Papers by J. Daniel Rogers

* Archaeological assessment reveals Earth’s early transformation through land use (2019)
Science, 2019
Environmentally transformative human use of land accelerated with the emergence of agriculture, b... more Environmentally transformative human use of land accelerated with the emergence of agriculture, but the extent, trajectory, and implications of these early changes are not well understood. An empirical global assessment of land use from 10,000 years before the present (yr B.P.) to 1850 CE reveals a planet largely transformed by hunter-gatherers, farmers, and pastoralists by 3000 years ago, considerably earlier than the dates in the land-use reconstructions commonly used by Earth scientists. Synthesis of knowledge contributed by more than 250 archaeologists highlighted gaps in archaeological expertise and data quality, which peaked for 2000 yr B.P. and in traditionally studied and wealthier regions. Archaeological reconstruction of global land-use history illuminates the deep roots of Earth’s transformation and challenges the emerging Anthropocene paradigm that large-scale anthropogenic global environmental change is mostly a recent phenomenon.
The Sustainability of Wealth Among Nomads: Methods in Agent-Based Modeling
Mathematics in Archaeology, 2015

Rethinking the role of Agent-Based Modeling in archaeology
Agent-Based Modeling (ABM) represents a methodology with significant potential for altering archa... more Agent-Based Modeling (ABM) represents a methodology with significant potential for altering archaeological analytical practice. The continued growth in the number of publications that use ABM provides evidence for the significance of this emerging approach. However, the scope of the research topics investigated has not increased accordingly. A consensus exists among ABM practitioners, that once generally accepted by the field, ABM can make revolutionary advances within the overall archaeological research paradigm. Unresolved concerns within the archaeological community center on whether ABMs are sufficiently grounded in empirical data, are aligned with theoretical trajectories, and on the difficult task of mastering the computational systems. It is worth exploring these aspects of the disjuncture between the mainstream and ABM practitioners for two reasons – to frame a discussion of qualities of ABM that make it transformative and to provide guidelines for broadening ABM’s applicability. With capacity-building in mind, offered here is a practical reference for the non-practitioner archaeologist considering ABM. A glossary is included of key terms used in the text to describe ABM methods and theory.

The Complexity of Interaction Along the Eurasian Steppe Zone in the First Millennium CE, 2015
be to consider actual political practice, rather than a standardized perception of such practice ... more be to consider actual political practice, rather than a standardized perception of such practice (Abrams 1988). The political systems of a state often incorporate hierarchies of control with coercive power. Individuals who reside in a state recognize it as politically independent, with specific leaders and a known territory (Rogers 2007, 250; Trigger 2003, 92). Empires are states that expand to encompass multiple ethnicities and geographical zones, in the process incorporating other states and political entities. Through expansion they modify their organization to encompass diversity, through several different strategies described elsewhere (Rogers 2012, 214). Throughout the text another term, complex polity, is used in a more generic sense to refer to a sociopolitical system with some or all of the characteristics of a state or empire.

The Complexity of Interaction Along the Eurasian Steppe Zone in the First Millennium CE, 2015
Recent advances in computational social science, primarily through use of agent-based models (kno... more Recent advances in computational social science, primarily through use of agent-based models (known as "multi-agent systems" in computer science), now permit the first simulations of large-scale complex adaptive social systems, including spatial dimensions, network-based organizational hierarchies, and culturally-grounded social institutions in changing natural environments. This paper presents the "Hierarchies" model of the Mason-Smithsonian Joint Project on Inner Asia (Cioffi-Revilla et al. 2007), which is a computational agent-based model developed with the MASON computational toolkit. We report three sets of computer-generated results indicating close similarity between real history and simulation runs produced by the Hierarchies model, specifically in terms of confederations of tribes 1 (i.e., aimags in Mongolian) and warfare through conquest, rebellion, and polity disintegration in the steppes of Inner Asia. These results are encouraging for developing more insightful models of long-range socio-natural dynamics that include politics based on real-world historical observation.
George Mason University Computer Science Technical Report, 2013

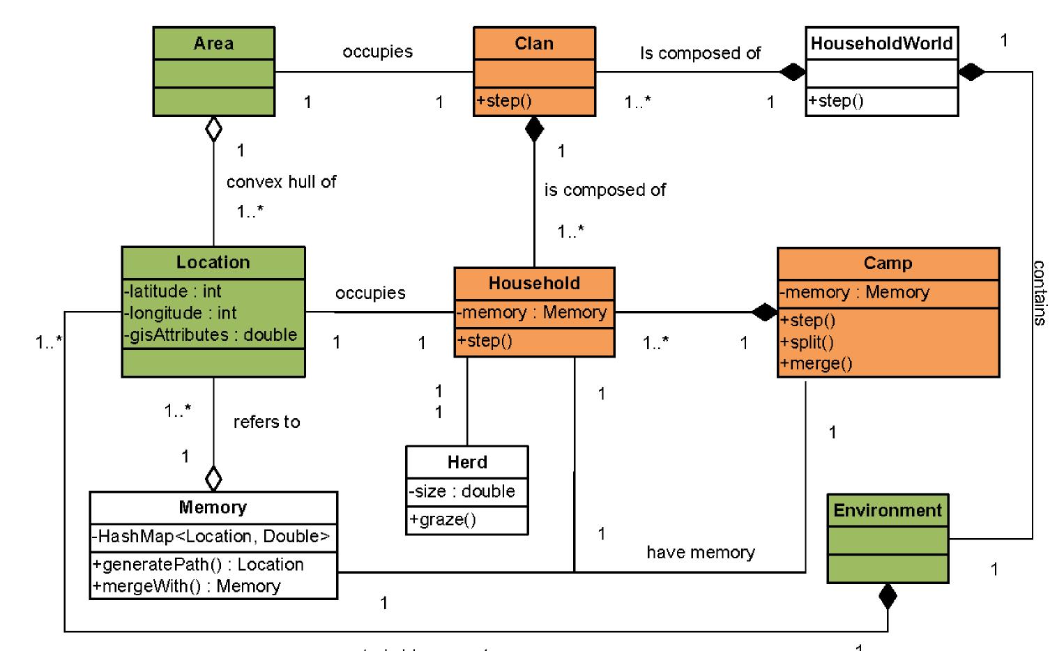
Archaeological, historical, and ethnographic sources on the pastoralism of Inner Asia provide evi... more Archaeological, historical, and ethnographic sources on the pastoralism of Inner Asia provide evidence for a resilient, but highly volatile steppe adaptation that developed several thousand years ago. This study explores some fundamental aspects of pastoralist settlement and social systems as they developed following the Bronze Age. The analysis uses the agent-based computational model, HouseholdsWorld, to simulate aspects of mobility, population density, kinship structures, and herd dynamics relating to emerging social territories and the implications for sustainable landscape use. Comparisons with archaeological data show the potential impacts of social controls on habitation distributions and mobility. When overarching social controls were in place distinctive territorial differences emerged. When social controls were less centralized individual households became wealthier. In regions with dense populations, expanding the scope of landscape knowledge allowed micro-mobility to effectively mitigate social restrictions. As a result population expanded, but became poorer. In less densely inhabited regions greater knowledge of the landscape expanded the mid-range of wealth distribution without expanding the number of poor.
The Archaeology of Colonial Encounters: Comparative Perspectives, 2005

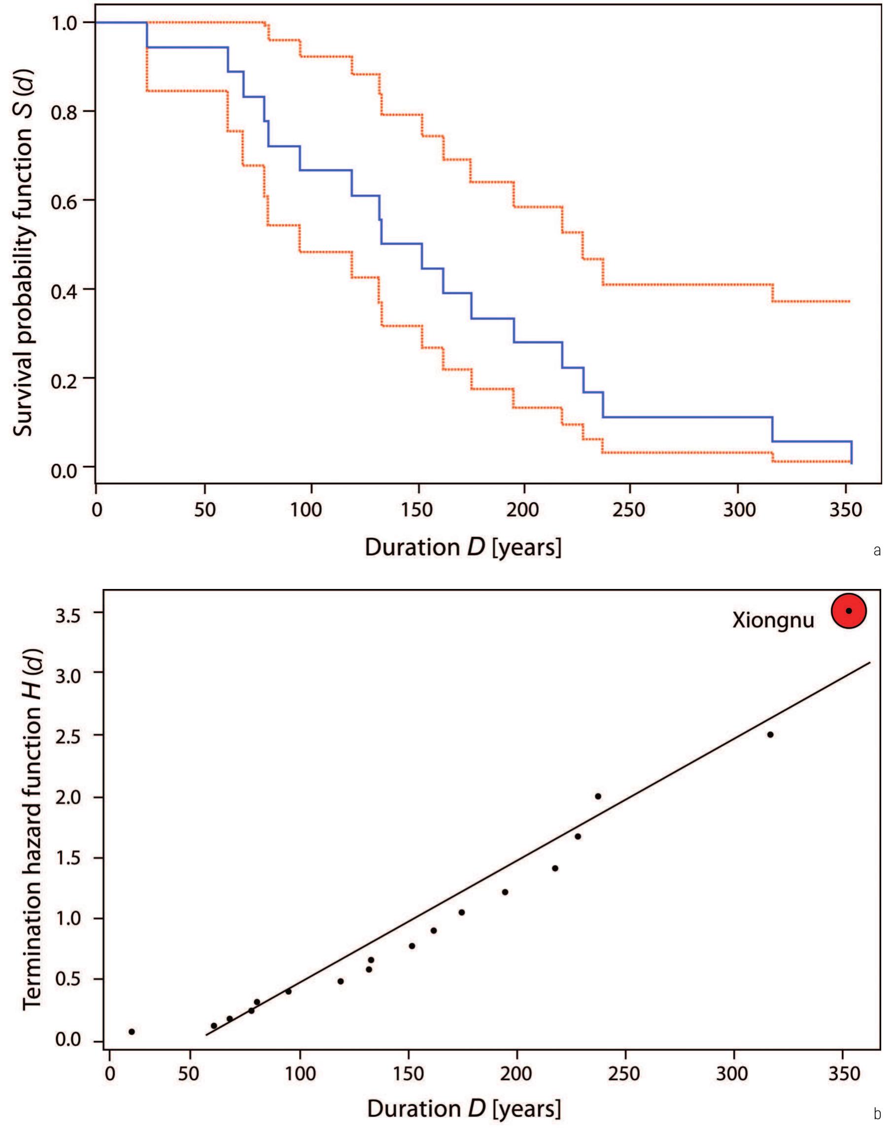
By 200 B.C. a series of expansive polities emerged in Inner Asia that would dominate the history ... more By 200 B.C. a series of expansive polities emerged in Inner Asia that would dominate the history of this region and, at times, a very large portion of Eurasia for the next 2,000 years. The pastoralist polities originating in the steppes have typically been described in world history as ephemeral or derivative of the earlier sedentary agricultural states of China. These polities, however, emerged from local traditions of mobility, multiresource pastoralism, and distributed forms of hierarchy and administrative control that represent important alternative pathways in the comparative study of early states and empires. The review of evidence from 15 polities illustrates long traditions of political and administrative organization that derive from the steppe, with Bronze Age origins well before 200 B.C. Pastoralist economies from the steppe innovated new forms of political organization and were as capable as those based on agricultural production of supporting the development of complex societies.

Pastoralism represents a complex adaptive system that has existed in Inner Asia for thousands of ... more Pastoralism represents a complex adaptive system that has existed in Inner Asia for thousands of years. The challenges of environmental change have highlighted the need to assess the potential for long-term sustainability while also considering the characteristics of systems that have the potential to maintain resilience. Here we assess the interaction between slow and fast processes and how interpretations of adaptive capacity and system resilience are affected by the scale at which observations are made. Agent-based modeling is used to identify the social and demographic interactions between landscape and weather variability for pastoralists in Inner Asia at a variety of social scales and from temporal scales of societal change ranging from a few days to 1000 years. Results indicate that the scale of abrupt changes may not be proportional to the severity or duration of the weather event, but is highly impacted by internal social factors. At the scale of individual families, highly interconnected social systems with less mobility and restricted decision making are less effective. When viewed from the vantage point of larger social units, highly interconnected kinship systems and restrictions in access to land may serve purposes that are counterproductive for individual families.
In recent years the interdisciplinary field of Computational Social Science has developed theory ... more In recent years the interdisciplinary field of Computational Social Science has developed theory and methodologies for building spatial Agent-Based Social Simulation (ABSS) models of human societies that are situated in ecosystems with land cover and climate. This article explains the needs and demand for Geographic Information Systems (GIS) in these types of agent-based models, with an emphasis on models applied to Eastern Africa and Inner Asia and relevance for understanding and analyzing development issues. The models are implemented with the MASON (Multi-Agent Simulator Of Networks and Neighborhoods) system, an open-source simulation environment in the Java language and suitable for developing ABSS models with GIS for representing spatial features.

Smithsonian Contributions to Anthropology 49, Smithsonian Institution Scholarly Press, Washington, DC., 2011
Contribution by Javier Urcid s m i t h s o n i a n c o n t r i b u t i o n s t o a n t h r o p o ... more Contribution by Javier Urcid s m i t h s o n i a n c o n t r i b u t i o n s t o a n t h r o p o l o g y • n u m b e r 4 9 washington, D.c. 2011 artifacts from the craig Mound at spiro, oklahoma April K. Sievert with J. Daniel Rogers Contribution by Javier Urcid aBstRact sievert, april K., with J. Daniel Rogers and contribution by Javier Urcid. Artifacts from the Craig Mound at Spiro, Oklahoma. smithsonian contributions to anthropology, number 49, xiv + 231 pages, 163 figures, 11 plates, 48 tables, 2011.-this monograph presents the historical context and detailed descriptions of a remarkable collection of more than 20,000 artifacts from the craig Mound at the spiro site in eastern oklahoma. spiro is one of the key sites known for the Mississippian Period (ad 900-1500) of the eastern United states. aside from the cultural importance of the site in regional history, the artifacts from spiro provide an almost unique glimpse into the ceremonial life and artistic innovations of a people who developed an important but poorly known cultural tradition. Between 1933 and 1936 the spiro site was looted, and artifacts were sold and traded to many collectors. subsequently, professional archaeological excavations were conducted, and those collections primarily reside at the sam noble oklahoma Museum of natural history. the smithsonian spiro collection is under the care of the Department of anthropology at the national Museum of natural history. the collection came to the Museum through 14 accessions between 1936 and 1986. the largest portion was acquired from harry M. trowbridge in 1958. of particular note in the collection are marine shells engraved with a wide variety of human and animal images. the collection also includes pigments, basketry, clothing with dyed designs, pipes, weapons, ornaments, containers, and figurines made from several different materials. Many of the artifacts are made from raw materials that were acquired by the spiro people through an extensive trade network extending from the atlantic to the Pacific ocean and from the upper Midwest in the north to central Mexico in the south. cover image: Detail of .
Xiongnu Archaeology: Multidisciplinary Perspectives of the First Steppe Empire in Inner Asia, 2011
Simulating Interacting Agents and Social Phenomena: The Second World Congress, 2010
Computational modeling of pastoralist societies that range as nomads over diverse environmental z... more Computational modeling of pastoralist societies that range as nomads over diverse environmental zones poses interesting challenges beyond those posed by sedentary societies. We present HouseholdsWorld, a new agentbased model of agro-pastoralists in a natural habitat that includes deserts, grasslands, and mountains. This is the paper-of-record for the HouseholdsWorld model as part of a broader interdisciplinary project on computational modeling of long-term human adaptations in Inner Asia. The model is used for conducting experiments on socio-environmental interactions, social dynamics experiments, and for developing additional models with higher levels of social complexity.
Current Archaeological Research in Mongolia: Papers from the 1st International Conference on Archaeological Research in Mongolia held in Ulaanbaatar, August 19th-23rd, 2007, 2009
Simulating the Past to Explore the Future
AnthroNotes 30 (2): 8-9, 2009
Genghis Khan and the Mongol Empire, 2009
The Spiro Site
Archaeology in America: An Encyclopedia, 2009
Uploads
Papers by J. Daniel Rogers