L. Astruc, C. McCartney, F. Briois, V. Kassianidou (eds.): Near Eastern lithic technologies on the move. Interactions and contexts in Neolithic traditions. Studies in Mediterranean Archaeology Vol. CL. Uppsala: Astrom Editions, 2019
The Pre-Pottery to Pottery Neolithic transition (PPN
to PN) in the Levant represents a key moment... more The Pre-Pottery to Pottery Neolithic transition (PPN
to PN) in the Levant represents a key moment in the
cultural evolution of the early farming societies in the
Near East, witnessing the evolution from emerging
to consolidated farming systems. The renewed
excavations at Beisamoun reveal the importance
of the site for reconstructing this transition in the
Southern Levant. The study of the lithic assemblage
from Beisamoun contributes to a clearer definition
of the chipped lithic industries at the end of the PPN
period (ca 7000–6500/6400 cal. BC) and plays a role
in the Final PPNB versus PPNC debate. Our study
has revealed the coexistence of five chaînes opératoires
at the site targeted towards the production of flakes,
flakelets, blades (bidirectional technology), bladelets
and bifacial tools. In this sense, the lithic industries
at Beisamoun constitute an evolution, not a break
or disruption in PPNB industries, combining ‘old’
and ‘new’ technologies and transmitting the idea of
a dynamic period of both continuity and innovation.
Indeed, the complexity of lithic production and the
co-existence of new and old traditions can no longer
be considered expedient or produced ad hoc. The
specificities of stone tool production at Beisamoun
during the Final PPNB/PPNC provide supporting
evidence for a clear differentiation between the
Middle/Late PPNB and PN lithic assemblages, and,
consequently, for understanding the nature of the
technological changes and their rhythm of evolution
during the transition. Finally, the complexity and,
to some extent, variability of lithic production at
Beisamoun is fully consistent with what can be
expected from a large Neolithic sedentary village,
reflecting a range in levels of ability (of knapping) and
a multitude of tasks and activities.
Uploads
Papers by Ferran Borrell
Es tracta de dos jaciments molt rellevants per estudiar el procés de neolitització a la Mediterrània oriental, que permeten contraposar dues realitats econòmiques i culturals ben diferents, un gran poblat neolític del 9è-7è mil·lennis cal. aC, en el cas de Kharaysin, i un poblat de caçadors recol·lectors d’inicis del 8è mil·lenni cal. aC, a la regió desèrtica del Nègueb, al jaciment de Nahal Efe. Els resultats posen en evidència la variabilitat d’estratègies econòmiques vigents al llarg del període neolític al Pròxim Orient.
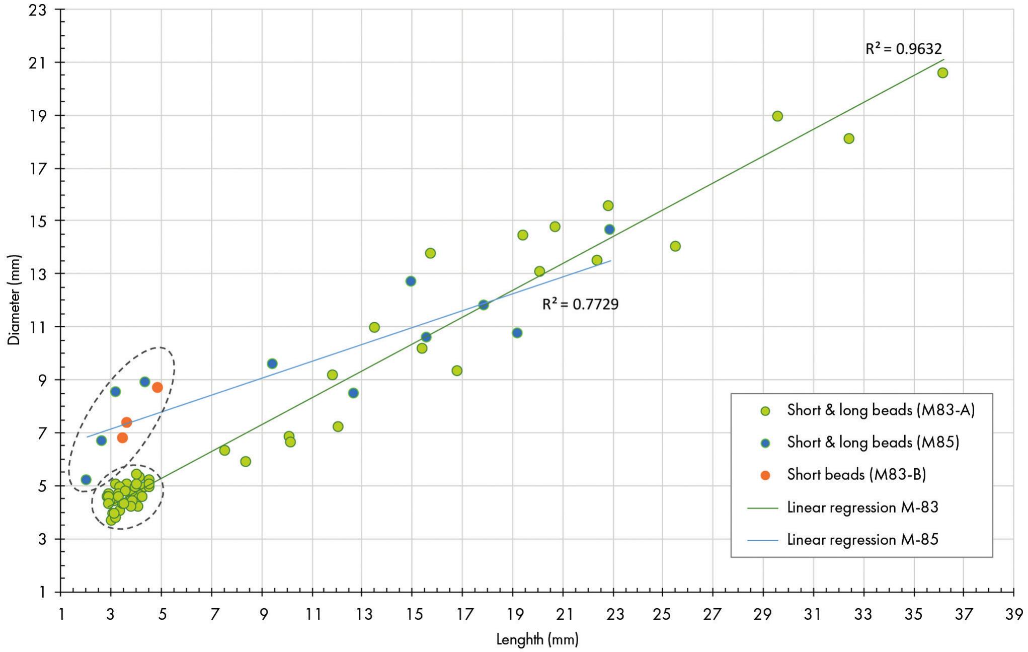
of variscite exploited and distributed in the West Mediterranean
basin during the Middle Neolithic (1st half of the 4th millennium
BC). The recent excavations of three mines (83, 84 and 85)
at the Ferreres sector shed new light not only on the economic
aspects, but also on an unknown ritual and symbolic practices
carried out in the mines. This study presents the results of the
technological, morphometrical and stylistic analyses of the
variscite assemblage of beads and unfinished items and blanks
discovered in mines 83 and 85. It confirms the existence of two
different types of production, one of them being conventional,
standardized, characteristic of specialized crafts and destined
for external exchange, while the other is more “experimental”
and expedient. These qualities are discussed within the chrono-
cultural context of the region, but also consider the exceptional
mining and beadmaking context at Gavà. The results also
consider the anthropological data regarding the buried individuals
in these mines, identified as the miners and beadmakers,
through questioning their roles and influence in the construction
and consolidation of the identity of the Sepulcros de Fosa
(Pit Burial culture) communities in the North East of the Iberian
Peninsula and more largely in the Western Mediterranean
basin.
to PN) in the Levant represents a key moment in the
cultural evolution of the early farming societies in the
Near East, witnessing the evolution from emerging
to consolidated farming systems. The renewed
excavations at Beisamoun reveal the importance
of the site for reconstructing this transition in the
Southern Levant. The study of the lithic assemblage
from Beisamoun contributes to a clearer definition
of the chipped lithic industries at the end of the PPN
period (ca 7000–6500/6400 cal. BC) and plays a role
in the Final PPNB versus PPNC debate. Our study
has revealed the coexistence of five chaînes opératoires
at the site targeted towards the production of flakes,
flakelets, blades (bidirectional technology), bladelets
and bifacial tools. In this sense, the lithic industries
at Beisamoun constitute an evolution, not a break
or disruption in PPNB industries, combining ‘old’
and ‘new’ technologies and transmitting the idea of
a dynamic period of both continuity and innovation.
Indeed, the complexity of lithic production and the
co-existence of new and old traditions can no longer
be considered expedient or produced ad hoc. The
specificities of stone tool production at Beisamoun
during the Final PPNB/PPNC provide supporting
evidence for a clear differentiation between the
Middle/Late PPNB and PN lithic assemblages, and,
consequently, for understanding the nature of the
technological changes and their rhythm of evolution
during the transition. Finally, the complexity and,
to some extent, variability of lithic production at
Beisamoun is fully consistent with what can be
expected from a large Neolithic sedentary village,
reflecting a range in levels of ability (of knapping) and
a multitude of tasks and activities.
B (PPNB) chipped stone industries from Kharaysin
(Zarqa Valley, North Jordan) sheds light on key
aspects of lithic production during a period, the
second half of the 9th millennium and the first quarter
of the 8th millennium cal. BC, that remains poorly
understood in the Southern Levant. The results help
to fine-tune previous knowledge about the early
stages of bidirectional blade technology (BBT) in
the Southern Levant; a technology that constitutes
one of the most, if not the most, significant and
diagnostic elements of PPNB material culture records
throughout the Levant and beyond (Cappadocia and
Cyprus). In this sense, preliminary analysis indicates
that BBT (‘predetermined-upsilon’ variant) was the
main reduction sequence used for lithic production
at PPNB Kharaysin, and high-quality flint types
similar to the Huweijir-type flint were extensively
used for that purpose. It has also been observed that
different variants of core configuration and initial
block management co-existed at the site, and that
Jericho points and large sickle elements were the most
common formal tools produced.