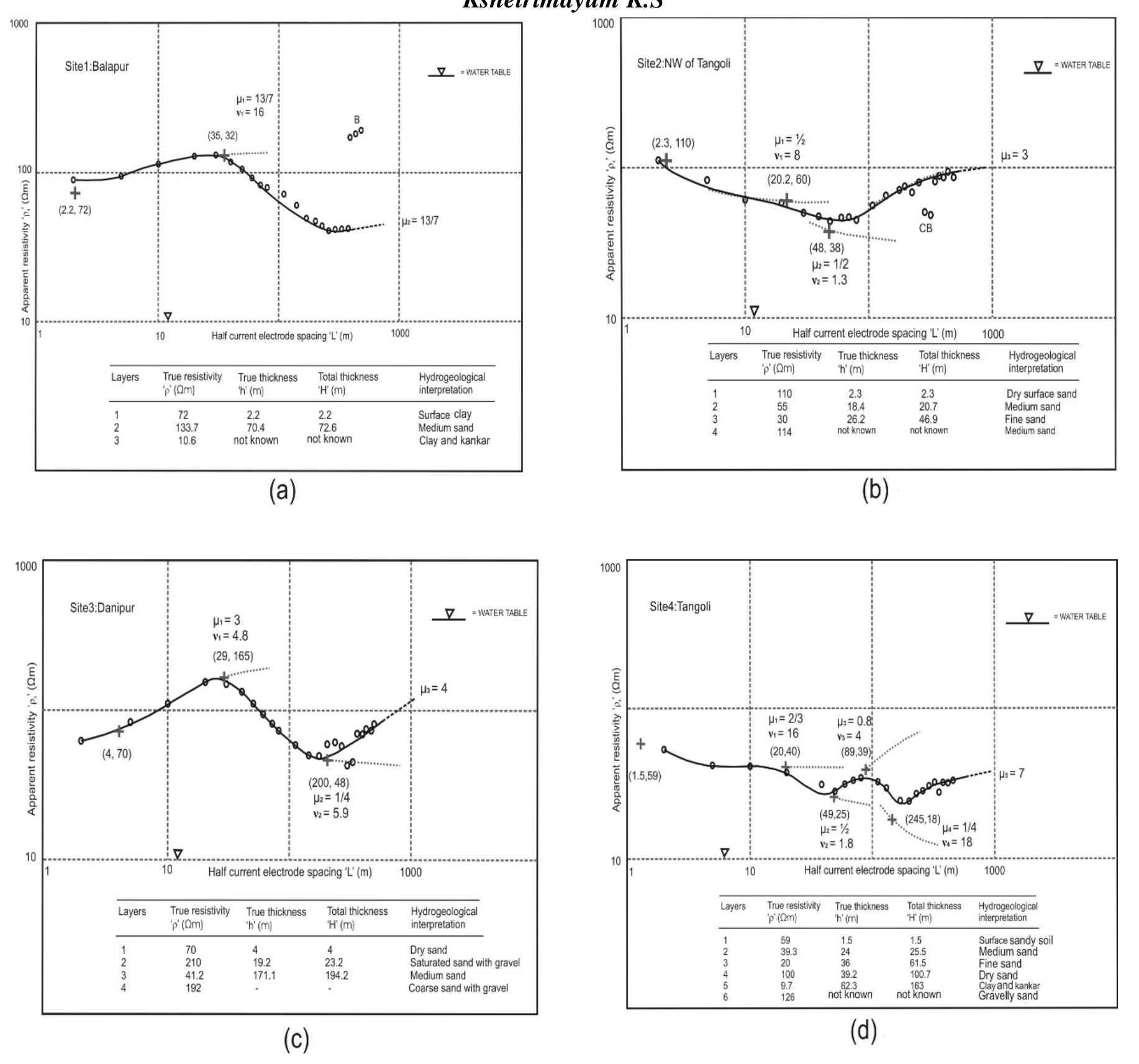
Krishnakanta Kshetrimayum - Assam University