Edited Volumes by Jason M LaBelle
Southwestern Lore, Journal of the Colorado Archaeological Society
Volume 81, Issues 2/3
Summer/Fa... more Southwestern Lore, Journal of the Colorado Archaeological Society
Volume 81, Issues 2/3
Summer/Fall 2015
Volume contains 14 papers regarding lithic caches discovered within the state of Colorado.
Compilation of 16 papers in honor of Dr. Jim Benedict, pioneer geoarchaeologist of the Southern R... more Compilation of 16 papers in honor of Dr. Jim Benedict, pioneer geoarchaeologist of the Southern Rocky Mountains.
Papers by Jason M LaBelle

Advances in Archaeological Practice
ABSTRACTOur professional understanding of the archaeological record is informed through academic ... more ABSTRACTOur professional understanding of the archaeological record is informed through academic research interest, the nature (tensions of time/money/location) of cultural resource management, and the ability of archaeologists to fully access diverse forms of data potentially available to them. Knowledge of eastern Colorado is poorly known, given that 40% of the state is publicly owned (federal and state) and most professional work occurs on land administered by federal agencies in western Colorado. Given this research disparity, we argue that professional archaeologists in eastern Colorado would certainly benefit from expanding their research networks to include the efforts of avocational archaeologists. Our article describes how artifact collectors have searched eastern Colorado for the past 100 years; although their methods differ from professional approaches, their cumulative efforts provide a nuanced read of the archaeological record. Differences relate to increased time spent...
Bonnie Clark\u27s book is a welcome addition to the small body of published literature regarding ... more Bonnie Clark\u27s book is a welcome addition to the small body of published literature regarding Great Plains historical archaeology. It concerns two habitation sites located on the Pinon Canyon Maneuver site, a modern military base in the canyon lands of the Purgatory River (which the Spanish named EI Rio de Las Animas Pedidas en Purgatorio) in southeastern Colorado. The river is the lifeblood of this region, with a deep record of occupation by both prehistoric and historic populations. Clark searches for Hispanic Colorado, which she identifies as both a people and a place. But unlike other historical archaeology studies, this one has few written records to rely upon for building a story of the peoples of the past. The goal of Clark\u27s work is to place these two sites into a broader social fabric of Hispanic place

For a little over 75 years, Colorado has played host to important discoveries regarding the peopl... more For a little over 75 years, Colorado has played host to important discoveries regarding the peopling of the New World during the latest Pleistocene, with the earliest human occupations dating to at least l3,000 years before the present. Frontiers in Colorado Paleoindian Archaeology is a welcome addition to the already large body of research concerning this popular subject. The edited volume contains an introduction, ten chapters broken into three sections, an afterword, and a thorough index. Part 1 provides the context for the volume, including an environmental reconstruction of the Front Range (J.P. Doerner) and an overview of the history of Colorado Paleo indian research (Pitblado and Brunswig). Part 2 contains four important papers regarding the Dent mammoth site, the first well-documented association between humans (Clovis complex) and mammoths in all of North America (Brunswig; D.C. Fisher and D.L. Fox; J.J. Saunders; L.S. Cummings and R.M. Albert). Part 3 offers four assorted ...

Bayesian Modeling of the Clovis and Folsom Radiocarbon Records Indicates a 200-Year Multigenerational Transition
American Antiquity, 2022
An enduring problem in North American archaeology concerns the nature of the transition between t... more An enduring problem in North American archaeology concerns the nature of the transition between the Clovis and Folsom Paleoindian complexes in the West. Traditional models indicate a temporal hiatus between the two complexes implying that Folsom was a population replacement for Clovis. Alternatively, if Folsom was an innovation that occurred within Clovis populations and subsequently spread, we would expect to see a temporal overlap. Here, we test these hypotheses using high-quality radiocarbon dates and Bayesian statistics to infer the temporal boundaries of the complexes. We show that the Folsom complex initially appears between 12,900 and 12,740 cal BP, whereas Clovis disappears between 12,720 and12,490 cal BP. Therefore, Folsom may have appeared about 200 years before Clovis disappeared, and so the two complexes likely co-occurred in the West for nearly eight generations. This finding suggests that Folsom was a successful adaptive innovation that diffused through the western Clo...
Hunter-Gatherer Adaptations of the Central Plains and Rocky Mountains of Western North America
Hunter-Gatherer Behavior, 2016

Paleoecological and Archaeological Investigation of the ROMO 9 Ice Patch, Rocky Mountain National Park, Colorado, USA
Journal of Glacial Archaeology, 2021
Rocky Mountain National Park contains a dense record of prehistoric Native American archaeologica... more Rocky Mountain National Park contains a dense record of prehistoric Native American archaeological locales and biological resources, but questions remain about the past use of the Park’s ice patches by ancient humans and animals. Our survey of 30 locations in the Park revealed that the majority of ice patches are small in size and contain limited evidence of past visitation by mobile peoples, but moderate use by game. In this paper, we present new radiocarbon dates for materials documented in the recently melted forefield of the ROMO 9 ice patch, a mid-sized ice body located in alpine tundra along the Continental Divide. Dated materials include timber-sized pine trees, keratin and bone collagen from large game (bighorn sheep, elk), and a possible wooden artifact made from Mountain mahogany. Results suggest most finds date to several periods of known neoglaciation, during the mid-Holocene (c. 4150 cal BP) and the Little Ice Age (c. 115 cal BP). Our results corroborate past findings o...

Kill, Camp, and Repeat: Return to the Lindenmeier Folsom Site, Colorado
Great Plains Research, 2021
Ancient Folsom hunter-gatherers of the Great Plains and Rocky Mountains are often interpreted as ... more Ancient Folsom hunter-gatherers of the Great Plains and Rocky Mountains are often interpreted as bison hunters, constantly in pursuit of game. As such, there is little expectation for the repetitive use of specific places due to the mobile nature of bison. However, large sites such as Lindenmeier (5LR13) in northern Colorado suggest alternative land use scenarios. The extensive size of the site, the presence of nine to twelve clusters of Folsom artifacts, and the recovery of rare objects such as bone needles and beads, suggest the site was repeatedly occupied for reasons beyond bison hunting alone. Past interpretations vary on site use, ranging from a single aggregated occupation to instead many occupations spread over the centuries of Folsom presence within the region. Fieldwork at the Eastern Locality clarifies aspects of this spectrum for this area of Lindenmeier, where our work suggests a contemporaneous bison kill and associated camp. This occupation, spatially distinct from other occupations at the site, indicates Lindenmeier is a product of multiple bison kills and associated camps of other broader functions.
Passing Through or Settling Down? Paleoindian Occupation of Colorado’s Southern Rocky Mountains, USA

Mobility and ceramic paste choice: Petrographic analysis of prehistoric pottery from northeastern Colorado
Plains Anthropologist, 2021
Pre-contact Native American sites in northeastern Colorado typically yield only a few sherds per ... more Pre-contact Native American sites in northeastern Colorado typically yield only a few sherds per site (if present), thus little information is known regarding ceramic manufacture by highly mobile groups in this area. Over the past fifty years, systematic archaeological research in Larimer County has generated a large sample of pottery for detailed study. Petrographic analysis of forty samples from ten sites on the low hills of the Front Range indicates a preference for non-local granitic raw materials. Group mobility clearly played a role in where pottery was made (western foothills) as opposed to where it is used (Colorado Piedmont). There are slight differences in paste and temper from the Early Ceramic (AD 150–1150) to the Late Ceramic periods (AD 1540–1860) that could reflect varying approaches to ceramic production as related to preferred source materials. The results suggest the pottery was made on a limited scale and likely for cooking.

Folsom Point Diggings: The Johnson Site in the Foothills of Larimer County, Colorado
PaleoAmerica, 2021
ABSTRACT The Johnson site is a Folsom occupation in Larimer County, Colorado. T. Russell Johnson ... more ABSTRACT The Johnson site is a Folsom occupation in Larimer County, Colorado. T. Russell Johnson discovered the site in 1935, which led to excavations by the Colorado Museum of Natural History in 1936 and later work in 1960 by the University of Wyoming. Little is known of the site due to limited reporting of the excavation and the Folsom assemblage. Our examination of the site collections gathered between 1935 and 1936 reveals an assemblage of 96 items, consisting of Folsom points, preforms, and channel flakes, as well as other tools including end scrapers, gravers, bifaces, and flake tools. Technological analysis of the Folsom points and byproducts of hunting-tool production suggests that site occupants fluted and finished points made from preforms of non-local materials, while additional tools and a few points were made from materials locally available in the Front Range foothills. As such, Johnson represents at minimum a hunting-weaponry-replacement locale.

Bayesian Revision of the Folsom Age Range Using IntCal20
PaleoAmerica, 2021
ABSTRACT Folsom is an early Paleoindian archaeological tradition found in the North American West... more ABSTRACT Folsom is an early Paleoindian archaeological tradition found in the North American West. Here we report new AMS radiocarbon dates for the Barger Gulch and Lindenmeier sites in Colorado along with unsuccessful dating attempts for Blackwater Draw, the Mitchell Locality, Shifting Sands, and Lipscomb on the Southern Plains. We applied Bayesian modeling using IntCal20 to our updated set of Folsom dates and estimate that the Folsom tradition lasted for a period spanning between 355–510 years at the 68 per cent credible interval or 325–650 years at the 95 per cent credible interval, starting sometime between 12,845–12,770 calendar years ago (cal yr BP) and ending sometime between 12,400–12,255 cal yr BP. Additionally, we model the spans of the start and end boundaries and find that both the adoption and abandonment of Folsom technology occurred over relatively short periods, less than 100 years and likely less than 50 years.

North American Archaeologist, 2020
Comparison of Late Paleoindian sites of the Great Plains and Rocky Mountains reveals 36 site comp... more Comparison of Late Paleoindian sites of the Great Plains and Rocky Mountains reveals 36 site components from 28 sites containing ground stone tools, including nine Cody Complex examples. Much of the ground stone use appears related to generalized activity, as few items have functionally specific forms. However, the Cody components have an unexpectedly higher number of grooved abraders as compared to other complexes. We note that Paleoindian examples contain wider u-shaped grooves compared to Late Prehistoric/Protohistoric abraders related to arrow production. We argue that Paleoindian abraders represent shaft abraders, used in the production of dart shafts within weaponry systems. We propose several hypotheses for the emergence of this technology during Cody times. The most parsimonious explanation is that the specific sites containing these abraders represent large camps, occupied for long periods and containing diverse chipped and ground stone assemblages.
Radiocarbon Dating Of Twenty-Seven Plains Complexes And Phases
Plains Anthropologist, 1996
RefDoc Bienvenue - Welcome. Refdoc est un service / is powered by. ...

American Antiquity, 2017
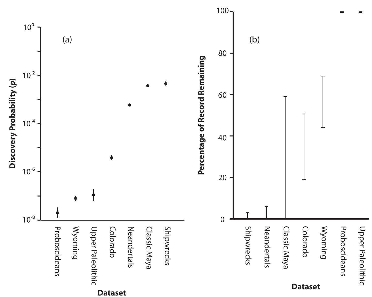
Except for the addition of modern material remains, the archaeological record is a finite resourc... more Except for the addition of modern material remains, the archaeological record is a finite resource, which means that, at some point in the future, there will be nothing left to find. In this paper, we model trends in archaeological discovery based on the growth of the field and the probability of site discovery. We compare this model to seven diverse datasets of archaeological discovery trends: (1) all sites from the state of Wyoming, USA; (2) high-altitude archaeological sites from the state of Colorado, USA; (3) mostly complete Neandertal crania; (4) monumental sites of the Maya Classic period; (5) proboscidean kill/scavenge sites globally; (6) Upper Paleolithic sites from Europe; and (7) a compilation of shipwreck discoveries. We forecast discovery trends over the current century. We show that, for all datasets, rates of discovery are in decline, and some segments of the record are near depletion.

American Antiquity, 2008
Most models of Folsom adaptation consider specialized bison hunting and high rates of residential... more Most models of Folsom adaptation consider specialized bison hunting and high rates of residential mobility to be defining characteristics. We use spatial and assemblage content data from a sample of 619 Folsom sites located throughout the Great Plains, Rocky Mountains, and Southwest to evaluate whether the archaeological record actually reflects these characteristics. Three spatial scales of analysis are utilized. First, site scale analysis of a subset of sites shows a great deal of variability in spatial and temporal characteristics. Sites can be roughly divided into small, single occupation locales and large, serially occupied sites. Second, day-to-day foraging occurs at what we term the foraging scale. This intermediate spatial scale is poorly understood for Folsom groups, though large sites such as Blackwater Draw and Lindenmeier provide clues that are supplemented by information from the ethnographic record. Third, the macro-regional scale analysis utilizes the entire site samp...

Quaternary International, 2013
The Olson site (5BL147) is a multi-component rock walled game drive located in the James Peak wil... more The Olson site (5BL147) is a multi-component rock walled game drive located in the James Peak wilderness area of Northern Colorado, USA. It is one part of a much larger game drive complex located at Rollins Pass, situated above modern tree limit and along the Continental Divide, at approximately 3600 m above sea level. Byron Olson and James Benedict conducted work at the site in the late 1960s. We combined their efforts with our recent field and lab work to produce a synthetic overview of the site. At least 45 blinds and 1307 m of rock walls are present, to funnel game upslope to waiting hunters. Radiocarbon and lichenometric dates suggest occupations spanning the last 3200 years, with diagnostic tools suggesting even older use. Lithic analysis of the debitage and tools, from both excavated (blinds) and surface contexts (intercept and processing areas), provides possible scenarios for the use of the site. Large game drives of the Colorado alpine zone represent accumulated landscapes of artifacts and features, the byproduct of many years of construction, use, and re-use, and built for a variety of reasons.
Re (occupation) of Place: Late Paleoindian Land Use Strategies in the Central Plains
Uploads
Edited Volumes by Jason M LaBelle
Volume 81, Issues 2/3
Summer/Fall 2015
Volume contains 14 papers regarding lithic caches discovered within the state of Colorado.
Papers by Jason M LaBelle