Papers by International Journal of Scientific Research in Science and Technology IJSRST

International Journal of Scientific Research in Science and Technology, 2025
The integration of cloud computing, cybersecurity, and generative AI is reshaping the insurance i... more The integration of cloud computing, cybersecurity, and generative AI is reshaping the insurance industry by enhancing operational efficiency, reducing costs, and elevating customer service. Advanced AI models now enable insurers to streamline traditionally cumbersome processes such as claims management, underwriting, and policy generation, mitigating human errors while improving accuracy and speed. Generative AI is revolutionizing predictive analytics, fraud detection, and personalized customer engagement, enabling insurers to proactively mitigate risks while delivering tailored services. Cloud platforms provide scalable, flexible, and secure data management solutions, offering real-time access that empowers decision-making across the insurance value chain. Meanwhile, robust cybersecurity frameworks ensure data integrity, regulatory compliance, and protection against evolving threats. Guidewire’s unified technology ecosystem seamlessly integrates these advancements, enabling insurers to enhance operational resilience, agility, and customer satisfaction. As the insurance sector undergoes this digital transformation, ethical AI practices, transparency, and proactive cybersecurity measures will be critical in sustaining competitive advantage and maintaining consumer trust.

International Journal of Scientific Research in Science and Technology , 2019
This paper presents an in-depth analysis of advanced display technologies implemented in modern s... more This paper presents an in-depth analysis of advanced display technologies implemented in modern smartphones, focusing on the evolution and impact of Organic Light-Emitting Diode (OLED) displays and other emerging technologies. It explores the technological transition from Liquid Crystal Displays (LCDs) to OLED, detailing the inherent advantages of OLED in achieving superior contrast, enhanced color accuracy, and improved power efficiency. The analysis extends to the integration of adaptive refresh rate technologies, examining the role of ambient light sensors and sophisticated software algorithms in display optimization across various smartphone platforms. This paper analyzes the impact of these technologies on critical aspects of user experience, specifically visual fidelity, display responsiveness, and energy consumption. Through a comprehensive examination of technical specifications, performance evaluations, and comparative analyses, this paper provides a broad overview of the current state and future directions of smartphone display technologies.
International Journal of Scientific Research in Science and Technology, 2023
Generative AI (GenAI) is revolutionizing enterprise software by enabling text generation, image s... more Generative AI (GenAI) is revolutionizing enterprise software by enabling text generation, image synthesis, and predictive modeling, leading to enhanced user experiences, workflow automation, and new business value. However, integrating GenAI into enterprise applications requires navigating technical, operational, and ethical challenges. This paper presents a structured framework for identifying and implementing GenAI use cases across various industries, addressing considerations such as data privacy, model interpretability, and computational efficiency. By categorizing GenAI applications, outlining best practices, and detailing fine-tuning methodologies, this research provides a comprehensive guide for enterprises to leverage GenAI effectively while ensuring ethical and sustainable AI deployment.
International Journal of Scientific Research in Science and Technology, 2022
Generative AI's function in healthcare is essential to enhancing medical sciences. This paper aim... more Generative AI's function in healthcare is essential to enhancing medical sciences. This paper aims to analyze the potential of Generative AI technologies and examine how they can change the world, positively affecting its short-term future in medical diagnostics via imaging, exploration of new drugs, personalized medicine, and predictive analysis. Such applications are instrumental in the reform of the healthcare sector by improving diagnosis, accelerating the process of developing new drugs, and providing individualized patient care. Overall, Generative AI can enhance efficiency and efficacy in various healthcare subfields, optimizing patient outcomes and healthcare services. The paper will also discuss the current challenges and opportunities for applying Generative AI models to health.

International Journal of Scientific Research in Science and Technology, 2021
The global education system designed to reach all kind of learner. The teachers and academicians ... more The global education system designed to reach all kind of learner. The teachers and academicians and educationist are contributing to education field to help learner. There are many individual differences in terms of students learning ability. Some learns fast and some students learns slowly. The high achievers may scores high marks in exam and low achiever scores less in exam. The present study reveals that low achievers life style with regard to his academic life and non academic life and parents involvement and self regulating learning ability. The findings says that at the 0.05 percent level of significance, there is significant difference between male and female low achievers with regard to their of Life style (t=3.123, p0.05). Thus, the null hypothesis is rejected, whereas the alternative hypothesis is accepted. it signifies that female secondary school low achiever students have higher score in the area of their ‘Life style’. , there is a statistically significant difference between urban and rural secondary school low achievers students with regard to their ‘life style’ (t=1.863, P 0.05). Thus, the null hypothesis is rejected, whereas the alternative hypothesis is accepted.At the 0.05 percent level of significance, there is no statistically significant difference between urban and rural secondary school low achievers pupils with regard to their Academic Life (t=1.282, P 196),Academic life of low achievers with regard to rural and urban area are similar scores.The rural and urban area school low achiever reponded that their study habbit and doing home work is not at all satisfied by them. They need guidance and support from elders and so null hypothesis is accepted. And alternative hypothesis is rejected. The finding says that Low achievers students must be respected and accepted by all teachers and parents and they should not be compared and insulted. Society should not be label low achievers as failure or backward student. They should be boosted with confidence with favourable talk. Easy academic assignments and enjoyable non academic environment must be created by parents and teachers community. Always non academic life influence on his academic life so he should be treated well in his home as well as in community
International Journal of Scientific Research in Science and Technology, 2024
Ayurveda is the ancient science of life, has eight branches. According to Ayurved there are two m... more Ayurveda is the ancient science of life, has eight branches. According to Ayurved there are two main types of poison – Natural and Artificial. Natural poison is of two types – Sthavar and Jangam. (1) Danstrachikita is a Ayurveda toxicology branch. Insect bite is comes under Jangam Visha. A 9 year boy, while playing cricket affect with unknown insect bite complying of itching, swelling, redness and burning pain over upper back region. He was treated by local application of Bilvapatra Lepa (Aegle marmelos). Aegle marmelos is one of the important plants which have medicinal as well as other properties. This study shows that external application of Bilvapatra Lepa is effective in the treatment of unknown insect bite (Kitakadansha)

International Journal of Scientific Research in Science and Technology, 2023
Medical image processing faces significant chal- lenges, particularly in the denoising and segmen... more Medical image processing faces significant chal- lenges, particularly in the denoising and segmentation of images where noise can severely degrade quality and affect diagnostic accuracy. This study presents a novel hybrid approach combining N2S-U-Net for image denoising with an enhanced U-Net architec- ture for segmentation. The N2S-U-Net model effectively denoises medical images without the need for paired clean images, en- hancing the subsequent segmentation process. Our approach has been evaluated on multiple imaging modalities, including chest X- rays (CXR), computed tomography (CT), and microscopy images. Results demonstrate substantial improvements in segmentation performance compared to conventional methods, underscoring the potential of this integrated approach to enhance diagnostic accuracy across diverse medical imaging modalities.
International Journal of Scientific Research in Science and Technology, 2024
There are so many authentication schemes used presently, but they all have some drawbacks. It is ... more There are so many authentication schemes used presently, but they all have some drawbacks. It is very easy for anyone to filch or hack our passwords. So lately, the 3D password paradigm has been introduced. The 3D passwords which are more customizable and very interesting way of authentication. A 3D password is a multifactor authentication scheme that combines Recognisation + Recall +Tokens +Biometrics in one authentication system. This research paper presents a study of the 3D password and an approach to strengthen it by way of adding a Fourth dimension (also called 4D), that deals with gesture recognition and time recording, and that would help strengthen the authentication scheme altogether. Hence we attempt to propose a 4D password as a parent class of 3D password.
International Journal of Scientific Research in Science and Technology, 2023
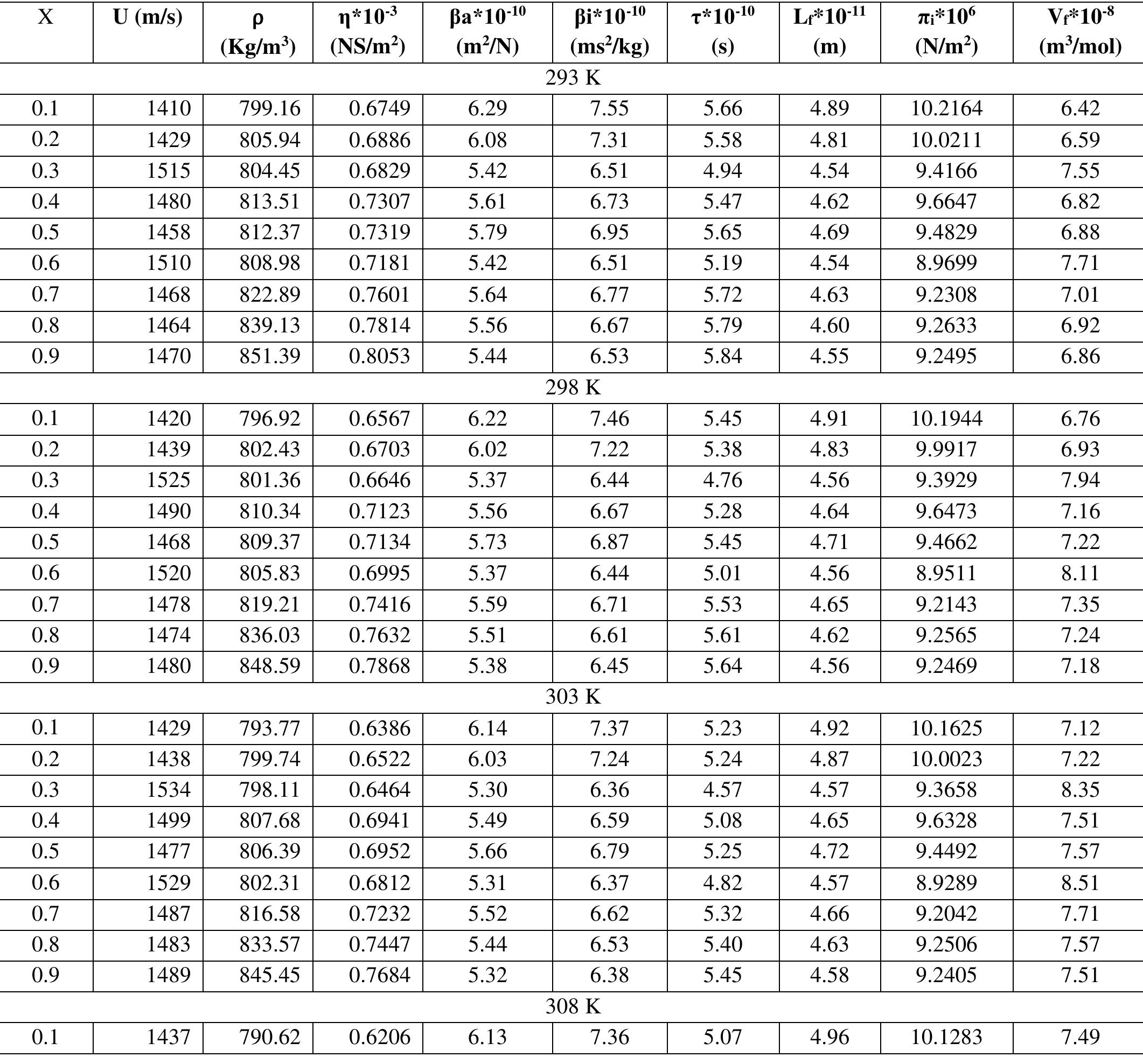
Boron nitride nanoparticles (BN) were synthesized by high chemical route method and its character... more Boron nitride nanoparticles (BN) were synthesized by high chemical route method and its characterization has been carried out by X ray diffraction (XRD), Fourier transformed infrared spectroscopy (FTIR), SEM, TEM, etc. Methanol based BN Nanosuspension were synthesized by two step method. Average particle size of BN nanoparticle has been estimated by using Debye-Scherrer formula. It was found to be 70 nm. As thermoacoustic properties of nanomaterials related to the surface of nanoparticles and nanoparticle surfactant interactions, these properties of BN nanosuspension was studied by non-destructive technique.

International Journal of Scientific Research in Science and Technology, 2023
Silicon carbide (SiC) is a well-known ceramic type nanoparticle, it has been synthesized via sol-... more Silicon carbide (SiC) is a well-known ceramic type nanoparticle, it has been synthesized via sol-gel method. The size, morphologies and bonding states of synthesized SiC nanoparticles were investigated by X-ray diffraction (XRD), scanning electron microscopy (SEM) and Fourier transform infrared spectroscopy (FTIR). The results show that the synthesized SiC nanoparticles are high-quality crystals with high aspect ratios. The thermodynamics analysis of SiC nanoparticles in organic base fluids were studied with purpose of applications in various fields. X-ray diffraction (XRD) results indicated the major phases of SiC. Scanning electron microscopy (SEM) images shows that SiC particles mainly composed of crystalline nanoparticles. FTIR provides valuable and practical information about the chemical bond states of the materials. FTIR spectra of the SiC nanoparticles have revealed strong absorption bands with a very small variation. Average particle size of SiC nanoparticle has been estimated by using Debye-Scherrer formula. The thermodynamic properties of nanomaterials related to the surface of nanoparticles and nanoparticle surfactant interactions, these properties of SiC nanosuspension were studied by non-destructive technique.

International Journal of Scientific Research in Science and Technology, 2023
Boehmite nanosuspension were synthesized by two step method. In this method Boehmite nano-powder ... more Boehmite nanosuspension were synthesized by two step method. In this method Boehmite nano-powder was initially prepared and the powder was dispersed in methanol base fluid. The Nanosuspension exhibits much greater properties as compared to base fluid. Boehmite nanoparticles were synthesized by sol-gel technique. The prepared sample was characterized by X-ray diffraction (XRD), its average particle size has been estimated by using Debye-Scherrer formula. It was found to be 50 nm. Nanosuspension of Boehmite in methanol base fluid were prepared and their thermoacoustic studies were made such that different types of interactions could be assessed. Thermo-acoustical parameters of this nanofluids system were computed from ultrasonic velocities, densities and viscosities. The obtained results of present investigation have been discussed in the light of interactions between the Boehmite nanoparticles and the molecules of methanol-based fluids.

International Journal of Scientific Research in Science and Technology, 2014
In the era of big data, the exponential growth of data poses significant challenges for storage, ... more In the era of big data, the exponential growth of data poses significant challenges for storage, leading many entities to migrate their data to cloud storage services. While cloud storage offers numerous advantages, it also introduces substantial risks, including the potential loss or unauthorized modification of data by service providers. The extensive data gathered in the cloud, originating from various datasets and storage devices necessitates a thorough analysis of storage performance. Each data instance is defined by specific features, while devices are characterized by their hardware or software components. General restrictions for data allocation and device capacity are also considered. The computation of structural constraints is based on the interactions between cloud-based devices and data instances. In order to address these issues, we introduce a hybrid artificial intelligence approach that is lightweight and ideal for constraint optimization. It focuses on auditable secure cloud storage with dynamic data. Our approach begins with the development of the enhanced electric fish optimization (EEFO) algorithm for constraints optimization to ensure the integrity of data stored in the cloud. To accommodate dynamic data operations, including block modification, insertion, and deletion, we employ the triple tree-seed algorithm (TTSA) to record the location of each data operation within the system. The proposed model's performance is validated, and results are systematically analyzed, compared against existing approaches, demonstrating its effectiveness in appropriately managing cloud data.

International Journal of Scientific Research in Science and Technology, 2023
Milk is an essential dietary staple for human sustenance. However, the presence of various contam... more Milk is an essential dietary staple for human sustenance. However, the presence of various contaminants, notably preservatives, within milk can potentially pose significant health risks and impact overall well-being. Consequently, the meticulous surveillance of pollutants and impurities, particularly preservatives, in natural and everyday food products has emerged as a pivotal endeavor to ensure food safety and enhance its overall quality. In this research study, the Surface Plasmon Resonance (SPR) technique is strategically employed for a theoretical exploration of preservatives, namely hydrogen peroxide, formaldehyde, and sodium carbonate, within milk. The investigation encompasses varying concentrations of these preservatives, ranging from 0% to 14.3%. Concurrently, the refractive indices span from 1.34550 to 1.35093, representing the concentration between the minimum (0%) and maximum (14.286%) concentrations of hydrogen peroxide, formaldehyde, and sodium carbonate. To authenticate the efficacy of the proposed sensor, an extensive assessment of performance parameters is conducted. These parameters encompass Sensitivity, Full Width at Half Maximum (FWHM), Figure of Merit (FOM), and Detection Accuracy (DA), with calculations performed for each specific case.

International Journal of Scientific Research in Science and Technology, 2023
Smart Manufacturing Systems (SMS) have revolutionized industrial processes by incorporating autom... more Smart Manufacturing Systems (SMS) have revolutionized industrial processes by incorporating automation, data analytics, and real-time monitoring to improve efficiency and quality. However, ensuring the reliability and fault tolerance of SMS remains a challenge. This paper proposes an innovative approach that combines Blockchain technology with Machine Learning (ML) models to evaluate faults in SMS. By leveraging the immutability and transparency of the blockchain and the predictive capabilities of ML, this approach enhances fault detection, facilitates traceability, and ultimately contributes to the resilience of smart manufacturing. The industrial sector's increase in data creation has made monitoring systems a crucial idea for management and decision-making. The Internet of Things (IoT), which is sensor-based and one of the most advanced and potent technologies today, can process appropriate ways to monitor the manufacturing process. The research's suggested method combines IoT, machine learning (ML), and monitoring of the industrial system. Temperature, humidity, gyroscope, and accelerometer IoT sensors are used to gather environmental data. Sensor data is produced in unstructured, enormous, and real-time data forms. Many big data approaches are used to process the data further. This system's hybrid prediction model employs the Random Forest classification approach to weed out outliers in the sensor data and aid in defect identification throughout the production process. The suggested approach was examined for South Korean vehicle production. This system uses a strategy to protect and strengthen data trust in order to prevent genuine data changes with fictitious data and system interactions. The efficacy of the suggested methodology in comparison to other methods is provided in the results section. Furthermore, compared to other inputs, the hybrid prediction model offers a respectable fault prediction. The suggested technique is anticipated to improve decision-making and decrease errors during the production process.

International Journal of Scientific Research in Science and Technology, 2023
Products made through solid-state recycling of aluminum chips in a hot extrusion process were reg... more Products made through solid-state recycling of aluminum chips in a hot extrusion process were regulated by temperature-related factors by utilizing a preheating temperature of 350 °C, 400 °C, and 450 °C for one hour, two hours, and three hours of preheating time, respectively. Design of Experiments (DOE) was used, and the findings showed that the preheating temperature is more significant to manage than the preheating duration, and that increasing the temperature led to a high tensile strength. This conclusion was reached as a result of the experiments. The profile that was extruded for three hours at 550 degrees Celsius had reached the ideal condition for achieving the highest possible tensile strength. The heat treatment was carried out with the solution temperature set at 450 degrees Celsius for two hours, and the ageing procedure was carried out at 195 degrees Celsius for three hours. The extruded specimen underwent heat treatment, which resulted in a considerable increase in its tensile strength.

International Journal of Scientific Research in Science and Technology, 2023
Groundwater is an essential source of drinking and irrigation in rural areas across the globe. Wa... more Groundwater is an essential source of drinking and irrigation in rural areas across the globe. Water pollution is among the leading problem in causes of health-related disorders all over the world. Physico-chemical analysis of water gives an insight into the quality of water. Various physical and chemical parameters were examined to calculate the water quality index (W.Q.I.) in villages of the Kalanaur block of Rohtak district (Haryana), India. The suitability of groundwater for irrigation purposes was determined by calculation of Sodium Adsorption Ratio (S.A.R.), Sodium Percent (Na %), Residual Sodium Carbonate (R.S.C.) and Permeability Index (P.I.), U.S. salinity plot, Wilcox diagram, etc. Most water samples were of high W.Q.I., indicating poor water quality. A minimum value of W.Q.I. was 58.38 for S17 and the maximum was 454.41 for S12. Most of the parameters analyzed suggested that water was polluted due to very high concentrations of T.D.S., chloride, magnesium and bicarbonate ions. S.A.R., Na %, R.S.C. and P.I. values were in the excellent to good range. Piper trilinear plot indicated that most of the water samples belonged to mixed Ca-Mg-Cl and Ca-HCO-3 type of water facies. Gibbs plot suggested a significant interaction between water and rocks in the area. Almost 50% of the water samples were suitable for irrigation.

International Journal of Scientific Research in Science and Technology, 2023
This disease first described in the year 1950s.Immune deficiencies are the condition which the bo... more This disease first described in the year 1950s.Immune deficiencies are the condition which the body’s immune cells are unable to kill any foreign body. In this disease the collection of granulomas/small nodules occurs granulomas (collection of immune cells) i.e. phagocytes when they cluster these phagocytes are unable to kill any pathogen.CGD patients, with a phagocyte NADPH oxidase that is not properly functioning, suffer from recurrent, life-threatening infections with certain bacteria, fungi, and yeasts. Defects occurs in one of the five subunits of NADPH Oxidase. It is caused by mutations in genes encoding protein subunits of the nicotinamide adenine dinucleotide phosphate (NADPH) oxidase complex. CGD is characterized by a defective intracellular killing of phagocytosed organisms due to a defective oxidative burst in the neutrophils and macrophages. Includes following proteins gp91phox(CYBB gene),p22phox (CYBA gene), p47phox (NCF1), p67phox (NCF2), p40phox(NCF4). So now in present studies we have used different Insilicotools and techniques which includes retrieval of Neutrophil cytosol factor 4 sequence from UniProt database and physiochemical parameters analysed by using Protparam tool. In that leucine had maximum amino acid composition. The structure of protein has very important role in its function.The secondary structure was predicted by using SOPMA tool which indicated that the percentage of Random coils was higher than the percentage of alpha helix and extended strand. Then the 3D structure of Neutrophil cytosol factor 4 was predicted by using SWISS MODEL server and the model was validated by using PROCHECK analysis after validation of the model, the validation score was 93.6%.
International Journal of Scientific Research in Science and Technology, 2023
In this paper, a new method is proposed to find the fuzzy optimal solution of fully fuzzy linear ... more In this paper, a new method is proposed to find the fuzzy optimal solution of fully fuzzy linear programming problems with triangular fuzzy numbers. A computational method for solving fully fuzzy linear programming problems (FFLPP) is proposed, based upon the new Ranking function. The proposed method is very easy to understand and to apply for fully fuzzy linear programming problems occurring in real life situations as compared to the existing methods. To illustrate the proposed method numerical examples are solved.

International Journal of Scientific Research in Science and Technology, 2023
Density Functional Theory (DFT) computations have been used to look into the electrical and optic... more Density Functional Theory (DFT) computations have been used to look into the electrical and optical characteristics of 3D Germanene sheets doped with transition metals (TM). Recent years have seen a major increase in interest in germanene, a two-dimensional allotrope of germanium, due to its potential use in electrical and optoelectronic devices. The effect of doping Germanene with several 3d TMs, such as titanium (Ti), vanadium (V), chromium (Cr), manganese (Mn), iron (Fe), cobalt (Co), nickel (Ni), and copper (Cu), on its structural, electrical, and optical properties is examined in this paper. In order to comprehend the structural stability and geometry of the systems, we first tune the lattice parameters and atomic locations of the doped Germanene sheets. To further evaluate the alteration of electronic characteristics brought on by TM doping, we compute the electronic band structures, density of states, and charge density distributions. Our findings point to major changes in the electronic band structures that have resulted in the creation of novel electronic states within the band gap and point to possible semiconductor device applications. In addition, we investigate the complicated dielectric function, refractive index, and absorption spectra of TM-doped Germanene. When compared to pure Germanene, the optical properties show significant changes. This suggests that the material's optical response can be tuned, which is important for optoelectronic devices like photodetectors and modulators.
International Journal of Scientific Research in Science and Technology, 2023
This review focuses on the recent development of synthesis of pyrimido [4, 5-d] pyrimidine deriva... more This review focuses on the recent development of synthesis of pyrimido [4, 5-d] pyrimidine derivatives. Pyrimido [4, 5-d] pyrimidine derivatives are important heterocyclic compound which possess diverse pharmacological activities such as anticancer, antitumor, antioxidant, antiviral, antibacterial anti-allergic and anti-inflammatory activities. Therefore, organic chemists are interested in the synthesis of these bioactive heterocycles. In this review, we have compile the recent literature report of various synthetic procedures for synthesis of pyrimido [4, 5-d] pyrimidine derivatives.
Uploads
Papers by International Journal of Scientific Research in Science and Technology IJSRST