Papers by Isaac Rufí

Nature
Modern humans have populated Europe for more than 45,000 years1,2. Our knowledge of the genetic r... more Modern humans have populated Europe for more than 45,000 years1,2. Our knowledge of the genetic relatedness and structure of ancient hunter-gatherers is however limited, owing to the scarceness and poor molecular preservation of human remains from that period3. Here we analyse 356 ancient hunter-gatherer genomes, including new genomic data for 116 individuals from 14 countries in western and central Eurasia, spanning between 35,000 and 5,000 years ago. We identify a genetic ancestry profile in individuals associated with Upper Palaeolithic Gravettian assemblages from western Europe that is distinct from contemporaneous groups related to this archaeological culture in central and southern Europe4, but resembles that of preceding individuals associated with the Aurignacian culture. This ancestry profile survived during the Last Glacial Maximum (25,000 to 19,000 years ago) in human populations from southwestern Europe associated with the Solutrean culture, and with the following Magdal...

The Middle to Late Pleistocene vertebrate assemblage from Cova 120 (Alta Garrotxa, Eastern Pyrenees)
Vilnius University Press, May 18, 2021
Cova 120 is a karstic originated horizontal gallery of approx. 25m located in the southern side o... more Cova 120 is a karstic originated horizontal gallery of approx. 25m located in the southern side of the Eastern Pyrenees at 460m a.s.l. Field surveys conducted from 1985 to 1989 and, more recently, from 2003 to 2006 enabled us to describe a long chronological sequence comprised between the Bronze Age (layers II-III) and the Middle-Late Pleistocene (layers IV-IX, from 57,9 Ka to MIS7) (Agustí et al. 1991; Martín and Terradas, 2007). Here we describe, for the first time, the vertebrate assemblage from the lower layers of the assemblage (MIS4-7). The preliminary faunal list is composed by: Panthera pardus, Lynx pardinus, Felis sylvestris, Ursus spelaeus s.l., Crocuta sp., Canis lupus, Vulpes vulpes, Capra pyrenaica, Cervus elaphus, Bos/Bison, Marmota marmota, Oryctolagus cuniculus, Microtus oeconomus, M. nivalis, M. arvalis-agrestis, M. duodecimcostatus, Pliomys lenki, Glis glis, Eliomys quericinus, Apodemus sylvaticus and Spermophilus sp. The mammal assemblage is composed basically by more than 70% remains of Capra and secondarily carnivores, specifically P. pardus (3%) and Ursus (6%). The primary taphonomic analyses suggest that this accumulation was produced, mainly by leopards as happened in the really close Cova S’Espasa site (Sauqué et al., 2018), however other accumulation agents as hominins or small carnivores as Lynx or Vulpes are not a priori discarded.Peer reviewe
Late Pleistocene Mediterranean lynx remains from Avenc del Marge del Moro (NE Iberian Peninsula)
Historical Biology, Mar 20, 2022

Journal of Mammalian Evolution
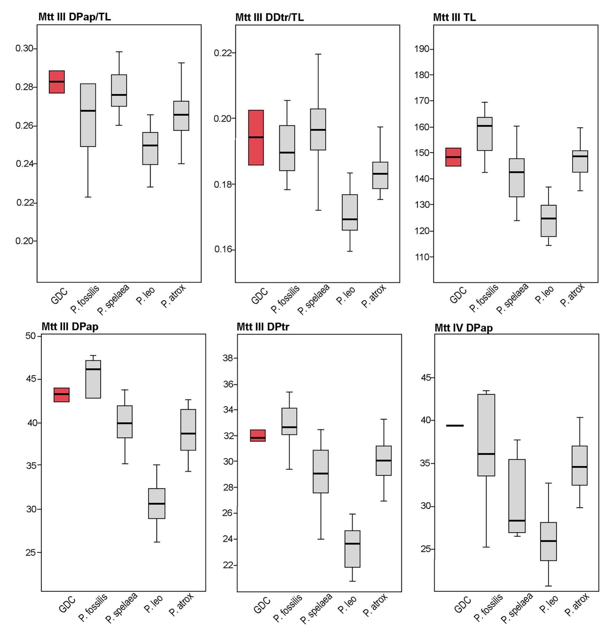
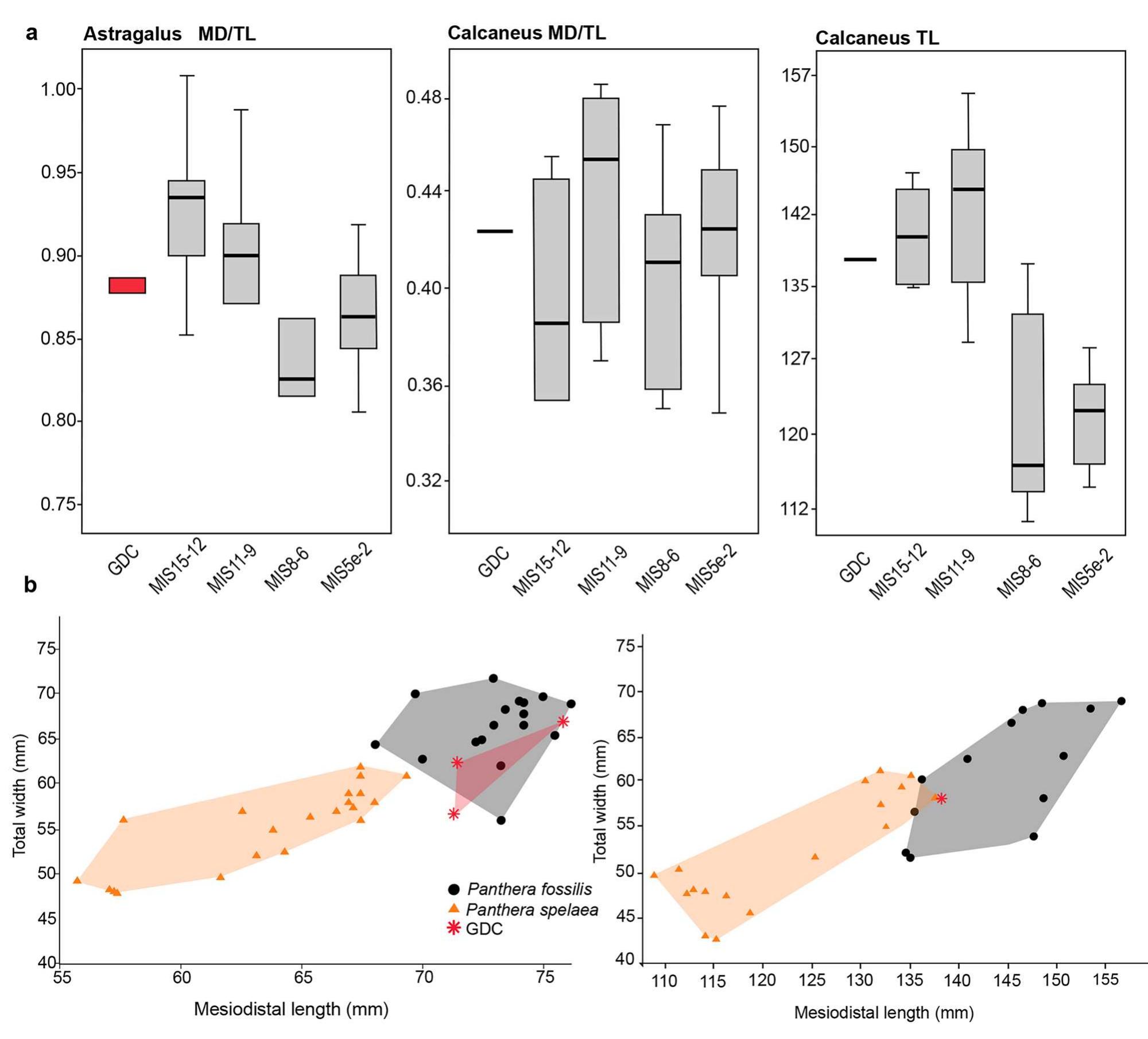
Late Pleistocene cave lions are one of the most iconic species of Northern Hemisphere Quaternary ... more Late Pleistocene cave lions are one of the most iconic species of Northern Hemisphere Quaternary taphocoenoses. Despite their often-scarce record in cave environments, their ubiquitous distribution across Eurasia and North America assemblages attests to their position as top ice-age predators. Nevertheless, the origins of these former large felids, their distribution during the Middle Pleistocene, and their paleoecology during co-existence with the scimitar-toothed cat Homotherium remain debated. Here we describe for the first time an abundant collection of large-sized and stout felid remains from the recently discovered site of Grotte de la Carrière in Eastern Pyrenees, with an estimated age corresponding to MIS 9. Our results highlight the larger size of Middle Pleistocene lions compared to Late Pleistocene ones as well as a trend of decreasing in size, which has been previously stated by other authors. Grotte de la Carrière steppe lions have similar morphological and biometrical ...

Contextualización arqueológica y paleontológica de los félidos pleistocenos de Serinyà
In the municipality of Serinyà (Pla de l'Estany, Girona), a number of archaeological and ... more In the municipality of Serinyà (Pla de l'Estany, Girona), a number of archaeological and palaeontological sites are concentrated, with records ranging from the end of the Middle Pleistocene to the Holocene. Within the Pleisto-cene record, felids (Felidae) are not frequent, but almost all possible species are present: the cave lion (Panthera spelaea), the leopard (Panthera pardus), the Iberian lynx (Lynx pardinus) and the wildcat (Felis silvestris). Only the Eurasian lynx (Lynx lynx) has not yet been identified. The findings are the result both of modern-day and ancient excavations, as well as chance occurrences. The Iberian lynx is the felid that has interacted most with humans and is the only one whose remains are, in certain cases, of a definitely anthropic origin, corresponding to the whole of the Upper Palaeolithic. An anthropic origin in the Upper Palaeolithic might also occasionally apply to the wildcat. By contrast, the large-sized felids such as cave lions and leopards are represented by very few remains, which are non-anthropic in origin.

Middle Pleistocene Ursus deningeri from Grotte de la Carrière (Réseau Lachambre, Têt Valley, Eastern Pyrenees)
Journal of Iberian Geology
Grotte de la Carrière is one of the secondary caves with paleontological record within the Réseau... more Grotte de la Carrière is one of the secondary caves with paleontological record within the Réseau Lachambre karstic complex, an important network located in the Têt Valley at Villefranche-de-Conflent (Occitaine, France). After the discovery of dozens of cave bear remains in 2012, four systematical excavations in different parts of the cave allowed to recover a noteworthy Pleistocene mammal assemblage. Here we describe the dentognathic specimens of ursids coming from the lower layers of the first performed sondage. Based on morphological and morphometric comparisons with other late Early to Late Pleistocene European fossil material, the studied specimens were referred to the Middle Pleistocene species Ursus deningeri. Due to the scantiness of well-preserved and chronologically well-constrained U. deningeri remains, this study represents an important contribution to acquire knowledge on this Middle Pleistocene bear.
Small prey exploitation during the Final Gravettian in the northeast of the Iberian Peninsula: The case of level D from Arbreda cave
International Journal of Osteoarchaeology

Subsistence strategies of Gravettian hunter–gatherers in the northeast of the Iberian Peninsula: the case of level E of Arbreda Cave (Serinyà)
Archaeological and Anthropological Sciences
The Gravettian covers a long period characterised by widely fluctuating climatic conditions that ... more The Gravettian covers a long period characterised by widely fluctuating climatic conditions that led to a diversity of subsistence strategies, which extended from the Iberian Atlantic coast to Siberia. Within this vast area, the northeast of Iberia acted as a transitional territory, between steppe–tundra in the northern regions and Iberian wooded steppe to the south. Owing to the small number of studies, subsistence during the Gravettian period in this region is not as yet well known. The Arbreda Cave site (Serinyà) preserves the largest and most detailed Palaeolithic stratigraphy of the Reclau Cave complex, providing the most accurate information about the changes that occurred from the Early Upper Pleistocene to the Holocene in the northeast Iberian Peninsula. Presented here is a detailed archaeozoological and taphonomic study of Iberian Middle Gravettian level E (c. 26–25 kyr 14C BP). Allowing for the possibility that density-mediated biases and post-burial bone attrition may have influenced the study, it appears to confirm that the rich faunal assemblage recovered at this level was primarily due to anthropogenic activities. On the contrary, the slight evidence of carnivore activity mainly consists of small prey. The archaeozoological analysis suggests selective hunting focused almost entirely on familial groups of horses and red deer among ungulates and rabbits among small prey. The taphonomic study points to extensive animal exploitation-butchery activities, marrow extraction and use of bone as fuel and raw material to make “less-elaborated” tools. Hunter–gatherer communities made seasonal use of the cave as a temporary residential camp site, preferably between spring and autumn. Upper Palaeolithic horse-dominated macrofaunal assemblages are rare in the Iberian Peninsula, being found only in the Cantabrian and Catalonia regions. In contrast to what is observed in southern Mediterranean areas, the higher percentage of horses in relation to red deer in Arbreda Cave may indicate colder conditions for this area located close to the expanse of the steppe–tundra biome.

Scientific Reports
the cave bear (Ursus spelaeus) is one of the Late pleistocene megafauna species that faced extinc... more the cave bear (Ursus spelaeus) is one of the Late pleistocene megafauna species that faced extinction at the end of the last ice age. Although it is represented by one of the largest fossil records in Europe and has been subject to several interdisciplinary studies including palaeogenetic research, its fate remains highly controversial. Here, we used a combination of hybridisation capture and next generation sequencing to reconstruct 59 new complete cave bear mitochondrial genomes (mtDNA) from 14 sites in Western, Central and Eastern Europe. In a Bayesian phylogenetic analysis, we compared them to 64 published cave bear mtDNA sequences to reconstruct the population dynamics and phylogeography during the Late Pleistocene. We found five major mitochondrial DNA lineages resulting in a noticeably more complex biogeography of the European lineages during the last 50,000 years than previously assumed. Furthermore, our calculated effective female population sizes suggest a drastic cave bear population decline starting around 40,000 years ago at the onset of the Aurignacian, coinciding with the spread of anatomically modern humans in Europe. Thus, our study supports a potential significant human role in the general extinction and local extirpation of the european cave bear and illuminates the fate of this megafauna species. Today in the Holocene epoch, the northern hemisphere is zoologically impoverished in large terrestrial species 1,2 . Astonishingly, this is a relatively recent phenomenon. During the Late Pleistocene, until around 50,000 years ago, the continents were still populated with spectacular fauna consisting of some of the largest mammals that ever roamed the earth 2 . More than 150 genera of megafauna such as mammoths, woolly rhinoceros, and sabre-toothed cats inhabited the steppes of Eurasia and North America 1,2 . However, by 11,000 years ago, these ecosystems had lost between around 36% and 72% of their large-bodied (>45 kg) mammalian genera, respectively 3 , and at least 97 genera in total 1 . This extinction wave affecting the largest members of the herbivorous guild
Archaeofauna
Estudio del aprovechamiento animal en el yacimiento de la villa romana del Pla de l'Horta (Sarrià... more Estudio del aprovechamiento animal en el yacimiento de la villa romana del Pla de l'Horta (Sarrià de Ter, Girona) a partir del registro arqueozoológico (s. II d.C.-V/VII d.C.

Estudios Geologicos-madrid, 2018
espanolLos restos de crias de mamut son raros en el registro fosil de la Peninsula Iberica. Hasta... more espanolLos restos de crias de mamut son raros en el registro fosil de la Peninsula Iberica. Hasta ahora, en Cataluna, se conocen solo en la cueva de les Teixoneres (Moia), donde se acaba de publicar una dP2 (Alvarez-Lao et al., 2017). En este articulo, se presenta un nuevo descubrimiento de un resto de cria de mamut procedente del nivel J de la cueva de la Arbreda. Su cronologia es imprecisa por la falta de dataciones absolutas fiables. A pesar de todo, la presencia de industria litica musteriense, las dataciones en 14C de la parte alta del nivel supreyacente (I) y los resultados de las series de uranio en la base de la columna estratigrafica permiten afirmar una cronologia relacionada con el MIS-3 antiguo u MIS-4, con una antiguedad superior a los c. 44 ka BP. La pieza C5 EC135 2302 es un dp3 izquierdo de mamut que pertenecio a una cria de alrededor de un ano de edad al momento de su muerte. Los estudios morfologicos y morfometricos senalan una atribucion taxonomica a Mammuthus pri...

Pautes de consum animal a la vil·la suburbana del Pla de l’Horta (Sarrià de Ter, Girona): una aproximació a la dieta basada en les restes faunístiques
L’objectiu d’aquest treball es el d’aportar coneixement sobre les pautes de consum animal a la vi... more L’objectiu d’aquest treball es el d’aportar coneixement sobre les pautes de consum animal a la vil·la del Pla de l’Horta (Sarria de Ter, Girones) a partir d’un nombros conjunt de restes faunistiques extretes durant les campanyes dels anys 2014‑15. Malgrat que l’estudi ressalta un processament integral dels animals de la triada domestica (Bos taurus‑Sus domesticus‑Ovis/Capra), es denota una proporcio molt mes important del bovi i el porci entre finals del segle II d.C. i el segle III d.C., amb un sacrifici orientat als individus subadults i adults. La dieta carnica es complementava amb el consum d’aus de corral i animals cacats. A mes, durant aquesta etapa es fa patent la presencia del salao de tonyina. A les fases tardanes, tot i un pes notable del cavall, els pocs indicis de consum antropic es centren, fonamentalment, sobre el bovi.
The residential contexts of Gravettian hunter‐gatherers from Arbreda Cave (Serinyà, Northeast Iberian Peninsula): Searching activity areas from archeozoological evidence
Stable isotope evidence of human diet in Mediterranean context during the Last Glacial Maximum
Journal of Human Evolution

Estudios Geológicos, Oct 2, 2018
Mammoth calf remains are rare in the Iberian fossil record. In Catalonia, a dP2 from Teixoneres C... more Mammoth calf remains are rare in the Iberian fossil record. In Catalonia, a dP2 from Teixoneres Cave (Moià) has just been reported (Álvarez-Lao et al., 2017). In this paper, we present a new discovery of a mammoth calf from level J of Arbreda Cave. Its chronology is imprecise because of the lack of reliable absolute dates. However, the presence of Mousterian industry, 14 C results from the top of the overlying level (I) and U-series results at the base of the stratigraphic column allow us to conclude that the chronology must be related to the early MIS-3 or MIS-4, older than c. 44 ka BP. The C5 EC135 2302 remain is a left dp3 of a mammoth calf that was around one year old at the time of death. Morphological and morphometric studies taxonomically attribute it to Mammuthus primigenius Blumenbach 1799. The faunal context of this remain is not like that of the typical Eurasian tundra-steppe environments, where cold-adapted faunas are clearly predominant. On the other hand, Arbreda's level J shows the typical record of the Last Glacial assemblages in Iberia, where eurythermic and temperate species dominate over cold-adapted faunas, which are represented only by a low percentage of identified remains. Following previous studies about cold-adapted faunas of the Iberian Peninsula, the Arbreda tooth is close to the second woolly mammoth dispersal episode but slightly older. In fact, the Arbreda mammoth remain teaches us that this second dispersal episode probably started earlier than was previously thought.
Subsistence practices in western Mediterranean Europe during the Final Gravettian. Zooarchaeological and taphonomic analysis of faunal remains from level D of Arbreda Cave (Serinyà, NE Iberian Peninsula)
Journal of Quaternary Science
Revision of the occurrence of muskox ( Ovibos moschatus Zimmermann 1780) from the Gravettian of Arbreda Cave (Serinyà, northeastern Iberian Peninsula): new insights for the study of Iberian cold‐adapted faunas
Boreas

In the municipality of Serinyà (Pla de l'Estany, Girona), a number of archaeological and palaeont... more In the municipality of Serinyà (Pla de l'Estany, Girona), a number of archaeological and palaeontological sites are concentrated, with records ranging from the end of the Middle Pleistocene to the Holocene. Within the Pleisto-cene record, felids (Felidae) are not frequent, but almost all possible species are present: the cave lion (Panthera spelaea), the leopard (Panthera pardus), the Iberian lynx (Lynx pardinus) and the wildcat (Felis silvestris). Only the Eurasian lynx (Lynx lynx) has not yet been identified. The findings are the result both of modern-day and ancient excavations, as well as chance occurrences. The Iberian lynx is the felid that has interacted most with humans and is the only one whose remains are, in certain cases, of a definitely anthropic origin, corresponding to the whole of the Upper Palaeolithic. An anthropic origin in the Upper Palaeolithic might also occasionally apply to the wildcat. By contrast, the large-sized felids such as cave lions and leopards are represented by very few remains, which are non-anthropic in origin.
Chapters in Books by Isaac Rufí

Interaccions entre felins i humans. III Jornades d’arqueozoologia, 2017
In the municipality of Serinyà (Pla de l'Estany, Girona), a number of archaeological and palaeont... more In the municipality of Serinyà (Pla de l'Estany, Girona), a number of archaeological and palaeontological sites are concentrated, with records ranging from the end of the Middle Pleistocene to the Holocene. Within the Pleisto-cene record, felids (Felidae) are not frequent, but almost all possible species are present: the cave lion (Panthera spelaea), the leopard (Panthera pardus), the Iberian lynx (Lynx pardinus) and the wildcat (Felis silvestris). Only the Eurasian lynx (Lynx lynx) has not yet been identified. The findings are the result both of modern-day and ancient excavations, as well as chance occurrences. The Iberian lynx is the felid that has interacted most with humans and is the only one whose remains are, in certain cases, of a definitely anthropic origin, corresponding to the whole of the Upper Palaeolithic. An anthropic origin in the Upper Palaeolithic might also occasionally apply to the wildcat. By contrast, the large-sized felids such as cave lions and leopards are represented by very few remains, which are non-anthropic in origin.
Uploads
Papers by Isaac Rufí
Chapters in Books by Isaac Rufí