve oluşturulan emoji setine bağlı kalarak, ele alınan duygu durumları doğrultusunda bireylerin iletişimde en sık kullandıkları emojileri ortaya çıkarmak hedeflenmiştir. Çalışmanın sonucunda; ilham alma duygusunda en çok düşünen, sevinme duygusunda gözünden yaş gelerek gülen, hayran kalma duygusunda kalpli gözlerle gülen, üzüntü/utanç duygusunda üzgün-yalvaran, kıskançlık duygusunda keyifsiz-memnuniyetsiz, gücenme/kızma duygusunda kızgın-sinirli, küçümseme duygusunda gözlerini deviren, “oh olsun” duygusunda güneş gözlüklü, gurur duyma duygusunda alkış işareti, acıma duygusunda üzgün-düşünceli, endişe/kaygı duygusunda terli-endişeli ve sempati duygusunda ise acıyla gülümseyen yüz emojilerini kullanmaktadır. Üzüntü/utanç, endişe/kaygı ve küçümseme duygusunda cinsiyetler arasında anlamlı fark vardır. WhatsApp emoji metninde sık kullanılanlardaki birinci emoji, gözünden yaş gelerek gülen olmuştur. Emojinin en sık kullanıldığı duygular arasında üzüntü/utanç duygusunda kullanılan emojiler, hem sevinme hem de endişe/kaygı duygusunda kullanılanlar ile aynıdır. “Oh olsun” duygusunda ise sevinme duygusunda kullanılanlar ile aynıdır. Genelde yüz ifadelerinden oluşan emojileri daha fazla tercih edilmektedir.

Akdeniz Üniversitesi İletişim Fakültesi Dergisi, 2019
In this study, it is aimed to adapt the two scales, the outside school social media behavior (OSS... more In this study, it is aimed to adapt the two scales, the outside school social media behavior (OSSMB) and inside school social media behavior scale (ISSMB) into Turkish, which were developed by Lu et.al (2018). OSSMB includes 21 items, and ISSMB includes 10 items. OSSMB Scale has four sub-dimensions: Consuming, Communicating, Creating, and Sharing. The OSSMB scale has three sub-dimensions: Consuming, Creating, and Sharing. The first part of the study data was collected with the participation of 806 university students attending a public university in the Aegean Region. Further data were collected from 365 students for confirmatory factor analysis of the scales. Data were collected from 1171 students in total. The Turkish version of the scale was started with a language validity study. The translation and back-translation stages of the Turkish version of the scale were performed by three language experts and three field experts. After language validity, Kaiser-Meyer_Olkin, Bartlett's, Exploratory Factor Analysis (AFA), Confirmatory Factor Analysis (CFA) and Cronbach's Alpha reliability and validity analyzes were performed. In the results, the factor loads of all items were good (above .61), and the total variances explained for both scales were high (ISSMB: 67.64% OSSMB: 56.71). The internal consistency values of both scales are acceptable for all factors. The factor structures obtained from the exploratory factor analysis have been confirmed by the confirmatory factor analysis with valid and reliable measurement scales measuring the difference between the social media use of young people in Turkey within and outside the school.

Erciyes İletişim Dergisi, 2019
As a result of the diversity in social media content and the continuous pollution of information ... more As a result of the diversity in social media content and the continuous pollution of information it brings, there is a need to question the reliability and accuracy of the new information circulated. A fake Facebook message and a source of loss posting, whose source is unclear; have been used in the study to investigate the questioning processes and sharing status of their accuracy by Facebook users. This research focuses on the cognitive interpretation of media literacy and the stages of analyzing the accuracy and reliability of messages with the Five Key Questions approach in Media Literacy. Two messages on social media, which have been widely shared by different circles, have been selected to analyze. 116 students both attendees and nonattendees of Media Literacy course at the Faculty of Communication participated in the study. During semi structured interviews the students were asked to complete the following sentences; "I think this message ... because ...", "I shared this message because ..." and "I did not share this message because ...". In the analysis of the data, phenomenology from qualitative research patterns with content analysis and quantitative techniques were used together with mixed methods research design. The results of the research show that the widespread messages on social media are assumed correct by most of the users without questioning and it shows that the dangers mentioned in the messages are frequently shared by social media users with the idea of securing themselves against the possibility of being real.
Behaviour & Information Technology, 2014
The purpose of this study was to investigate the effects of levels of processing (LOP) and variou... more The purpose of this study was to investigate the effects of levels of processing (LOP) and various navigation design types (NDTs) on high school students' recall and retention performances in e-learning environments. The participants' (N = 90) performances of free recall, title recognition, location memory and their retentions were measured in two different navigational layout design types by giving participants the instructional tasks which were designed in shallow, medium and deep LOP. Results are in accordance with the main argument of LOP; deeply processed elements are remembered better and the strength of the encoded memory trace depends on the mental processes carried out with different types of tasks. Results show that the main effects of LOP and NDT on memory performance are significant.
Procedia - Social and Behavioral Sciences, 2013

C-crcs Volume I BOOK, 2013
This study investigates the participants' recall performances during reading a context-free story... more This study investigates the participants' recall performances during reading a context-free story from a computer screen in the framework of Levels of Processing. The immediate recall test was used to determine participants' performance on free recall, title recognition and location memory with an online memory performance determination and measurement instrument. Results are in accordance with the main argument of Levels of Processing; deeply processed elements are remembered better and the strength of the encoded memory trace depends on the mental processes carried out with different types of tasks. Results show that the main effects of levels of processing on memory performance during on-screen reading are significant. The way of encoding, storing and retrieving during on-screen reading by implementing instructional tasks determine the level of memory performance in online interaction.

Acta Educationis Generalis, 2020
Introduction: This study investigates the influence of gender and social networking sites (SNSs) ... more Introduction: This study investigates the influence of gender and social networking sites (SNSs) such as Instagram, YouTube, WhatsApp, Facebook, and Twitter on consuming, creating, and sharing content within the educational social media usage behaviors of higher education students. The survey method is applied to measure students’ social media usage for educational purposes. So that a more effective use of social media in education can be provided, it is important to understand how university students vary in their educational use of social media. The aim of this study is to examine how higher education students use social media for their educational purposes based on the content and activities with which the students engage. The aim of the research is to determine the correlations, if any, between gender, preferred SNS type, and educational social media in regard to consuming, creating and sharing content. Methods: The derived scale is administered in Turkey with the participation ...
Teachers’ Adoption of Laptops in the Stages of Innovation Decision Process

American Journal of Educational Research, 2015
Background: Psychological well-being among college students around the world is a current researc... more Background: Psychological well-being among college students around the world is a current research topic. Despite various number of studies focusing on students who are trained for being a health care specialist, there are no reports on psychological disordes of student physical therapists. The objective of this study is to determine the prevalence of depression and anxiety among student physical therapists and to analyse any possible effects of different parameters on depression and anxiety. Methodology/Principal findings: 158 garad 2and grade3 students were enrolled in the study. Beck's depression inventory (BDI), Beck's anxiety inentory (BAI), Nottingham Health Profile (NHP), International Physical activity Questionnnaire (IPAQ) were used as evaluation measures. The mean age of the participants were 21.8±1.5 years. 18.9% of the students (n=30) had mild, moderate or severe depression. 40.5% of the students (n=64) had mild, moderate or severe anxiety. Only 10.8% of the participants (n=17) were inactive according to IPAQ scores. Female gender was correlated with higher BAI scores. Academic grade was not correlated with evaluation scores. Conclusions: The prevalence of anxiety and depression in student physical therapists was high, similar to the other health care professionals. These psychological disorders could influence the academic attainment. Therefore preventive measures and coping strategies may be implemented as an integral part college education.

Open Praxis
The purpose of this study was to examine the relationship between e-learning readiness and academ... more The purpose of this study was to examine the relationship between e-learning readiness and academic achievement in an online course in higher-level education. The survey method was employed when collecting the study data, and the data-collection instrument used was the E-Learning Readiness Scale. The scale comprises 33 items and six sub-dimensions, including (1) computer self-efficacy, (2) internet self-efficacy, (3) online self-efficacy, (4) self-directed learning, (5) learner control, (6) motivation toward e-learning. The study participants comprised 153 freshmen who were taking an online English as a Foreign Language course. A relational model is proposed in this study to measure the predicted levels of readiness on academic achievement in online learning. Reliability analysis, Pearson correlation, linear regression analysis, and structural equation modelling were used to analyze and model the study data. Results indicated that self-directed learning is the strongest predictor of...

Akdeniz Üniversitesi İletişim Fakültesi Dergisi, 2019
Adapting Adolescents’ Outside And Inside Of School Social Media Behavior Scale To Turkish: Validi... more Adapting Adolescents’ Outside And Inside Of School Social Media Behavior Scale To Turkish: Validity and Reliability Analysis
In this study, it is aimed to adapt the two scales, the outside school social media behavior (OSSMB) and inside school social media behavior scale (ISSMB) to Turkish which were developed by Lu et.al (2018). OSSMB includes 21 and ISSMB includes 10 items. OSSMB Scale has four subdimensions: Consuming, Communicating, Creating and Sharing. The OSSMB scale has three subdimensions: Consuming, Creating and Sharing. The study data were collected with the participation of 806 university students divided into two equal numbers (n = 403 for each scale) to form the data set of the scales. The Turkish version of the scale was started with a language validity study. The translation and back translation stages of the Turkish version of the scale were performed by three language experts and three field experts. After language validity, Kaiser-Meyer_Olkin, Bartlett’s, Exploratory Factor Analysis (AFA), Confirmatory Factor Analysis (CFA) and Cronbach’s Alpha reliability and validity analyzes were performed. In the results, the factor loads of all items were good (above .61) and the total variances explained for both scales were high (ISSMB: 61.35% OSSMB: 55.17). The internal consistency values of both scales are acceptable for all factors. The factor structures obtained from the exploratory factor analysis have been confirmed by the confirmatory factor analysis with valid and reliable measurement scales measuring the difference between the social media use of young people in Turkey within and outside the school.
Restructuring E-learning With Ontologies
2007 International Conference on Computational Science and its Applications (ICCSA 2007), 2007
The evolution of educational technology causes transformation in learning environments and gives ... more The evolution of educational technology causes transformation in learning environments and gives rise to various methods in content delivering. This transformation encounters us with a mass of information in e-learning environments. E-learning provides easy access to ...

Erciyes İletişim Dergisi, 2014
Bu araştırmada, bilgi ve iletişim teknolojileri kullanımında sergilenen bazı etik dışı davranışla... more Bu araştırmada, bilgi ve iletişim teknolojileri kullanımında sergilenen bazı etik dışı davranışlar belirlenerek bu davranışlara ilişkin örüntülerin modellenmesi amaçlanmıştır. Bilgi ve İletişim Teknolojileri (BİT) kullanımında karşılaşılan etik olmayan davranışların yer aldığı 28 maddelik bir "BİT etiği" ölçme aracı geliştirilmiştir. Ölçme aracı, elverişli örnekleme yöntemine göre seçilen ve yaşları 14 ile 18 arasında değişen 362 lise öğrencisine, internet üzerinden çevrimiçi veri toplama yoluyla uygulanmıştır. Etik olmayan davranışlar, çevrede gözlemlenme durumu ve katılımcılara uygunluğuna göre iki boyutlu olmak üzere yedili Likert tipi ölçekle derecelendirilmiştir. Ölçme aracının faktör yapılarını doğrulamak üzere veriler, açımlayıcı ve doğrulayıcı faktör analizleriyle test edilmiştir. BİT kullanımında etik olmayan davranışların, analizler sonucunda yeterli düzeyde olduğu görülen veri-model uyumluluklarına göre yapısal eşitlik modeli çizilmiştir. Çizilen modelin BİT etiği konusunda doğruluk, bilgi ve iletişim teknolojilerinin toplumsal etkileri, telif hakları ve güvenlik olmak üzere dört alt boyutla ilişkili olduğu belirlenmiştir.
The purpose of this study was to investigate the effects of levels of processing (LOP) and variou... more The purpose of this study was to investigate the effects of levels of processing (LOP) and various navigation design types (NDTs) on high school students' recall and retention performances in e-learning environments. The participants' (N = 90) performances of free recall, title recognition, location memory and their retentions were measured in two different navigational layout design types by giving participants the instructional tasks which were designed in shallow, medium and deep LOP. Results are in accordance with the main argument of LOP; deeply processed elements are remembered better and the strength of the encoded memory trace depends on the mental processes carried out with different types of tasks. Results show that the main effects of LOP and NDT on memory performance are significant.
The purpose of this study was to investigate the effects of levels of processing (LOP) and variou... more The purpose of this study was to investigate the effects of levels of processing (LOP) and various navigation design types (NDTs) on high school students’ recall and retention performances in e-learning environments. The participants’ (N=90) performances of free recall, title recognition, location memory and their retentions were measured in two different navigational layout design types by giving participants the instructional tasks which were designed in shallow, medium and deep LOP. Results are in accordance with the main argument of LOP; deeply processed elements are remembered better and the strength of the encoded memory trace depends on the mental processes carried out with different types of tasks. Results show that the main effects of LOP and NDT on memory performance are significant.
Levels of Processing during On-Screen Reading
Uploads
Papers by Emel Dikbaş Torun
In this study, it is aimed to adapt the two scales, the outside school social media behavior (OSSMB) and inside school social media behavior scale (ISSMB) to Turkish which were developed by Lu et.al (2018). OSSMB includes 21 and ISSMB includes 10 items. OSSMB Scale has four subdimensions: Consuming, Communicating, Creating and Sharing. The OSSMB scale has three subdimensions: Consuming, Creating and Sharing. The study data were collected with the participation of 806 university students divided into two equal numbers (n = 403 for each scale) to form the data set of the scales. The Turkish version of the scale was started with a language validity study. The translation and back translation stages of the Turkish version of the scale were performed by three language experts and three field experts. After language validity, Kaiser-Meyer_Olkin, Bartlett’s, Exploratory Factor Analysis (AFA), Confirmatory Factor Analysis (CFA) and Cronbach’s Alpha reliability and validity analyzes were performed. In the results, the factor loads of all items were good (above .61) and the total variances explained for both scales were high (ISSMB: 61.35% OSSMB: 55.17). The internal consistency values of both scales are acceptable for all factors. The factor structures obtained from the exploratory factor analysis have been confirmed by the confirmatory factor analysis with valid and reliable measurement scales measuring the difference between the social media use of young people in Turkey within and outside the school.