Papers by Jorge Ari Noriega, PhD

Revista Mexicana De Biodiversidad, Jun 6, 2023
Less than 1% of the literature on El Salvador's biodiversity is about terrestrial invertebrates, ... more Less than 1% of the literature on El Salvador's biodiversity is about terrestrial invertebrates, which limits our knowledge of this group's diversity, richness, and distribution in the territory. Scarabaeoidea are megadiverse in multiple ecosystems and perform many functions. This work aims to catalog the Scarabaeoidea in El Salvador. We conducted an exhaustive review of published literature and reviewed numerous entomological collections with relevant material. Maps were constructed to visualize the known distribution of each species in the country. There are 295 scarab beetle species (including 19 new country records) representing 106 genera in 7 families in El Salvador. Six precinctive species are known. Twenty-two species are discarded as occurring in El Salvador, either because they are not valid species or because of misidentifications or dubious records. This work is the first approach to knowing the 420 species and 132 genera of Chrysomelidae, and Pablo-Cea et al. (2021) recorded 96 especies in 38 genera of Staphylinidae. Both families are important for their diverse feeding habits and behaviors in a variety of ecosystems (
Superfamilia Scarabaeoidea (Insecta: Coleoptera) como elemento bioindicador de perturbación antropogénica en un parque nacional amazónico Scarabaeoidea superfamily (Insecta: Coleoptera) as a bioindicator element of anthropogenic disturbance in an amazon national park
DOAJ (DOAJ: Directory of Open Access Journals), Jun 1, 2013
Frontiers in Ecology and Evolution, Apr 26, 2023
Frontiers in Ecology and Evolution 02 frontiersin.org in knowledge to help those who work in tran... more Frontiers in Ecology and Evolution 02 frontiersin.org in knowledge to help those who work in transferring knowledge, to help ranchers exercise better options for more sustainable livestock farming, and to publish results for conservation decision-making.

Primary forest loss and degradation reduces biodiversity and ecosystem functioning: A global meta‐analysis using dung beetles as an indicator taxon
Journal of Applied Ecology, Apr 11, 2022
Because of continuing degradation or deforestation in areas of undisturbed primary forest, there ... more Because of continuing degradation or deforestation in areas of undisturbed primary forest, there is a need to study the relative merit of strategies that mitigate their impacts on biodiversity and associated ecological functionality. Here, we provide a global synthesis of forest degradation or deforestation using 48 studies published in peer‐reviewed journals that use dung beetles as indicators given their sensitivity to anthropogenic disturbance and their relevance in performing essential ecological functions in terrestrial ecosystems. We evaluated forest cover associated with undisturbed primary forest degradation (i.e. degraded primary forest) and undisturbed primary forest deforestation (i.e. secondary forest, forestry plantations and forestry restoration implementation) on species richness, total abundance, biomass, functional groups' presence and ecological functions provided by dung beetles. Additionally, we determined whether if dung beetle responses to forest disturbances were geographically dependent. We found lower diversity and a decrease in ecological functions associated with all classes of disturbance in primary forest. However, the effects were less severe in the case of forest degradation compared to complete deforestation with natural regeneration of secondary forest, development of forest plantations or active forest restoration by planting indigenous trees. The Neotropical and Oriental regions are particularly vulnerable, given the elevated rates of undisturbed primary forest deforestation and its negative impact on their assemblages' diversity and ecological functions. Synthesis and applications. Our results show that efforts for the conservation of remaining undisturbed primary forests need to be prioritized, especially in tropical latitudes. However, in regions where primary forest conservation is not feasible, logging management programs in degraded primary forest may have a potential role in reducing negative impacts for dung beetle diversity and ecological functions. Moreover, we conclude that despite the negative effect of primary forest deforestation and implementation of secondary forest, forestry plantation and forestry restoration, they can be useful for partial recovery of diversity and ecological functions performed by dung beetles in areas lacking any primary forest (undisturbed or degraded) vegetation cover.
Ecology and Evolution, Dec 1, 2014
HAL is a multidisciplinary open access archive for the deposit and dissemination of scientific re... more HAL is a multidisciplinary open access archive for the deposit and dissemination of scientific research documents, whether they are published or not. The documents may come from teaching and research institutions in France or abroad, or from public or private research centers. L'archive ouverte pluridisciplinaire HAL, est destinée au dépôt et à la diffusion de documents scientifiques de niveau recherche, publiés ou non, émanant des établissements d'enseignement et de recherche français ou étrangers, des laboratoires publics ou privés.

Pervasive gaps in Amazonian ecological research
Current Biology
Biodiversity loss is one of the main challenges of our time and attempts to address it require a ... more Biodiversity loss is one of the main challenges of our time and attempts to address it require a clear understanding of how ecological communities respond to environmental change across time and space. While the increasing availability of global databases on ecological communities has advanced our knowledge of biodiversity sensitivity to environmental changes vast areas of the tropics remain understudied. In the American tropics, Amazonia stands out as the world's most diverse rainforest and the primary source of Neotropical biodiversity, but it remains among the least known forests in America and is often underrepresented in biodiversity databases. To worsen this situation, human-induced modifications may eliminate pieces of the Amazon's biodiversity puzzle before we can use them to understand how ecological communities are responding. To increase generalization and applicability of biodiversity knowledge it is thus crucial to reduce biases in ecological research, particularly in regions projected to face the most pronounced environmental changes. We integrate ecological community metadata of 7,694 sampling sites for multiple organism groups in a machine learning model framework to map the research probability across the Brazilian Amazonia, while identifying the region's vulnerability to environmental change. 15%–18% of the most neglected areas in ecological research are expected to experience severe climate or land use changes by 2050. This means that unless we take immediate action, we will not be able to establish their current status, much less monitor how it is changing and what is being lost.

Entomologia Generalis
Insect rearing systems are widely used in biological control, experiments, and for food supply in... more Insect rearing systems are widely used in biological control, experiments, and for food supply including single, multiple, and mass rearing from small to large scales. An example of a reared taxon is the dung beetles, a speciose cosmopolitan group that provides essential ecosystem services to the environment. Dung beetle species have been translocated into several countries, such as Australia, United States, and Brazil, in ongoing efforts to fill niches not occupied by native fauna. The success of these programs depends on the capacity to rear sufficient numbers for successful field release, establishment, and experimental information; a task that needs to consider its reproductive biology. Many species of dung beetle are univoltine, long-lived, exhibit parental care, and produce small numbers of progeny. Rearing conditions need to promote the production of large, well-nourished, and fecund individuals. In this review, we synthesize the scarce literature on dung beetle rearing and appraise the abiotic and biotic factors that influence rearing initiatives. We identify major research priorities that allow the optimization of these programs. The published data focus on a restricted range of taxa. Further, the influence of factors such as soil moisture and composition, rearing media, temperature, and biotic interactions are poorly understood. Consequently, even for large-scale and well-funded projects, there is heavy reliance on institutional knowledge and anecdotal reports, with few published experimental evaluations. The most imperative goal for optimizing progeny is to conduct rigorous experiments with a wider range of taxa that lead to establishing efficient and specific rearing strategies and programs.
Biological Conservation, 2020
The fate of humans and insects intertwine, especially through the medium of plants. Global enviro... more The fate of humans and insects intertwine, especially through the medium of plants. Global environmental change, including land transformation and contamination, is causing concerning insect diversity loss, articulated in the companion review Scientists' warning to humanity on insect extinctions. Yet, despite a sound philosophical

Nature Communications, 2019
How insects promote crop pollination remains poorly understood in terms of the contribution of fu... more How insects promote crop pollination remains poorly understood in terms of the contribution of functional trait differences between species. We used meta-analyses to test for correlations between community abundance, species richness and functional trait metrics with oilseed rape yield, a globally important crop. While overall abundance is consistently important in predicting yield, functional divergence between species traits also showed a positive correlation. This result supports the complementarity hypothesis that pollination function is maintained by non-overlapping trait distributions. In artificially constructed communities (mesocosms), species richness is positively correlated with yield, although this effect is not seen under field conditions. As traits of the dominant species do not predict yield above that attributed to the effect of abundance alone, we find no evidence in support of the mass ratio hypothesis. Management practices increasing not just pollinator abundance,...

Frontiers of Biogeography, 2018
By manipulating faeces during feeding and breeding, dung beetles (Coleoptera: Scarabaeidae) fulfi... more By manipulating faeces during feeding and breeding, dung beetles (Coleoptera: Scarabaeidae) fulfil important ecosystem functions in terrestrial ecosystems throughout the world. In a pan-European multi-site experiment (MSE), we estimated the ecosystem functions of dung removal and secondary seed dispersal by differing combinations of dung beetle functional groups. Therefore, we classified dung beetles into five functional groups according to their body size and dung manipulation method: dwellers, large and small tunnelers, and large and small rollers. Furthermore, we set up a dung beetle sampling database containing all sampled dung beetles during the project. By identifying dung beetle specimens to the species level, we obtained a detailed insight into the dung beetle communities at each study location. By establishing experimental plots allowing and inhibiting specific combinations of functional groups in the local dung beetle assemblage from removing dung and seeds, we estimated the role of each group in dung removal and secondary seed dispersal during a 4-week period. We performed all experiments in grazed (semi-) natural grasslands, and used different dung types (cattle, horse, sheep, goat or red deer) to match the herbivore species grazing in close vicinity of each of the study areas. Simultaneously, we sampled dung beetle assemblages by using pitfalls baited with the same dung types as used in the experiments. This data paper documents two datasets collected in the framework of this MSE project. All the experiments took place between 2013 and 2016 at 17 study sites in 10 countries and 11 biogeographic zones. The entire dung beetle sampling dataset was published as a sampling event dataset at GBIF. The dataset includes the sampling results of all 17 study sites, which contain 1,050 sampling events and 4,362 occurrence records of 94 species. The second dataset contains the results of the dung removal and secondary seed dispersal experiments in which we used 11 experimental treatments and the five dung types mentioned above. This experimental results dataset holds all experimental results of the MSE project (11,537 records), and was published in the online data repository Zenodo.

Natural Resources, 2017
The invasion process involves overcoming certain barriers with negative effects on the biodiversi... more The invasion process involves overcoming certain barriers with negative effects on the biodiversity and ecosystem function. This is the case of the African dung beetle Digitonthophagus gazella, which was introduced in the United States and other countries in Central and South America to help in dung removal activity. The distribution of D. gazella has been documented in the Americas, but in Venezuela there is little information. Trying to understand the process of invasion of the Colombian-Venezuelan savannas and measure their potential impact, the information stored in collections and literature was collected. Five new state records were reported for Venezuela, as well as four scenarios of the process of introduction and establishment of this species in the region. Although the amount of records has increased, the number of individuals sampled is still incipient. The possible areas of invasion and the potential negative effects that the presence of this species exerts in these regions are also discussed. In addition, potential areas of invasion and negative effects of this species are discussed. Results emphasize the importance of generating models of the invasive process in order to design programs that monitor the effects incurred by the presence of D. gazella on native species and propose control and mitigation mechanisms.

Diversity and Distributions, 2016
AimUnderstanding the impact of land use change within assemblages is fundamental to mitigation po... more AimUnderstanding the impact of land use change within assemblages is fundamental to mitigation policies at local and regional scale. Here, we aim to quantify how site‐level terrestrial assemblages are responding to land use change in Colombia a mega‐diverse country and to project future biodiversity under different scenarios of land use change associated with climate change policies.LocationColombia (northern South America).MethodsWe collated original biodiversity data from 17 publications (285 sites) that examined how human impact affects terrestrial biodiversity in Colombia. From each site we estimated compositional intactness (i.e. compositional similarity to undisturbed sites). We fitted generalized linear mixed‐effects models to estimate how these measures of local biodiversity vary across land use habitats. Using space‐for‐time substitution, we applied our estimates to hindcast biodiversity changes since 1500 and project future changes under climate change policies of the four...

Revista de la Academia Colombiana de Ciencias Exactas, Físicas y Naturales, 2016
Los bosques secos tropicales en América del Sur son uno de los ecosistemas menos conocidos y pres... more Los bosques secos tropicales en América del Sur son uno de los ecosistemas menos conocidos y presenta una de las mayores pérdidas de cobertura anual. Con el objetivo de entender la dinámica estacional de estos remanentes de bosque y generar herramientas de conservación, se ha propuesto la utilización de grupos indicadores como el de los escarabajos coprófagos. Durante las épocas de sequía y de lluvias en el 2012 se hizo un muestreo con el fin de conocer la estructura del ensamblaje de escarabajos coprófagos (Coleoptera: Scarabaeinae) en una parcela permanente de bosque seco tropical en la Universidad del Magdalena, distrito de Santa Marta (Magdalena, Colombia). Se instalaron tres transectos en la parcela con trampas de caída cebadas con excremento humano. Se registraron 5.001 individuos pertenecientes a 13 especies y siete géneros. Cabe resaltar la abundancia de la especie Canthon variabilis en las dos épocas. No se encontraron diferencias significativas en la abundancia entre las dos épocas, pero sí en la riqueza. De las 13 especies encontradas, 11 se registraron en la época de sequía y ocho en la de lluvias, en tanto que siete se encontraron exclusivamente en una u otra de las dos épocas. No se registró la presencia de Malagoniella astyanax ni de Digitonthophagus gazella, lo cual indica que el fragmento tiene un grado intermedio de conservación. El número de especies y la estructura del ensamblaje concordaron con lo registrado para la región Caribe, y se evidenció una marcada dinámica estacional. Es necesario continuar con este tipo de estudios y analizar el efecto funcional de la fragmentación y el tamaño de los fragmentos en los procesos y servicios ecosistémicos.

Los bosques secos tropicales en América del Sur son uno de los ecosistemas menos conocidos y pres... more Los bosques secos tropicales en América del Sur son uno de los ecosistemas menos conocidos y presenta una de las mayores pérdidas de cobertura anual. Con el objetivo de entender la dinámica estacional de estos remanentes de bosque y generar herramientas de conservación, se ha propuesto la utilización de grupos indicadores como el de los escarabajos coprófagos. Durante las épocas de sequía y de lluvias en el 2012 se hizo un muestreo con el fin de conocer la estructura del ensamblaje de escarabajos coprófagos (Coleoptera: Scarabaeinae) en una parcela permanente de bosque seco tropical en la Universidad del Magdalena, distrito de Santa Marta (Magdalena, Colombia). Se instalaron tres transectos en la parcela con trampas de caída cebadas con excremento humano. Se registraron 5.001 individuos pertenecientes a 13 especies y siete géneros. Cabe resaltar la abundancia de la especie Canthon variabilis en las dos épocas. No se encontraron diferencias significativas en la abundancia entre las dos épocas, pero sí en la riqueza. De las 13 especies encontradas, 11 se registraron en la época de sequía y ocho en la de lluvias, en tanto que siete se encontraron exclusivamente en una u otra de las dos épocas. No se registró la presencia de Malagoniella astyanax ni de Digitonthophagus gazella, lo cual indica que el fragmento tiene un grado intermedio de conservación. El número de especies y la estructura del ensamblaje concordaron con lo registrado para la región Caribe, y se evidenció una marcada dinámica estacional. Es necesario continuar con este tipo de estudios y analizar el efecto funcional de la fragmentación y el tamaño de los fragmentos en los procesos y servicios ecosistémicos.

Diversity
The transformation of forests into agricultural and livestock systems negatively affects the ecol... more The transformation of forests into agricultural and livestock systems negatively affects the ecological dynamics and the ecosystem services provided by different groups of insects, including dung beetles, which stand out for their importance in recycling livestock dung. Since the 1980s, farmers in different regions of the world have been using Ivermectin to control parasites that affect cattle. The main route of elimination of this molecule and its metabolites is through manure, which affects the richness, abundance, and biomass of dung beetles when they use dung from treated animals. To quantify this effect, we carried out an experimental design in the field in the Colombian Caribbean, where nine cattle farms were evaluated, of which three were taken for each of the different cattle management practices most used in the region: (i) Ivermectin not applied, (ii) two doses of Ivermectin at 1% applied per year and (iii) two doses of Ivermectin at 3.15% applied per year. To assess the r...

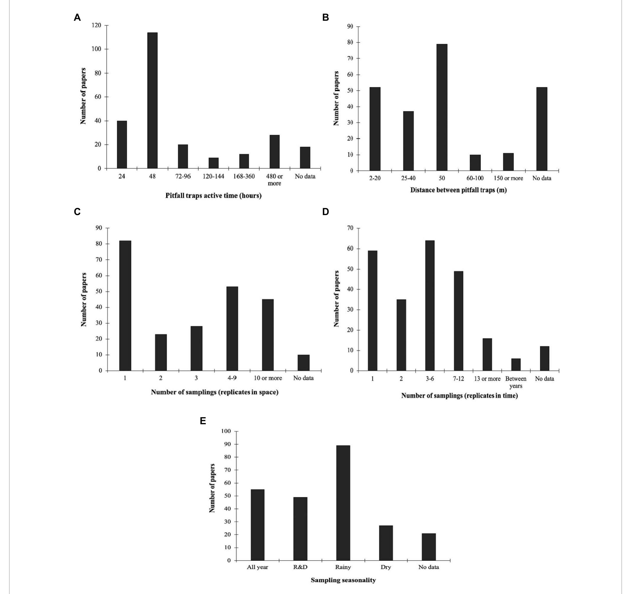
Frontiers in Ecology and Evolution
IntroductionThe standardization of sampling protocols is imperative for robustly studying any tax... more IntroductionThe standardization of sampling protocols is imperative for robustly studying any taxonomic group. Replicable methods allow the comparison of data between different spatial and temporal studies. In the case of dung beetles, one of the best-studied indicator groups in analyses of environmental disturbance, a wide range of collection methodologies are used, from basic pitfall traps to more complex or complementary methods such as mini-Winkler extractor. Also, different types of attractive baits, sampling effort, durations, and designs are used in dung beetle studies. Variations in methodological approaches are particularly noted in the Neotropics, which may be related to the vast number of biological strategies and behavior of dung beetles that inhabit this region. A lack of methodological unification for the Neotropical region makes a cross-sectional analysis of the information impossible.MethodsWe performed a compilation and analytical review of the existing literature f...

Boletín Científico Centro de Museos Museo de Historia Natural
Los bosques de galería de la Orinoquía Colombiana han sufrido fuertes procesos de fragmentación, ... more Los bosques de galería de la Orinoquía Colombiana han sufrido fuertes procesos de fragmentación, lo cual ha afectado su fauna y especialmente las poblaciones de primates. Sin embargo, el estudio de los mamíferos es, en extremo, complejo y costoso. Utilizando la estrecha relación que existe entre la diversidad y abundancia de los mamíferos y los escarabajos coprófagos, se propone utilizar este grupo como una herramienta para evaluar este efecto. Buscando entender cómo el tamaño de los fragmentos y las poblaciones de primates se relacionan con la diversidad y estructura del ensamblaje de escarabajos coprófagos, se realizó un estudio en cuatro fragmentos de diferente tamaño. Se ubicaron transectos lineales de trampas de caída cebadas con excremento. Se evaluó la diversidad y estructura del ensamblaje y se realizó un análisis de varianza para determinar diferencias entre los fragmentos. Se colectaron 1172 individuos, 18 especies y 11 géneros. Se evidenció una disminución en la riqueza, ...
Tetramereia convexa (Harold, 1869) (Coleoptera: Scarabaeidae: Scarabaeinae) is reported for the f... more Tetramereia convexa (Harold, 1869) (Coleoptera: Scarabaeidae: Scarabaeinae) is reported for the first time from Loreto in Peru, being the western most record of the species in South America. Tetramereia convexa (Harold, 1869) (Coleoptera: Scarabaeidae: Scarabaeinae) es reportado por primera vez para Loreto en Perú, siendo el registro más occidental de la especie para Sur America
Comparative effect of forest cutting and mammal hunting on dung beetle assemblages in Chocó Biogeographic forests in Colombia
International Journal of Tropical Insect Science
Data to "Thermal niche dimensionality could limit species' responses to temperature changes: insights from dung beetles
Three datasets containing field observations of 16 dung beetle species on diel and phenological a... more Three datasets containing field observations of 16 dung beetle species on diel and phenological activities and geographic occurrence. Associated temperatures and alternative predictors described in the original paper are also provided.
Uploads
Papers by Jorge Ari Noriega, PhD