Papers by Julia Touza-Montero

EcoHealth, 2018
The maintenance of livestock health depends on the combined actions of many different actors, bot... more The maintenance of livestock health depends on the combined actions of many different actors, both within and across different regulatory frameworks. Prior work recognised that private risk management choices have the ability to reduce the spread of infection to trading partners. We evaluate the efficiency of farmers' alternative biosecurity choices in terms of their own-benefits from unilateral strategies and quantify the impact they may have in filtering the disease externality of trade. We use bovine viral diarrhoea (BVD) in England and Scotland as a case study, since this provides an example of a situation where contrasting strategies for BVD management occur between selling and purchasing farms. We use an agent-based bioeconomic model to assess the payoff dependence of farmers connected by trade but using different BVD management strategies. We compare three disease management actions: test-cull, test-cull with vaccination and vaccination alone. For a two-farm trading situation, all actions carried out by the selling farm provide substantial benefits to the purchasing farm in terms of disease avoided, with the greatest benefit resulting from test-culling with vaccination on the selling farm. Likewise, unilateral disease strategies by purchasers can be effective in reducing disease risks created through trade. We conclude that regulation needs to balance the trade-off between private gains from those bearing the disease management costs and the positive spillover effects on others.

Journal of Agricultural Economics, 2018
Private efforts to prevent and control biological pests and infectious diseases can be a public g... more Private efforts to prevent and control biological pests and infectious diseases can be a public good, and so incentivizing private biosecurity management actions is both desirable and problematic. Compensation contracts can encourage biosecurity efforts, provide support against the collapse of economic sectors, and create an insurance network. We conceptualise a novel biosecurity instrument relying on formal compensation private-public partnerships using contract theory. Our framework explains how the public sector can harness increased private biosecurity measures by making payments to agents which depend both on their performance and that of the other stakeholders. Doing so allows the government to spread the risk across signatory agents. The framework also improves our understanding of government involvement due to public effects of biosecurity, influenced by the private agents' capacity to derive private benefit from their own efforts on monitoring and control. Lastly, these theoretical results provide a foundation for further study of contractual responsibility sharing for pest management.

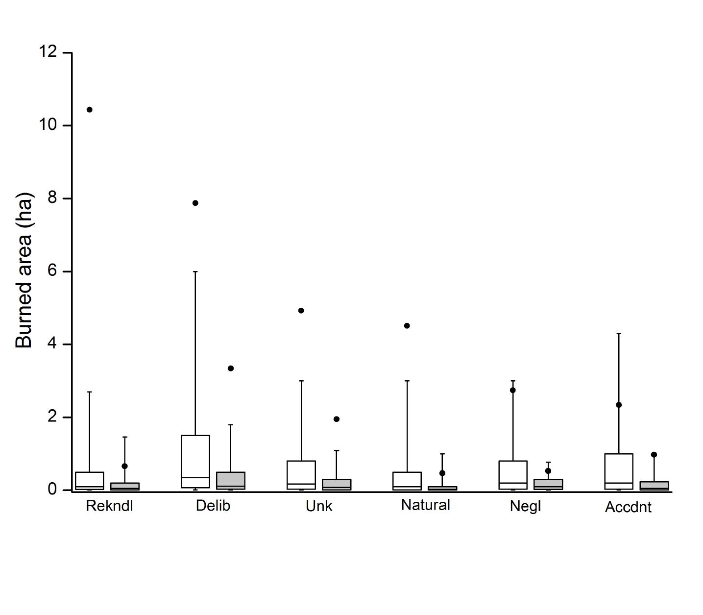
Forest Ecology and Management, 2017
Effective fire prevention requires a better understanding of the patterns and causes of fire igni... more Effective fire prevention requires a better understanding of the patterns and causes of fire ignition. In this study, we focus on the interacting factors known to influence fire ignition risk, such as the type of vegetation, topographical features and the wildlandurban interface (WUI; i.e. where urban development meet or intermingle with wildland). We also analyze the human activities and motivations related to fires and whether they differ depending on the type of vegetation and the location within/outside WUI. There were significant interactions between topography, type of vegetation and location within/outside WUI. The risk of ignition was in general higher at lower elevations, and this tendency was more marked in forested land covers (all plantations and open woodlands), with the noticeable exception of native forests. North-facing sites had lower fire ignition risk outside the WUI, especially in native forests, while southern aspects showed higher fire ignition risk, especially in open shrublands. However, this effect of the aspect was only significant outside WUI areas. In relation to causes, there were also interactions between human activities/motivations related to fires, the type of vegetation and the location within/outside WUI. All forestry plantations appeared clustered in relation to fire causes, especially in the WUI, with high incidence of deliberately caused fires related to violent or mentally ill people and rekindle fires. In contrast, native forests, despite structural similarities with forestry plantations, showed more similarity with agricultural areas and open woodlands in relation to fire causes. In shrublands, there was a relatively high incidence of fires related to ranching, especially outside the WUI. This pattern of interactions depicts a complex scenario in relation to fire ignition risk and prompts to the importance of taking this complexity into account in order to adjust fire management measures for improved effectiveness.

Avaliación socioeconómica da xestión sostible de especies invasoras: unha revisión
Soberanía alimentaria e agricultura ecolóxica: Propostas de acción, 2010, ISBN 978-84-614-3560-9, págs. 613-628, 2010
As especies invasoras son un dos factores máis importantes no cambio medioambiental global, e est... more As especies invasoras son un dos factores máis importantes no cambio medioambiental global, e están consideradas unha das causas máis importantes de perda de biodiversidade (Walker e Steffen, 1997; Wilcove et al., 1998). A xestión desta problemática só é posible de entendermos os factores biolóxicos e socioeconómicos que explican a introdución, establecemento, dispersión e impactos destas especies (Perrings et al. 2000; McNeely et al. 2001; Perrings et al. 2010). As especies invasoras son a miúdo introducidas de forma accidental a consecuencia de actividades económicas tales coma uso ornamental, agrícola ou forestal (ex. Levine e D’Antonio 2003; Ruíz e Carlton 2003; Semmens et al. 2004; Duggan et al. 2006; Dehnen-Schmutz et al. 2007a, 2007b). Polo que a análise das percepcións, actitudes e concienciación social é un tema de grande interese para o desenvolvemento de estratexias de control. Neste traballo examinamos os estudos realizados para comprender os factores sociais que afectan á participación activa dos diferentes grupos de interese (sector comercial, xestores, científicos, ONGs, etc) no desenvolvemento dunha xestión sostible de especies invasoras. Ademais, preséntanse algúns resultados preliminares dun estudo das percepcións sociais sobre plantas invasoras en Galiza
Estimación dos custos das operacións de extinción de incendios forestais
Revista galega de economía: Publicación Interdisciplinar da Facultade de Ciencias Económicas e Empresariais, 2014

Patterns of low birth weight in greater Mexico City: A Bayesian spatio-temporal analysis
Applied Geography, 2021
Abstract There is strong evidence that low birth weight (LBW) has a negative impact on infants... more Abstract There is strong evidence that low birth weight (LBW) has a negative impact on infants' health. Children with LBW are more vulnerable to having disabilities. There are many studies on LBW, but only a small proportion has examined local geographical patterns in LBW and its determinants. LBW is a particular health concern in Mexico. The study aims to: (i) model the change in the LBW risk at the municipality level in Greater Mexico City, identifying municipalities with highest and lowest LBW risk; and (ii) explore the role of some socioeconomic and demographic risk factors in explaining LBW variations. We propose a Bayesian spatio-temporal analysis to control for space-time patterning of the data and for maternal age and prenatal care, both found to be important LBW determinants. Most of the high-risk municipalities are in the south-west and west of Greater Mexico City; and although for many of these municipalities the trend is stable, some present an increasing LBW risk over time. The results also identify those with medium-risk and with an increasing trend. These findings can support decision-makers in geographical targeting efforts to address spatial health inequalities, they may also facilitate a more proactive and cost-efficient approach to reduce LBW risk.
Valoración económica del ecosistema forestal
International Journal of Wildland Fire, 2019
Research to date has not examined how the impacts of arrests manifest across space and time in en... more Research to date has not examined how the impacts of arrests manifest across space and time in environmental crimes. We evaluate whether arrests reduce or merely spatiotemporally displace intentional illegal outdoor firesetting. Using municipality-level daily wildfire count data from Galicia, Spain, from 1999 to 2014, we develop daily spatiotemporal ignition count models of agricultural, non-agricultural and total intentional illegal wildfires as functions of spatiotemporally lagged arrests, the election cycle, seasonal and day indicators, meteorological factors and socioeconomic variables. We find evidence that arrests reduce future intentional illegal fires across space in subsequent time periods.

Marine Policy, 2019
Several initiatives have been taken worldwide to promote international coordination and 13 integr... more Several initiatives have been taken worldwide to promote international coordination and 13 integrated approach in marine management. At the European level, ten years after the 14 adoption of the Marine Strategy Framework Directive (MSFD), the Member State strategies 15 still present some ecological, economic and social challenges. This review identifies the 16 minor, intermediate and major impediments (respectively defined as 'bottlenecks, 17 showstoppers and train-wrecks') to marine management, resulting from a 4-year analysis of 18 national, regional and European reports. Most of the problems are linked to the resistance of 19 countries to collaborate and to the inability to integrate the work already carried out under 20 other pieces of legislation. The European countries will need to better integrate and coordinate 21 their actions in marine management in the second cycle of the MSFD, in order to achieve its 22 final goal of Good Environmental Status as well as the objectives of other environmental 23 policies.

Ocean & Coastal Management, 2018
Coastal countries have historically implemented management measures to improve the status of thei... more Coastal countries have historically implemented management measures to improve the status of their national marine waters and little effort has been made to take coordinated actions to improve the status of the entire region or sub-region of which they are part. At the European level, the adoption of the Marine Strategy Framework Directive (MSFD) aims to remedy this deficiency and to promote coordination among countries and an integrated management of the marine environment. The MSFD requires each country to propose and adopt a programme of measures to achieve Good Environmental Status of the regional seas. This study compares the programmes of measures of the three countries of the Bay of Biscay and Iberian coast sub-region Ð France, Portugal and Spain Ð presenting a novel use of multivariate analyses using semi-quantitative policy information. Among the four NorthEast Atlantic sub-regions, this study area was chosen because it showed the lowest levels of coherence during the first phase of the implementation of the MSFD, according to the European Commission assessment. The results show the differences among the three programmes, confirming the difficulties that neighbouring countries face when they are required to adopt common approaches in the implementation of this multi-sectoral Directive. Most of the measures developed in the sub-region address marine biodiversity but this is through a wide 2 range of actions, covering different pressures and different species/habitats. The integration with other legislation is more similar between Spain and France and differs between these and Portugal. The three countries also recognise the lack of knowledge to perform the economic analysis, in particular in quantifying the costs of and social benefits derived from their measures. It is concluded here that a better use of the regional and European coordination structures is needed to fill the gaps in knowledge and to exchange good practices. More political will is necessary to take action at European and international level to mitigate the impact of those socioeconomic activities through joint programmes, for which Community funding is available.

Marine Policy, 2017
New multi-sectoral policies with a regional implementation are developed when maritime states rec... more New multi-sectoral policies with a regional implementation are developed when maritime states recognise the importance of managing the marine environment under an ecosystem-perspective rather than a use-perspective. In Europe, the Marine Strategy Framework Directive (MSFD) is the first attempt to promote an integrated management of the seas from the coastline to the limit of the Exclusive Economic Zone. This paper shows that, nine years from the MSFD adoption, there remain several ecological, economic, social and governance challenges. Using information gathered in a dedicated survey of the European Union Marine Strategy Coordination Group and in the recent literature the paper identifies the obstacles preventing a successful regional cooperation and policy integration. The survey indicates that the MSFD coordination structures are, in general, well-developed but there is an apparent lack of political will to coordinate actions at the regional level. Member States request greater flexibility to implement the Directive but they put their national interests before the benefit of a coherent and integrated approach for the entire region. Differences in budget, economic sector predominance, lack of staff and the MSFD short timescale are identified as the factors that can hamper cooperation. These have produced recommendations of possible strategies for optimising regional coordination structures which respect the subsidiarity principle underpinning the MSFD.
Energy Research & Social Science, 2018

Forests, 2018
Plantations with alien forest species could be a major way for invasive plant and animal species ... more Plantations with alien forest species could be a major way for invasive plant and animal species to become introduced and naturally established in a territory, but the sensitivity of plantations with native forest species to invasive plant and animal species is still unknown. This paper studies the probability of the presence and the richness of invasive species of three different taxa (plants, birds, and mammals) in pine forests of southwestern Europe. To do so, the relative contribution from natural and planted forests is analysed to explain the presence and the richness of invasive species in 3950 cells (10 km × 10 km) covering Spain after controlling for the possible effects of variables related to geography, climate, land use, landscape, and human pressure on the environment. Our results show that man's influence on the establishment of invasive species is notable. However, those forests that are the most intensely managed by man, such as pine plantations with native species, seem less susceptible to the establishment and propagation of invasive species. Reasons may be found in those planted pine forests being closely monitored, controlled, and managed by man. Therefore, it is argued that efforts related to the early warning systems of invasive species should be focused on natural pine forests.
Ecological Economics, 2014
This is the author's version of a work that was accepted for publication in Ecological Economics.... more This is the author's version of a work that was accepted for publication in Ecological Economics. Changes resulting from the publishing process, such as peer review, editing, corrections, structural formatting, and other quality control mechanisms may not be reflected in this document. Changes may have been made to this work since it was submitted for publication. A definitive version was subsequently published in Ecological Economics, Volume 105 (2014)
Policies for the management of landscape diversity
bioecon-network.org
... by Julia Touza-Montero and Charles Perrings2 ... In addition, we thank Ricardo Álvarez, Bego... more ... by Julia Touza-Montero and Charles Perrings2 ... In addition, we thank Ricardo Álvarez, Begona Besteiro, Rocio Conde, Riccardo Scarpa, Jim Smart, Carmen Somouza and professional foresters in Forest ... Thus, during the last few decades an increasing number of communities ...

Forest Ecology and Management, 2016
Wildland-urban interfaces (WUIs) are areas where urban settlements and wildland vegetation interm... more Wildland-urban interfaces (WUIs) are areas where urban settlements and wildland vegetation intermingle, making the interaction between human activities and wildlife especially intense. Their relevance is increasing worldwide as they are expanding and are associated with fire risk. The WUI may affect the fire risk associated with the type of vegetation (land cover/land use; LULC), a well-known risk factor, due to differences in the type and intensity of human activities in different LULCs within and outside WUIs. No previous studies analyze this interaction between the effects of the WUI and the LULC, despite its importance for understanding the patterns of fire risk, an essential prerequisite to undertake management decisions that can influence fire regimes. The aim of this study is to assess the effect of the WUI on fire ignition risk and the area burned, and the interaction between its effect and that of the LULC. We used a database of 26,838 wildfires recorded in 2006-2011 in NW Spain and compared fire patterns in relation to WUI and LULC with a random model, using a Montecarlo approach. There was a clear effect of the WUI on the risk of both fire ignition and spread (higher ignition risk but lower risk of spread in WUIs). The risk of fire was also affected by LULC and, interestingly, the pattern among LULCs differed between WUI and non-WUI areas. This interaction WUI x LULC was particularly important for forestry plantations, which showed the highest increase in ignition risk in WUI compared to non-WUI areas. Native forests and agricultural areas had the lowest ignition risk. Agricultural areas showed the smallest difference in fire size between WUI and non-WUI areas, while shrublands showed much larger fires outside WUIs. Deliberate fires were larger in general than those with other causes, especially outside the WUI. The differences found between LULCs in fire risk, both in WUI and non-WUI areas, have interesting implications for fire management. Promotion of land covers with low fire risk 3 should be considered as a low cost alternative to the usual fire prevention measures based on fuel load reduction, which require the continuous clearing of vegetation. In this regard, the low fire risk in native forests should be taken into account. Native forests naturally colonize many areas in the study region and require low or no management, in contrast with agricultural areas, also with low fire risk but requiring continuous management in order to avoid colonization by natural vegetation.
Revista Galega de Economía, 2015
Os incendios forestais producidos en Galicia, na meirande parte dos casos intencionadamente, arra... more Os incendios forestais producidos en Galicia, na meirande parte dos casos intencionadamente, arrasan miles de hectáreas de superficie forestal cada ano. Neste traballo realizamos un estudo descritivo dos incendios rexistrados durante o período 1999-2008 no Distrito XV-A Limia, así como unha estimación económica dos custos derivados das operacións de extinción. Para isto empregamos os partes de incendio dos 6.383 incendios forestais ocorridos neste distrito, e deseñamos dous escenarios de valoración para a estimación do valor dos medios humanos e materiais empregados nos lumes do distrito. As nosas estima-cións amosan un custo anual medio de extinción por hectárea de superficie forestal que varía entre os 5,3 euros e os 6,4 euros.

Ecological Economics, 2017
The European Union (EU) faces a double crisis: both economic and environmental, which has brought... more The European Union (EU) faces a double crisis: both economic and environmental, which has brought into stark relief the question of whether climate change mitigation and economic growth are mutually exclusive. Is saving the environment a 'luxury' reserved for wealthy countries, with less affluent countries being too poor to be green? We seek to address this important and timely question using fuzzy-set Qualitative Comparative Analysis (fsQCA) to analyse the causal relationship between economic growth and stability, and the expansion of renewable electricity shares among the European Union's (EU) 28 member states during the recent economic recession (2008)(2009)(2010)(2011)(2012)(2013). Our paper, analyses the recent economic and financial crisis and its effects on sustainability transitions, and establishes a new indicator for progress in renewable electricity transitions in the context of Europe's 2020 targets. It therefore extends the 'sustainability as a luxury' debate to include renewable energy. The analysis reveals an ambivalent picture of the role of wealth in renewable energy transitions (RET) in Europe. Indeed, driven by the EU's common renewable energy targets, the findings suggest that RETs are promoted both because, and in spite of the means.

Sustainability, 2021
This article proposes a historical, multispecies, and ontological approach to human–wildlife conf... more This article proposes a historical, multispecies, and ontological approach to human–wildlife conflict (HWC) in the Colombian páramos. Focusing on the páramos surrounding the capital city of Bogotá, we reconstruct the historically changing relationship between cattle-farming campesino communities and the Andean bear, Tremarctos ornatus. Using ethnographic and historical research methods, we conceptualise this relationship as embedded in localised landscapes and multispecies assemblages, in which scientists, conservation practitioners, water infrastructures, public environmental agencies, and cows participate as well. This article demonstrates that insufficient attention to the practices and relationships of historically marginalised humans and non-humans in the management of HWCs contributes to new dynamics of exclusion and friction, and can reduce the effectiveness of conservation programmes. We conclude that opening up conservation to the interests and knowledges of local communiti...

Exposure and Health, 2019
The majority of studies on environmental justice show that groups with lower socioeconomic status... more The majority of studies on environmental justice show that groups with lower socioeconomic status are more likely to face higher levels of air pollution. Most of these studies have assumed simple, linear associations between pollution and deprived groups. However, empirical evidence suggests that health impacts are greater at high-pollution concentrations. In this paper, we investigate the associations of extreme levels of particulate matter up to 10 micrometres in size (PM 10) and ozone with deprived conditions, children and elderly people at sub-municipal level in Mexico City, using Áreas Geoestadisticas Básicas (AGEBs) as the unit of analysis. We used spatial quantile regression to analyse the association for each quantile of the range of pollution values, while also addressing spatial autocorrelation issues. Across AGEBs, higher levels of PM 10 are significantly positively associated with deprived economic conditions and elderly people. These results demonstrate clear variations in the associations between PM 10 and vulnerable groups across the ranges of these pollutants. Ozone levels are positively associated with higher numbers of children. The findings reflect differences in the source and degradation of these pollutants and provide important evidence for decision-makers addressing air pollution inequalities and injustice in Mexico City and other cities.
Uploads
Papers by Julia Touza-Montero