Papers by Katherine Grillo
Antiquity, 2022
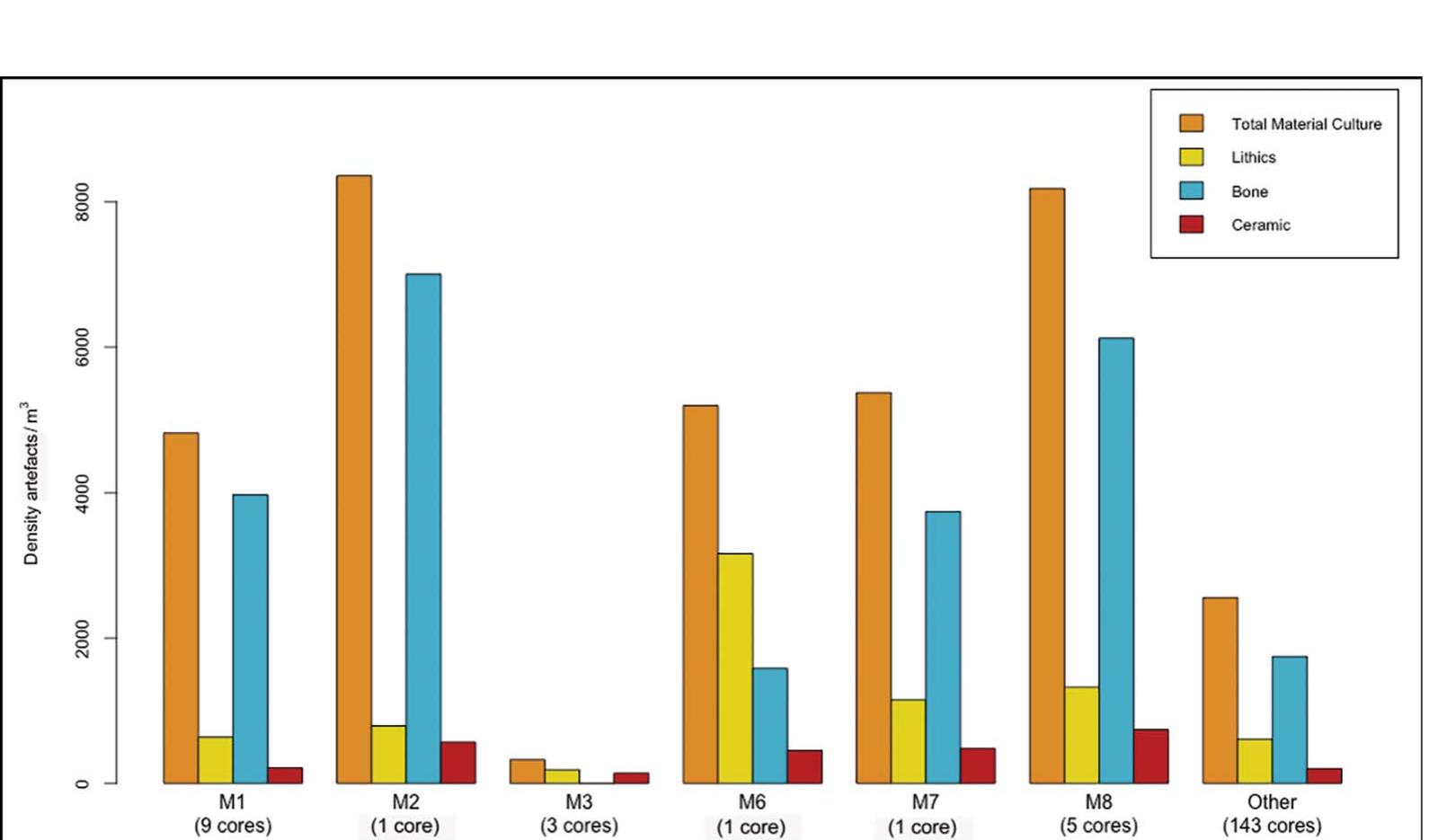
The megalithic pillar sites found around Lake Turkana, Kenya, are monumental cemeteries built app... more The megalithic pillar sites found around Lake Turkana, Kenya, are monumental cemeteries built approximately 5000 years ago. Their construction coincides with the spread of pastoralism into the region during a period of profound climate change. Early work at the Jarigole pillar site suggested that these places were secondary burial grounds. Subsequent excavations at other pillar sites, however, have revealed planned mortuary cavities for predominantly primary burials, challenging the idea that all pillar sites belonged to a single 'Jarigole mortuary tradition'. Here, the authors report new findings from the Jarigole site that resolve long-standing questions about eastern Africa's earliest monuments and provide insight into the social lives, and deaths, of the region's first pastoralists.

The Holocene, 2022
This paper evaluates risk-oriented frameworks for explaining environmental, social, and economic ... more This paper evaluates risk-oriented frameworks for explaining environmental, social, and economic changes faced by fishing and herding communities in the Turkana Basin during and after the African Humid Period (AHP, 15-5 ka). The orbitally-forced AHP created moist conditions, high lake levels, and unusual hydrological connections across much of northern and eastern Africa. As arid conditions set in and rainfall decreased between 5.3 and 3.9 ka in eastern Africa, Lake Turkana (NW Kenya) shrank dramatically. Shoreline retreat coincided with an expansion of open plains, creating new ecological conditions and potential opportunities for early herders in the basin. In this changing landscape, economies shifted from food procurement (fishing/ hunting aquatic resources) to food production (herding), likely through both in-migration by pastoralists and adoption of herding by local fishers. Early pastoralists also built at least seven megalithic pillar sites that served as communal cemeteries during this time. Recent research has shown that local environmental dynamics-both during and after the AHP-were complex, demanding a more careful interrogation of the notion that post-AHP life entailed new and/or heightened risks. Risk-buffering strategies might include mobility, diversification, physical storage, and exchange. Archaeologists working around Lake Turkana have proposed that economic shifts from fishing to pastoralism entailed increased mobility as a risk-buffering strategy to deal with aridity and resource unpredictability, and that pillar sites-as fixed landmarks in an unstable landscape-provided settings for congregation and exchange amongst increasingly mobile herding communities. However, recent research has shown that local environmental dynamics in the Lake Turkana basin-both during and after the AHP-were more complex than previously thought, necessitating re-evaluation of the notion that post-AHP life entailed new and/or heightened risks. Here, we explore risk buffering strategies (e.g. mobility, diversification, physical storage and/or exchange) as only one category of potential explanation for the new social practices observed in the region at this time. Gauging their applicability requires us to (a) assess the spatial mobility of communities and individuals interred at pillar sites; (b) evaluate whether and how mobility strategies may have changed as pastoralism supplanted fishing; and (c) examine alternative explanations for social and economic changes.

Megaliths of the World (eds. Laporte, Large, Nespoulous, Scarre, Steimer-Herbet), 2022
In northwestern Kenya, at least seven megalithic monumental sites lie near the palaeoshores of La... more In northwestern Kenya, at least seven megalithic monumental sites lie near the palaeoshores of Lake Turkana. 'Pillar sites', as they are called by archaeologists, are distinguished by columnar basalt of up to m in height, or smaller sandstone pieces, set in constructed platforms of up to m in diameter. Some sites have additional cairns and stone circles. Recent research by the Later Prehistory of West Turkana (LPWT) research team has clarified the chronology of and contexts for the creation of the pillar sites. Pillar site construction and use began ca. - years ago when the first pastoralists in eastern Africa arrived in northwest Kenya, a landscape already home to hunter/gatherer/fisher communities. At this time, Lake Turkana was shrinking dramatically as the African Humid Period came to an end. Most of the pillar sites served as cemeteries: excavations at Lothagam North pillar site, for example, have revealed a mortuary cavity of more than m containing an estimated minimum of 8 burials. In this chapter, we synthesize research on all known pillar sites around Lake Turkana, with special attention to the sites that the LPWT team has studied on the western side of the lake. We explore the implications of new dates for longstanding debates about the possible archaeoastronomical significance of the sites and renew discussion about the pillars themselves. We review the location of pillar sources, the transport necessary to move them from source to installation, and the implications of their spatial distribution within the sites. We also review possible regional antecedents to and descendents of this tradition and observe that megalithism in northwest Kenya was an isolated phenomenon in both time and space. Why did ancient pastoralists construct these sites? We have previously argued that building the pillar sites may have served to create socially symbolic, fixed landmarks for herders in a dynamic physical landscape. Processes of construction and use may likewise have helped to solidify social networks at a time of dramatic environmental and social change. We also discuss other possibilities, and emphasize that interpretations of monumentality within mobile pastoralist societies must depend on contextualizing local and regional data rather than on recycling models developed elsewhere for settled agriculturalist peoples.
Antiquity, 2022
Common assumptions about the ephemeral archaeological signature of pastoralist settlements have l... more Common assumptions about the ephemeral archaeological signature of pastoralist settlements have limited the application of geophysical techniques in the investigation of past herding societies. Here, the authors present a geophysical survey of Luxmanda, Tanzania, the largest-known settlement documented for the Pastoral Neolithic era in eastern Africa (c. 5000-1200 BP). The results demonstrate the value and potential of fluxgate gradiometry for the identification of magnetic anomalies relating to archaeological features, at a category of site where evidence for habitation was long thought to be undetectable. The study provides comparative data to enable archaeologists to identify loci for future investigations of mobile populations in eastern Africa and elsewhere.
Antiquity, 2021
The initial spread of food production in eastern Africa is associated with livestock herding duri... more The initial spread of food production in eastern Africa is associated with livestock herding during the Pastoral Neolithic. Recent excavation at Luxmanda, Tanzania, a site dating to c. 3000 BP, revealed circular installations of lower grinding stones and numerous handstones. This discovery, unprecedented for this era, challenges previous ideas about pastoralist mobility and subsistence.

Quaternary International, 2020
“Nderit Ware,” a type of pottery famous in eastern Africa for its remarkably intricate basket-lik... more “Nderit Ware,” a type of pottery famous in eastern Africa for its remarkably intricate basket-like bowls, is associated with evidence for the region’s earliest pastoralism during a time period known as the Pastoral Neolithic (PN, c. 5000-1200 cal BP). This paper reviews the changing ways archaeologists have conceptualized “Nderit” pottery over the past eighty years. The “Nderit” ware type was defined in relation to initial finds in central Kenya, decades before archaeologists discovered Nderit had greater antiquity as a technology/artistic tradition in northwest Kenya’s Turkana Basin. Ceramic assemblages from pillar sites surrounding Lake Turkana – including Lothagam North (GeJi9) and Jarigole (GbJj1) – reveal a more variable and complex history of ceramic production and use than previously recognized. Nderit’s first known production and use is associated with the region’s earliest food producers, mobile pastoralists establishing themselves around a dramatically shrinking Lake Turkana. These findings carry important implications for reconstructing the cultural history and material lives of early herding groups moving within and beyond the Turkana Basin, and expand our frame of reference for understanding the origins of pottery production by mobile, small-scale groups worldwide.

Proceedings of the National Academy of Sciences (PNAS), 2020
The development of pastoralism transformed human diets and societies in grasslands worldwide. The... more The development of pastoralism transformed human diets and societies in grasslands worldwide. The long-term success of cattle herding in Africa has been sustained by dynamic food systems, consumption of a broad range of primary and secondary livestock products, and the evolution of lactase persistence (LP), which allows digestion of lactose into adulthood and enables the milk-based, high-protein, low-calorie diets characteristic of contemporary pastoralists. Despite the presence of multiple alleles associated with LP in ancient and present-day eastern African populations, the contexts for selection for LP and the long-term development of pastoralist foodways in this region remain unclear. Pastoral Neo-lithic (c. 5000 to 1200 BP) faunas indicate that herders relied on cattle, sheep, and goats and some hunting, but direct information on milk consumption, plant use, and broader culinary patterns is rare. Combined chemical and isotopic analysis of ceramic sherds (n = 125) from Pastoral Neolithic archaeological contexts in Kenya and Tanzania, using compound-specific δ 13 C and Δ 13 C values of the major fatty acids, provides chemical evidence for milk, meat, and plant processing by ancient herding societies in eastern Africa. These data provide the earliest direct evidence for milk product consumption and reveal a history of reliance on animal products and other nutrients, likely extracted through soups or stews, and plant foods. They document a 5,000-y temporal framework for eastern Africa pastoralist cuisines and cultural contexts for selection for alleles distinctive of LP in eastern Africa. archaeology | ceramics | lipid residue analysis | pastoralism | lactase persistence

Archaeological and Anthropological Sciences, 2019
Early herders in eastern Africa built elaborate megalithic cemeteries ~ 5000 BP overlooking what ... more Early herders in eastern Africa built elaborate megalithic cemeteries ~ 5000 BP overlooking what is now Lake Turkana in northwestern Kenya. At least six 'pillar sites' were constructed during a time of rapid change: cattle, sheep, and goats were introduced to the basin as the lake was shrinking at the end of the African Humid Period. Cultural changes at this time include new lithic and ceramic technologies and the earliest monumentality in eastern Africa. Isolated human remains previously excavated from pillar sites east of Lake Turkana seemed to indicate that pillar site platforms were ossuaries for secondary burials. Recent bioarchaeological excavations at four pillar sites west of the lake have now yielded ≥49 individuals, most from primary and some from secondary interments, challenging earlier interpretations. Here we describe the mortuary cavities, and burial contexts, and included items such as adornments from Lothagam North, Lothagam West, Manemanya, and Kalokol pillar sites. In doing so, we reassess previous hypotheses regarding pillar site construction, use, and inter-site variability. We also present the first osteological analyses of skeletons buried at these sites. Although the human remains are fragmentary, they are nevertheless informative about the sex, age, and body size of the deceased and give evidence for health and disease processes. Periosteal moulds of long bone midshafts (n = 34 elements) suggest patterns of terrestrial mobility. Pillar site deposits provide important new insights into early herder lifeways in eastern Africa and the impact of the transition to pastoralism on past human populations.

Public Archaeology's Mammoth in the Room: Engaging Wikipedia as a Tool for Teaching and Outreach
Advances in Archaeological Practice, 2019
Although archaeology has become increasingly concerned with engaging diverse publics, and has emb... more Although archaeology has become increasingly concerned with engaging diverse publics, and has embraced the internet as a means of facilitating such engagement, attitudes towards Wikipedia have—understandably—been more ambivalent. Nevertheless, we argue here, Wikipedia's popularity and reach mean that archaeologists should actively engage with the website by adding and improving archaeological content. One way to do this is in the classroom: this paper provides a detailed how-to for instructors interested in having students create new Wikipedia content. We provide a case study in Wikipedia engagement from an advanced undergraduate course on African Archaeology, assess a program (Wiki Education) designed to help, and suggest further avenues for future outreach. We conclude that Wikipedia's utopian mission aligns with many of the goals of public archaeology, and argue that archaeology has much to gain by engaging with—rather than ignoring or even shunning—Wikipedia.

Archaeological Research in Asia, 2019
Recent archaeological research in the Murghab region of modern Turkmenistan has highlighted the v... more Recent archaeological research in the Murghab region of modern Turkmenistan has highlighted the variable interweaving of material, technological, and social traditions between sedentary farmers and mobile pastoralists during the late 3rd through first half of the 2nd millennium BCE. This research has also made apparent significant gaps in collective scientific knowledge, particularly in relation to the materials and habits of mobile pastoralists. In this paper, we address the lack of a basic quantitative and qualitative description of mobile pastoralist ceramics for the prehistoric Murghab by presenting the results of a multi-faceted ceramic analysis for the occupation at Ojakly. Results demonstrate a greater degree of variability in form, function, and style of handmade coarseware than expected, calling into question the characterization of "nomadic jars" as a uniform type of material culture, and further emphasizing the plurality of mobile pastoralist strategies and behaviors in this key region.

Large-scale reconstructions of the spread of food production systems require fine-scale analyses ... more Large-scale reconstructions of the spread of food production systems require fine-scale analyses of dietary evidence. One current impediment to understanding early African pastoralism is a lack of high-resolution portraits of herd management, specifically with respect to sheep (Ovis aries) and goat (Capra hircus), osteologically similar but behaviorally distinct caprines. In this study, we argue for the anthropological relevance of distinguishing sheep and goat remains in African pastoralist contexts, commenting upon implications for ecological settings and pastoralists' strategies for production and risk management. We explain why sheep/ goat distinction is rare in African zooarchaeological studies, particularly in comparison to Southwest Asia. We then apply three methods to distinguish caprines in an archaeofaunal sample from the Pastoral Neolithic site of Luxmanda, Tanzania, dated to c. 3000 BP: morphological identifications by two independent analysts, collagen-peptide mass fingerprinting (Zooarchaeology by Mass Spectrometry, ZooMS), and carbon stable isotope analyses. A comparative assessment of the results demonstrates the ability of biomolecular methods to improve resolution of faunal records, particularly where preservation is poor. We call for wider application of these methods to legacy collections, in order to refine existing regional models for the spread of herding in Africa, and to better understand ancient pastoralists' herd-management decisions.

Proceedings of the National Academy of Sciences, 2018
Monumental architecture is a prime indicator of social complexity, because it requires many peopl... more Monumental architecture is a prime indicator of social complexity, because it requires many people to build a conspicuous structure commemorating shared beliefs. Examining monumentality in differ- ent environmental and economic settings can reveal diverse reasons for people to form larger social units and express unity through architectural display. In multiple areas of Africa, monumentality developed as mobile herders created large cemeteries and practiced other forms of commemoration. The motives for such behavior in sparsely populated, unpredictable landscapes may differ from well- studied cases of monumentality in predictable environments with sedentary populations. Here we report excavations and ground- penetrating radar surveys at the earliest and most massive monu- mental site in eastern Africa. Lothagam North Pillar Site was a communal cemetery near Lake Turkana (northwest Kenya) con- structed 5,000 years ago by eastern Africa’s earliest pastoralists. Inside a platform ringed by boulders, a 119.5-m2 mortuary cavity accommo- dated an estimated minimum of 580 individuals. People of diverse ages and both sexes were buried, and ornaments accompanied most individuals. There is no evidence for social stratification. The uncer- tainties of living on a “moving frontier” of early herding—exacer- bated by dramatic environmental shifts—may have spurred people to strengthen social networks that could provide information and assistance. Lothagam North Pillar Site would have served as both an arena for interaction and a tangible reminder of shared identity.

Cemeteries on a moving frontier: Mortuary practices and the spread of pastoralism from the Sahara into eastern Africa
Journal of Anthropological Archaeology, 2018
Today, pastoral systems in eastern Africa are supported by elaborate social networks that minimiz... more Today, pastoral systems in eastern Africa are supported by elaborate social networks that minimize risk and facilitate the movement of people, animals, and resources across unpredictable, semi-arid landscapes. Although similar structures must have existed in the past, investigations into early herders’ social lives remain underdeveloped. The African archaeological record is exceptional in that monumental burial grounds are a hallmark of early pastoral lifeways as they spread from the Sahara through eastern Africa ∼8000–2000 BP. We review archaeological evidence for pastoralist cemeteries in these regions to ask what role(s) burial grounds played in the transmission of mobile food production. To do so, we invoke a ‘moving frontier’ framework in which social and economic strategies fluctuate during the initial spread of food production, then become more rigid after land use and relationships stabilize on a ‘static frontier.’ Ethnographically-documented mortuary practices among recent eastern African pastoralists provide a model for a static frontier, and reveal emic motivations that could not be drawn from archaeological data alone. Although cemeteries are rare in the ethnographic record, archaeological and ethnohistoric practices form a long gradient of mortuary behaviours that fluctuate in response to changing conditions, and help establish and reify social networks among herders facing instability.

Journal of Archaeological Method and Theory, 2018
Organic residue analyses of archaeological ceramics can provide important insights into ancient f... more Organic residue analyses of archaeological ceramics can provide important insights into ancient foodways. To date, however, there has been little critical reflection on how lipid residues might (or might not) reflect dietary practices or subsistence strategies more generally. A combination of ethnoarchaeological research and chemical and isotopic analyses of lipid residues from pottery made and used by modern Samburu pastoralists in northern Kenya was undertaken to supplement the interpretive framework used in archaeological investigations. A total of 63 potsherds were collected from various contexts, including settlement sites and rockshelters, and analysed using gas chromatography (GC), gas chromatography-mass spectrometry (GC-MS) and gas chromatography-combustion-isotope ratio mass spectrometry (GC-C-IRMS). The results showed that the free fatty acids, palmitic (C 16:0) and stearic (C 18:0), dominated the lipid profiles, with extremely broad ranges of δ 13 C values. The majority of the Δ 13 C values from Samburu pots suggest that vessels were intensively used to process ruminant carcass products, yet the Samburu economy is not, in fact, meat-based at all. Despite an overall reliance on dairy products, milk is rarely processed in ceramic vessels, largely due to cultural prohibitions. Surprisingly, a number of vessels from one site, Naiborkeju Hill, were used to process dairy products. Compound-specific radio-carbon dating of lipids from these sherds suggests that this pottery originated from an earlier period, demonstrating a possible shift in ceramic use by pastoralist communities in this region over time. The overall conclusion is that lipid residues may not necessarily reflect, in a simple way, the day-to-day consumption or the perceived relative importance of different foodstuffs. In the Samburu case, lipid residues reflect the functional and ideological suitability of ceramics for processing only certain types of food (meat/fat/bones), despite an overall reliance on milk. These conclusions are important when considering the origins and development of African pastoralism, for example, as interpreted from the archaeological record.

Journal of Field Archaeology, 2018
The later Holocene spread of pastoralism throughout eastern Africa profoundly changed socioeconom... more The later Holocene spread of pastoralism throughout eastern Africa profoundly changed socioeconomic and natural landscapes. During the Pastoral Neolithic (ca. 5000–1200 B.P.), herders spread through southern Kenya and northern Tanzania — areas previously occupied only by huntergatherers — eventually developing the specialized forms of pastoralism that remain vital in this region today. Research on ancient pastoralism has been primarily restricted to rockshelters and special purpose sites. This paper presents results of surveys and excavations at Luxmanda, an openair habitation site located farther south in Tanzania, and occupied many centuries earlier, than previously expected based upon prior models for the spread of herding. Technological and subsistence patterns demonstrate ties to northerly sites, suggesting that Luxmanda formed part of a network of early herders. The site is thus unlikely to stand alone, and further surveys are recommended to better understand the spread of herding into the region, and ultimately to southern Africa.

Hard animal materials were key components of prehistoric daily life, with many such raw materials... more Hard animal materials were key components of prehistoric daily life, with many such raw materials shaped into diverse tool types and personal ornaments. With few exceptions , outside of the far south and north of Africa, osseous artefacts have been largely understudied on the continent, with this situation particularly applying to pastoralist contexts. Well-documented worked bone, ivory, or ostrich eggshell (OES) assemblages tend to be associated with hunter-gatherers and are generally interpreted with reference to contemporary hunter-gatherer toolkits. Study of osseous and OES technologies used by ancient or modern pastoralist populations , on the other hand, remains in its infancy. In this paper, we present an analysis of 14 worked bone, ivory, and OES artefacts from the Pastoral Neolithic site of Luxmanda located in north-central Tanzania. We apply technological trace analysis to understand histories of manufacture, use, and discard and compare our findings against the corpus of osseous and eggshell technologies recovered from terminal Pleistocene through Holocene sites of eastern Africa, providing a synthesis of this region for the first time. Finally, we explore the limited record for comparable technologies in recent pastoralist communities and argue that forager/food producer distinctions based on organic technologies are neither present nor meaningful based on current evidence.

We assembled genome-wide data from 16 prehistoric Africans. We show that the anciently divergent ... more We assembled genome-wide data from 16 prehistoric Africans. We show that the anciently divergent lineage that comprises the primary ancestry of the southern African San had a wider distribution in the past, contributing approximately two-thirds of the ancestry of Malawi hunter-gatherers 8,100–
2,500 years ago and approximately one-third of the ancestry of Tanzanian hunter-gatherers 1,400 years ago. We document how the spread of farmers
from western Africa involved complete replacement of local hunter-gatherers in some regions, and we track the spread of herders by showing that the population of a 3,100-year-old pastoralist from Tanzania contributed ancestry to people from northeastern to southern Africa, including a 1,200-year old southern African pastoralist. The deepest diversifications of African lineages were complex, involving
either repeated gene flow among geographically disparate groups or a lineage more deeply diverging than that of the San contributing more to some western African populations than to others. We finally leverage ancient genomes to document episodes of natural selection in southern African populations.

The Turkana Basin in northern Kenya is located in an environmentally sensitive region along the e... more The Turkana Basin in northern Kenya is located in an environmentally sensitive region along the eastern African Rift system. Lake Turkana's sensitivity to fluctuations in precipitation makes this an ideal place to study prehistoric human adaptations during key climatic transitions. Here we present eleven radio-carbon dates from two recently excavated sites in West Turkana, Kokito 01 and Kokito 02. The sites span the Pleistocene-Holocene transition, a time of fluctuating lake levels and novel cultural responses within the region. Several scenarios are laid out for the interpretation of site chronologies, and these are discussed with reference to the terminal Pleistocene and early Holocene chronological record for the region. Given the paucity of well-dated sites from this timespan in the Turkana Basin, the new radiocarbon dates are an important step toward establishing human settlement history and associated cultural developments in the region.

A recent archival research project in the National Museums of Kenya (NMK) identified artifacts an... more A recent archival research project in the National Museums of Kenya (NMK) identified artifacts and human remains associated with the 1980 excavation of stone cairns and habitation areas on the west side of Lake Turkana. The presence of stone grave cairns across eastern Africa is common, but their cultural origins and construction times are enigmatic. This article presents the results of the archival project and contextualizes both the artifacts found and the unpublished research notes within the framework of evolving settlement patterns in eastern Africa during the middle to late Holocene. Despite the presence of numerous decorative features on ceramics and the recovery of many complete lithic tools, the material culture is generally non-diagnostic within existing typo-technological categories. The research indicates that there was tremendous diversity in the material culture of the Turkana Basin during the late Holocene. Résumé Un projet de recherche archivistique récemment mené dans les Musées Nationaux du Kenya (NMK) a permis d'identifier des artefacts et des restes humains associés à la fouille datant de 1980 de cairns et de zones d'habitation sur la côte ouest du lac Turkana. La présence de cairns sépulcraux en pierre dans l'Est de l'Afrique est commune, mais leurs origines culturelles et leurs époques de construction restent énigmatiques. Cet article présente les résultats du projet archivistique et replace à la fois les artefacts découverts et les notes de recherche inédites dans le cadre de l'évolution des modes de peuplement en Afrique orientale du milieu à la fin de l'Holocène. Malgré la présence de nombreux éléments décoratifs sur la céramique et la découverte d'abondants outils lithiques complets, la culture matérielle est généralement indifférenciée dans les catégories de typo-technologiques existantes. La recherche indique qu'il y a eu une très grande diversité dans la culture matérielle du bassin du lac Turkana au cours de l'Holocène tardif.
Azania: Archaeological Research in Africa, Dec 2015
Ceramics are an essential part of the Holocene archaeology of eastern Africa and the development ... more Ceramics are an essential part of the Holocene archaeology of eastern Africa and the development of increasingly complex typologies has rightly played a key role in our understanding of chronology and social identity. However, this focus on taxonomies can also be restrictive, as we lose sight of the communities who made and used the ceramics in our endless search to classify and re-classify ceramics. Focusing on ceramics from the Great Lakes and Rift Valley (Kansyore, Pastoral Neolithic and Urewe), we critique past approaches to ceramic analysis, and suggest future studies should better recognise their social role. We end with a case study of Kansyore ceramics, emphasising function and use.
Uploads
Papers by Katherine Grillo
2,500 years ago and approximately one-third of the ancestry of Tanzanian hunter-gatherers 1,400 years ago. We document how the spread of farmers
from western Africa involved complete replacement of local hunter-gatherers in some regions, and we track the spread of herders by showing that the population of a 3,100-year-old pastoralist from Tanzania contributed ancestry to people from northeastern to southern Africa, including a 1,200-year old southern African pastoralist. The deepest diversifications of African lineages were complex, involving
either repeated gene flow among geographically disparate groups or a lineage more deeply diverging than that of the San contributing more to some western African populations than to others. We finally leverage ancient genomes to document episodes of natural selection in southern African populations.