Papers by Maria Eugenia E Grillet

Journal of medical …, Jan 1, 2005
We studied the aquatic mosquito habitats in and around enzootic foci of Venezuelan Equine Encepha... more We studied the aquatic mosquito habitats in and around enzootic foci of Venezuelan Equine Encephalitis virus (VEE) in western Venezuela. Specimens were sampled for 5 mo in three types of vegetation: tall lowland tropical forests, short inundated/secondary growth forests, and pastures/herbaceous vegetation around forests. Ground pools, ßooded pastures, swamps, ponds, and canals predominated. We used a multivariate statistical approach to quantitatively assess the relationships of mosquito species with broad categories of the landscape, and with environmental variables within each aquatic habitat. Twenty-four mosquito species in the genera Aedes, Psorophora, Culex, Mansonia, and Uranotaenia were collected. Species richness was higher in the tall forests than in other types of vegetation. Discriminant Function Analysis showed a strong association between landscape category and mosquito species assemblage and identiÞed Culex erraticus Dyar & Knab and Mansonia titillans Walker as indicator species of open areas, and Aedes serratus Theobald as an indicator of tall forests. M. titillans, Uranotaenia geometrica Theobald, Cx. erraticus, and Culex dunni Dyar were associated with unshaded, warm, vegetated waters in ßooded pastures and swamps, whereas Ae. serratus, Aedes fulvus (Wiedemann), Psorophora albipes Theobald, Psorophora ferox (Humboldt), Culex caudelli Dyar & Knab, and Culex pedroi Sirivanakarn & Belkin were associated with small, shaded ground pools within the tall forests. Culex coronator Dyar & Knab was associated with partially exposed sites within short forests. These results allowed us to interpret better our previous studies on mosquito adult spread in the study area and their possible role as VEEV disseminators.
Tricorythodes faeculopsis Belmont, Salles & Hamada, is redescribed and illustrated from all the s... more Tricorythodes faeculopsis Belmont, Salles & Hamada, is redescribed and illustrated from all the stages. The species is firstly recorded from Venezuela. The male and female imago and eggs are here firstly described and new information is provided for nymphs. The species can be recognized by, adult: forewing length 2.9–3.6 mm; vein CuP absent or reduced; forceps segments I and II subequal in length; penes pyramidal, with yellowish margins; nymphs: maxillary palp small, 1-segmented; ratio length/maximum width of femora: ca. 0.3; tarsal claws with 4–10 marginal denticles and 1–2 submarginal denticles; eggs with longitudinal ridges.
As a continuation of a series of papers to improve the knowledge of the Ephemeroptera fauna of th... more As a continuation of a series of papers to improve the knowledge of the Ephemeroptera fauna of the Venezuelan Guayana´s Uplands, an update of the families Leptophlebiidae, Euthyplociidae and Oligoneuriidae in the region is presented. As a result, Paramaka incognita sp. nov. is described, the female of Askola emmerichi is described for the first time, and the genera Askola, Hydrosmilodon and Leentvaaria, the subgenus Miroculis (Atroari) and the species Miroculis (M.) maraui-ae are recorded for the first time for Venezuela
The family Baetidae is still poorly known from Venezuela, particularly in the South of this count... more The family Baetidae is still poorly known from Venezuela, particularly in the South of this country. Three field trips were carried out in La Gran Sabana region (Bolívar State). As a result of these trips, four genera (Cryptonympha, Harpagobaetis, Spiritiops and Zelusia) and nine species are reported for the first time from this region. A discussion of each taxon is included as well as drawings when it is necessary. Keys with all known genera of Baetidae and all known species of Camelobaetidius from Venezuela are included too. With this analysis, the number of the genera and species reported is duplicated improving the knowledge of this family from this country.

We give new geographical and morphological data for the Pannota mayflies of Venezuelan Guayanan u... more We give new geographical and morphological data for the Pannota mayflies of Venezuelan Guayanan uplands. Coryphorus aquilus (Coryphoridae), Amanahyphes saguassu and Tricorythopsis yucupe (Leptohyphidae) are newly recorded for Venezuela, the adults of the last species are described for the first time. Macunahyphes pemonensis sp. nov. and Macunahyphes incognitus sp. nov. (Leptohyphidae) are described from adults from Venezuela and Brazil, respectively. Both new species of Macunahyphes are very nearly related, and are characterized among other features, by the absence of forceps, and the great development of large paired projections on the styliger plate. Caenis teipunensis sp. nov. (Caenidae) is also described from adults, its diagnostic characters include: forceps apically sharp and sclerotized, and very large apophyses of the styliger sclerite. We give new locality records for Tricorythopsis volsellus, previously known from other localities in Venezuela.

by Yuri Kleiner, Veronika Čapská, Shaily Menon, Maria Eugenia E Grillet, Folorunso Oludayo Fasina, Miran Hladnik, Marko Snoj, Marc L Greenberg, Jon Paul Rodríguez, Dimitar Poposki, Piotr Tykarski, and Ada Emmett Knjižnica / Library 58/3 (2014), Nov 2014
Izenačeni pogoji so ključ za globalno udeležbo v znanosti in raziskovanju, posebej glede na to, k... more Izenačeni pogoji so ključ za globalno udeležbo v znanosti in raziskovanju, posebej glede na to, kako so znanstvene publikacije financirane in dostopne. Obstajajo pa potencialne pasti t. i. zlatega modela odprtega dostopa, pri katerem publikacije stroške produkcije in objave zaračunajo avtorjem. Zlati modeli, po katerih se računi izstavljajo avtorjem, ne rešujejo problema dostopnosti, ampak samo prestavijo oviro od bralca k avtorju. Po takih modelih lahko vsakdo prebira razprave, vendar je njihovo objavljanje lahko nedopustno drago. V znanstveni skupnosti, ki je vedno bolj globalna, razširjena čez vse več regij in držav sveta, so te publikacijske ovire lahko zelo moteče.
V debato se s to razpravo vključuje tudi globalna skupina univerzitetnih kolegov. Mreža raziskovalcev dejavnih v akademskem publiciranju, se razteza čez štiri celine in več disciplin znotraj naravoslovja, humanistike in družbenih ved in zavzema različne politične ter ekonomske položaje. Verjamejo, da ta globalni vzorec raziskovalcev lahko predstavi kompleksno problematiko in ponudi perspektive, nujne za njeno obvladovanje. Skupina je bila sestavljena, ne da bi poskušala zajeti ves svet.
Ta prispevek se razlikuje od drugih pristopov k problemu odprtodostopnega publiciranja v več temeljnih točkah. a) Izhaja iz situacije znanstvenikov in tako lahko predstavlja »drugo plat medalje « znanstvene komunikacije. b) Osredinja se na pričevanja, v katerih so znanstveniki svobodno usmerjali svoje odgovore, kot se jim je zdelo primerno, namesto da bi bili omejeni na odgovore tipa da/ne oz. na izbiro odgovorov na lestvici. Morda najbolj pomembno pa je c), da razlikuje med organizacijami, državami in položaji in tako osvetljuje neenake pogoje dostopa med bogatimi državami in državami v nezavidljivi ekonomski situaciji ter tudi znotraj držav, odvisno od velikosti in lokacije konkretnih institucij.

Transactions of The Royal Society of Tropical Medicine and Hygiene, 1998
In preparation for an ivermectin distribution programme, the prevalence and intensity of infectio... more In preparation for an ivermectin distribution programme, the prevalence and intensity of infection due to Onchocerca volvulus as well as the species composition and abundance of Simulium vectors were investigated in 22 Yanomami communities situated along 2 altitudinal transects in the southern Venezuelan onchocerciasis focus.These transects corresponded to the Ocamo-Putaco and Orinoco-Orinoquito river systems, covering a range of elevation between 50 m and 740 m above sea level (asl). A total of 83 1 people underwent parasitological examination in this survey and an additional 196 patients from a previous study, at an altitude of 950 m, were included in the analysis. A total of 92659 man-biting blackflies were collected and identified to morphospecies. S. oyapockense s. 1. was the predominant simuliid up to 150 m asl, whereas S. guianense s.1. and S. incrustatum s.1. prevailed above 150 m. Communities located below 150 m were found to range from hypo-to mesoendemic; all villages above 150 m proved to be hyperendemic (>60% microfilarial prevalence) and mass ivermectin treatment should be implemented. Age above lo-14 years, altitude of the village and biting rate of S. guianense s.1. up to 200 m as1 were found to be statistically significant independent predictors of infection by multivariate logistic regression using a spline model. There were no differences in infection status according to sex. Above 200 m, microfilarial rate and density remained approximately constant, prevalence averaging 79% regardless of blackfly abundance. For the implementation of ivermectin-based onchocerciasis control programmes in the Amazonian focus, altitude and species composition of the blackfly population might be adopted as useful indicators aiding selection of the most affected communities. However, below 200 m additional parasitological indicators may also be necessary. As a direct result of this study, regular mass-ivermectin delivery to meso-and hyperendemic communities is now in progress.

Spatial and Spatio-temporal Epidemiology
Mosquito-borne disease spread might exhibit irregular epidemic fronts caused by ecological hetero... more Mosquito-borne disease spread might exhibit irregular epidemic fronts caused by ecological heterogeneity in the risk factors. To determine Plasmodium vivax infection spread in north-eastern Venezuela, we used the State Transition Index (STI) to detect the spatial locations of malaria incidence boundaries and their dynamics over time. Then, we evaluated the role of population size on disease persistence. Boundary locations of malaria were found to be highly spatially variable. Waves of infection were observed in the spatial mosaics of large and small nearby localities due to a strong asynchrony in the epidemic dynamics between both host populations. Our results suggest that the epidemic spatial diffusion follows a hierarchy from large, populated villages (with few or no seasonal parasite fadeouts) to smaller, less populated localities, where infection outbreak was irregular or disease dynamics showed frequent fadeouts. Our findings stress the importance of malaria surveillance and control in these larger communities.

HAMADA N, GRILLET ME. 2001. Black flies (Diptera: Simuliidae) of the Gran Sabana (Venezuela) and ... more HAMADA N, GRILLET ME. 2001. Black flies (Diptera: Simuliidae) of the Gran Sabana (Venezuela) and Pacaraima Region (Brazil): Distributional data and identification keys for larvae and pupae. Entomotropica Vol. 16(1):29-49. The present work provides distribution data and new identification keys to the larvae of 21 species of Simulium in the Gran Sabana region of southern Venezuela, including Canaima National Park. This work increases the black fly records in the area, providing the baseline needed for cytotaxonomic and ecological studies. Data were collected during three sampling periods (October 1996, February and October 1998) in Venezuela. Collections from the Pacaraima mountain region (Roraima, Brazil) on the Brazil-Venezuela border were also included. In the Gran Sabana the following species were collected: S. bipunctatum, S. cauchense, S. guianense s.l., S. goeldii, S. ignacioi, S. inaequale, S. incrustatum, S. iracouboense, S. kabanayense, S. lutzianum, S. maroniense, S. metallicum s.l., S. perflavum, S. quadrifidum, S. spinibranchium, S. suarezi and S. subpallidum. In Pacaraima the species were S. cauchense, S. covagarciai, S. lutzianum, S. maroniense, S. metallicum s.l., S. perflavum, S. rorotaense, S. rubrithorax and S. trombetense. Two new records are reported from southern Venezuela and Brazil: S. covagarciai and S. metallicum s.l. Simulium metallicum cytotype E in northern Venezuela, and S. guianense s.l. and S. incrustatum in southern Venezuela/northern Brazil are associated with onchocerciasis transmission. Future studies in the area will be necessary to determine cytotypes present and their biting behaviour.

Acta Tropica, 2008
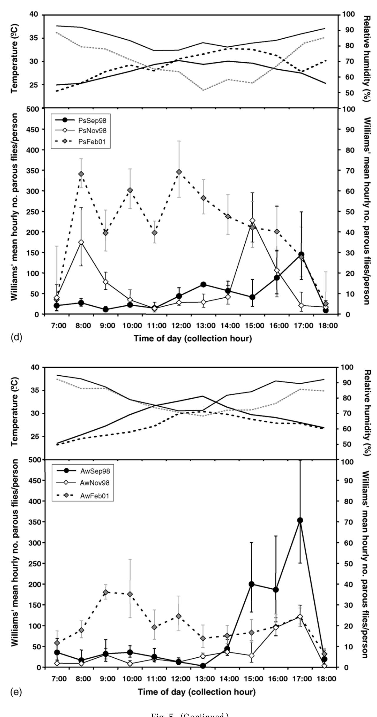
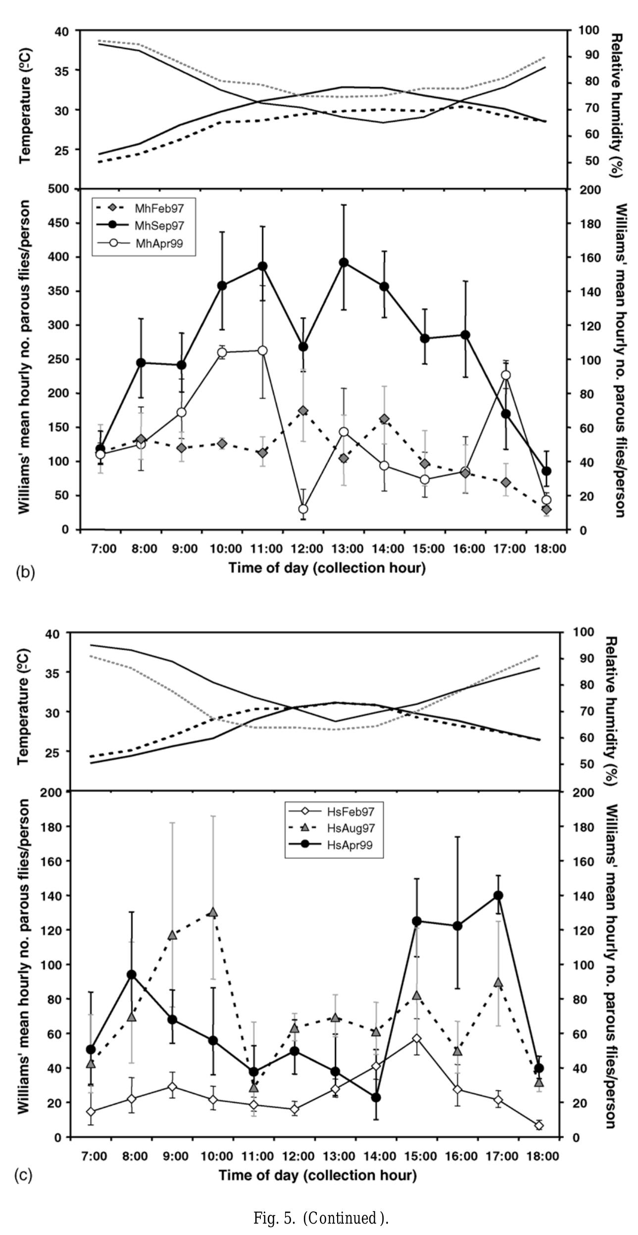
We describe the hourly patterns of parous biting activity of the three main simuliid vectors of h... more We describe the hourly patterns of parous biting activity of the three main simuliid vectors of human onchocerciasis in the Amazonian focus straddling between Venezuela and Brazil, namely, Simulium guianense s.l. Wise; S. incrustatum Lutz, and S. oyapockense s.l. Floch and Abonnenc. Time series of the hourly numbers of host-seeking parous flies caught in five Yanomami villages during dry, rainy, and their transition periods from 1995 to 2001 were investigated using harmonic analysis (assuming an underlying circadian rhythm) and periodic correlation (based on Spearman's r). Parous S guianense s.l. showed a bimodal activity pattern, with a minor peak in mid-morning and a major peak at 16:00 h. S. incrustatum exhibited mainly unimodal activity during either early morning or midday according to locality. S. oyapockense s.l. bit humans throughout the day mainly between 10:00 and 16:00 h but also showed bimodal periodicity in some localities. Superimposed on the endogenous, species-specific daily cycles, parous activity showed variation according to locality, season, air temperature and relative humidity, with biting being promoted by warmer and drier hours during wet seasons/periods and reduced during hotter times in dry seasons or transitions. The results are discussed in terms of their implications for blackfly biology and ecology as well as onchocerciasis epidemiology and control.
Transactions of The Royal Society of Tropical Medicine and Hygiene, 1997

Journal of Medical Entomology, 2001
We investigated some entomological factors underlying altitudinal prevalence variation in the Ven... more We investigated some entomological factors underlying altitudinal prevalence variation in the Venezuelan Amazonia human onchocerciasis focus. Spatial and temporal variation in relative abundance, daily biting rate, proportion of parous ßies , and monthly parous biting rate were studied for the three main simuliid vectors (based on their vectorial competence: Simulium oyapockense s.l. Floch & Abonnenc Ϸ S. incrustatum Lutz Ͻ Ͻ S. guianense s.l. Wise). Yanomami villages were selected among sentinel communities of the ivermectin control program, representing hypoto hyperendemicity conditions of infection. Spatial variation was explored via increasing village altitude on two river systems (A: Ocamo-Putaco and B: Orinoco-Orinoquito). Temporal variation was studied between 1995 and 1999 by sampling the biting population during dry and rainy months. Environmental variables included monthly rainfall and maximum river height. Simuliid species composition itself varied along the altitudinal and prevalence gradient. S. oyapockense s.l. prevailed below 150 m. Above this altitude and up to 240 m, S. incrustatum and S. guianense s.l. became more frequently and evenly collected along A but not along B, where S. incrustatum remained absent. The daily biting rate of S. oyapockense s.l. was higher during the dry season along A, whereas the converse took place along B. Daily biting rate of S. incrustatum was lowest during early rains. By contrast, the daily biting rate of S. guianense s.l. was highest during this period. There was a signiÞcant negative cross-correlation between proportion of parous of S. oyapockense s.l. and river height (2 and 3 mo lagged), whereas this variable (1 and 2 mo lagged) was positively correlated with the proportion of parous ßies for S. incrustatum. Monthly parous biting rate values suggest that the months contributing most to onchocerciasis transmission in the area are likely to be the dry season and the transition periods between seasons.
American Journal of Tropical Medicine and Hygiene, 2010

Proceedings of The National Academy of Sciences, 2005
Here we analyze patterns of human infection with Onchocerca volvulus (the cause of river blindnes... more Here we analyze patterns of human infection with Onchocerca volvulus (the cause of river blindness) in different continents and ecologies. In contrast with some geohelminths and schistosome parasites whose worm burdens typically exhibit a humped pattern with host age, patterns of O. volvulus infection vary markedly with locality. To test the hypothesis that such differences are partly due to heterogeneity in exposure to vector bites, we develop an age- and sex-structured model for intensity of infection, with parasite regulation within humans and vectors. The model is fitted to microfilarial data from savannah villages of northern Cameroon, coffee fincas of central Guatemala, and forest-dwelling communities of southern Venezuela that were recorded before introducing ivermectin treatment. Estimates of transmission and infection loads are compared with entomological and epidemiological field data. Host age- and sex-heterogeneous exposure largely explains locale-specific infection patterns in onchocerciasis (whereas acquired protective immunity has been invoked for other helminth infections). The basic reproductive number,R0, ranges from 5 to 8, which is slightly above estimates for other helminth parasites but well below previously presented values. age | sex | helminth | mathematical model | onchocerciasis

Acta Tropica, 2005
We describe the hourly patterns of parous biting activity of the three main simuliid vectors of h... more We describe the hourly patterns of parous biting activity of the three main simuliid vectors of human onchocerciasis in the Amazonian focus straddling between Venezuela and Brazil, namely, Simulium guianense s.l. Wise; S. incrustatum Lutz, and S. oyapockense s.l. Floch and Abonnenc. Time series of the hourly numbers of host-seeking parous flies caught in five Yanomami villages during dry, rainy, and their transition periods from 1995 to 2001 were investigated using harmonic analysis (assuming an underlying circadian rhythm) and periodic correlation (based on Spearman's r). Parous S guianense s.l. showed a bimodal activity pattern, with a minor peak in mid-morning and a major peak at 16:00 h. S. incrustatum exhibited mainly unimodal activity during either early morning or midday according to locality. S. oyapockense s.l. bit humans throughout the day mainly between 10:00 and 16:00 h but also showed bimodal periodicity in some localities. Superimposed on the endogenous, species-specific daily cycles, parous activity showed variation according to locality, season, air temperature and relative humidity, with biting being promoted by warmer and drier hours during wet seasons/periods and reduced during hotter times in dry seasons or transitions. The results are discussed in terms of their implications for blackfly biology and ecology as well as onchocerciasis epidemiology and control.

Journal of Medical Entomology, 2000
Spatial and temporal abundance patterns of anopheline larvae and their relationships with wetland... more Spatial and temporal abundance patterns of anopheline larvae and their relationships with wetland conditions were studied in an endemic malaria area in northeastern Venezuela, where Anopheles aquasalis Curry is the main vector. Larvae were sampled over a 2-yr period in 7 wetland types (brackish and freshwater herbaceous swamps, mangrove swamps, freshwater ponds, clear-cut marsh forests, small irrigation canals, and swamp forests), covering 3 environmental gradients (salinity, aquatic vegetation, and habitat permanence). Twelve variables were quantiÞed to describe each habitat. Two species of anophelines were collected. An. aquasalis was the species with the widest distribution, and its highest abundance was in the seasonal brackish mangrove habitat during the rainy season. An. oswaldoi Peryassu was rarely encountered, but was mainly associated with the dry season and with the permanent freshwater wetlands (such as ponds). Principal components and correlation analyses revealed that the physicochemical (salinity, dissolved oxygen) variables of the wetland were associated most strongly with the spatial distribution of both species. Variations in salinity were strongly associated with the abundance of An. aquasalis. Both the occurrence and abundance of An. oswaldoi were most closely correlated with dissolved oxygen. Changes in seasonal abundance of both species were associated with rainfall. The relevance of these results to vector control in northern Venezuela is discussed.

We stratified the risk of malaria transmission (Plasmodium vivax) in 35 villages along a coastal ... more We stratified the risk of malaria transmission (Plasmodium vivax) in 35 villages along a coastal range in northeastern Venezuela (51 km 2 ) where the main vector is the mosquito Anopheles aquasalis. After 20 years without local malaria transmission, reinfection of the entire area occurred from May to December 1985 by local (continuous) and jump (discontinuous) dispersal. Epidemiologic, environmental, and vector variables were investigated with the aid of a Geographic Information System. Risk factors for malaria transmission were human population density, proximity to pre-adult mosquito habitats (Ͻ 500 m), and the number of pre-adult habitats nearby. Most inhabitants, immature mosquito habitats, and malaria cases were located at low elevations and on gentle slopes. High prevalence of malaria during the dry seasons was associated with the presence of permanent bodies of water containing An. aquasalis. Occurrence of a La Niña event in 1988 (wet and cool phase of the El Niño Southern Oscillation) triggered malaria transmission to unusually high levels, consolidating infection in the area, and rendering traditional control efforts useless. We recommend tracking malaria persistence per village and associated risk factors as methods to reduce the cost of malaria control programs.

Journal of Medical Entomology, 2005
We studied the aquatic mosquito habitats in and around enzootic foci of Venezuelan Equine Encepha... more We studied the aquatic mosquito habitats in and around enzootic foci of Venezuelan Equine Encephalitis virus (VEE) in western Venezuela. Specimens were sampled for 5 mo in three types of vegetation: tall lowland tropical forests, short inundated/secondary growth forests, and pastures/herbaceous vegetation around forests. Ground pools, ßooded pastures, swamps, ponds, and canals predominated. We used a multivariate statistical approach to quantitatively assess the relationships of mosquito species with broad categories of the landscape, and with environmental variables within each aquatic habitat. Twenty-four mosquito species in the genera Aedes, Psorophora, Culex, Mansonia, and Uranotaenia were collected. Species richness was higher in the tall forests than in other types of vegetation. Discriminant Function Analysis showed a strong association between landscape category and mosquito species assemblage and identiÞed Culex erraticus Dyar & Knab and Mansonia titillans Walker as indicator species of open areas, and Aedes serratus Theobald as an indicator of tall forests. M. titillans, Uranotaenia geometrica Theobald, Cx. erraticus, and Culex dunni Dyar were associated with unshaded, warm, vegetated waters in ßooded pastures and swamps, whereas Ae. serratus, Aedes fulvus (Wiedemann), Psorophora albipes Theobald, Psorophora ferox (Humboldt), Culex caudelli Dyar & Knab, and Culex pedroi Sirivanakarn & Belkin were associated with small, shaded ground pools within the tall forests. Culex coronator Dyar & Knab was associated with partially exposed sites within short forests. These results allowed us to interpret better our previous studies on mosquito adult spread in the study area and their possible role as VEEV disseminators.

Medical and Veterinary Entomology, 1995
Abstract. Simulium metallicum sibling species E was identified cytotaxonomically from an onchocer... more Abstract. Simulium metallicum sibling species E was identified cytotaxonomically from an onchocerciasis focus at Altamira in northern Venezuela. S. metallicum E larvae were sampled monthly from two small mountain streams over a 15-month period (July 1990 to September 1991) and eleven habitat variables were measured at two altitudes. One stream consistently harboured much higher densities of S. metallicum E larvae than the other, with three annual peaks of abundance: during the dry season and at the beginning and end of the rainy season. These peak densities were correlated with high rainfall 4 months previously. Larvae were most abundant on submerged rocks and fallen leaves, in small shallow areas characterized by slow water current, high conductivity and sparse terrestrial vegetation cover. Stream variables which best explained the temporal changes in abundance were water discharge and conductivity. The population dynamics of S. metallicum E appeared to be influenced primarily by interactions between stream discharge and substrate stability. Relevance of these results to vector control with larvicides is discussed.

Hydrobiologia, 1997
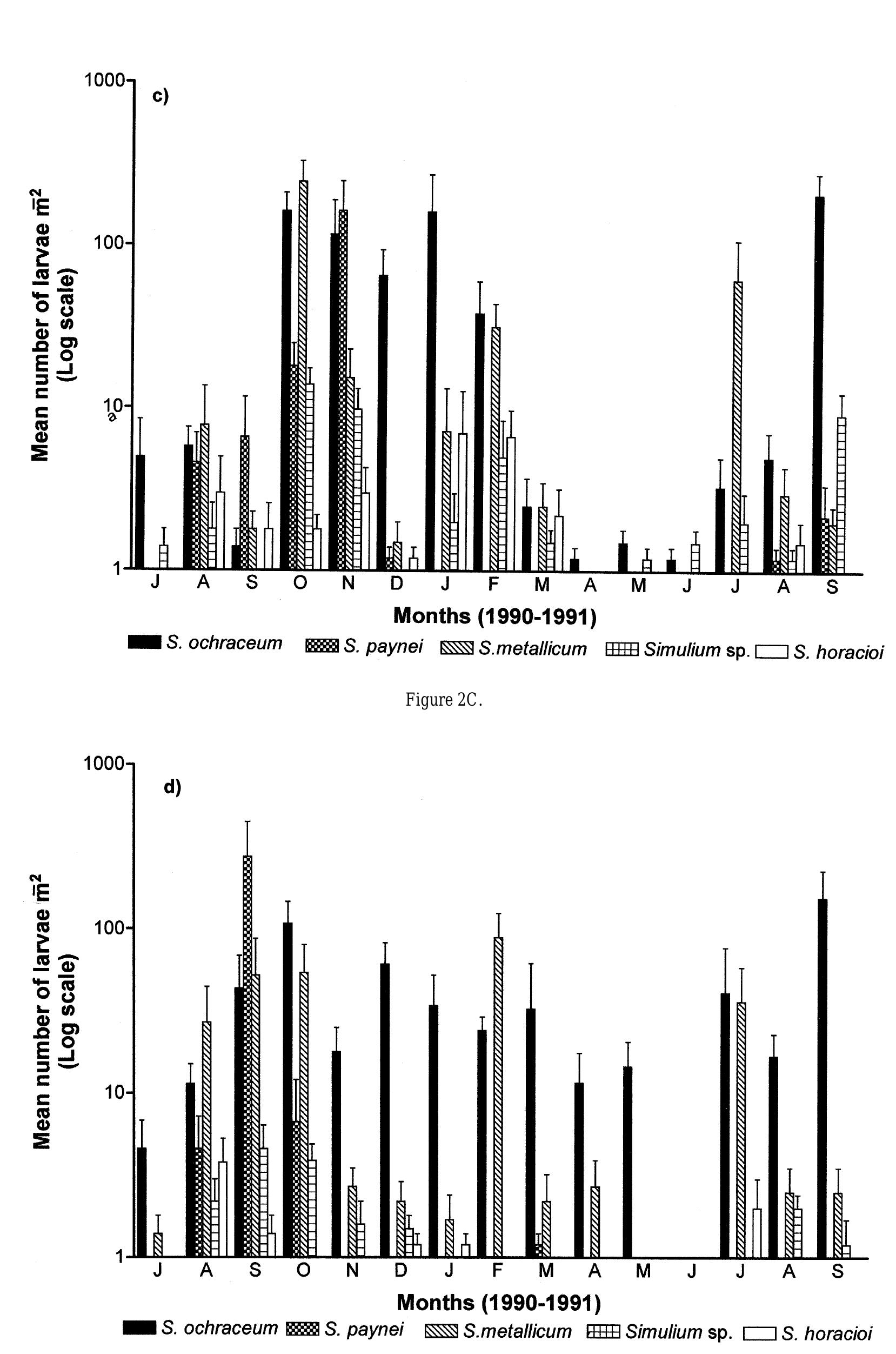
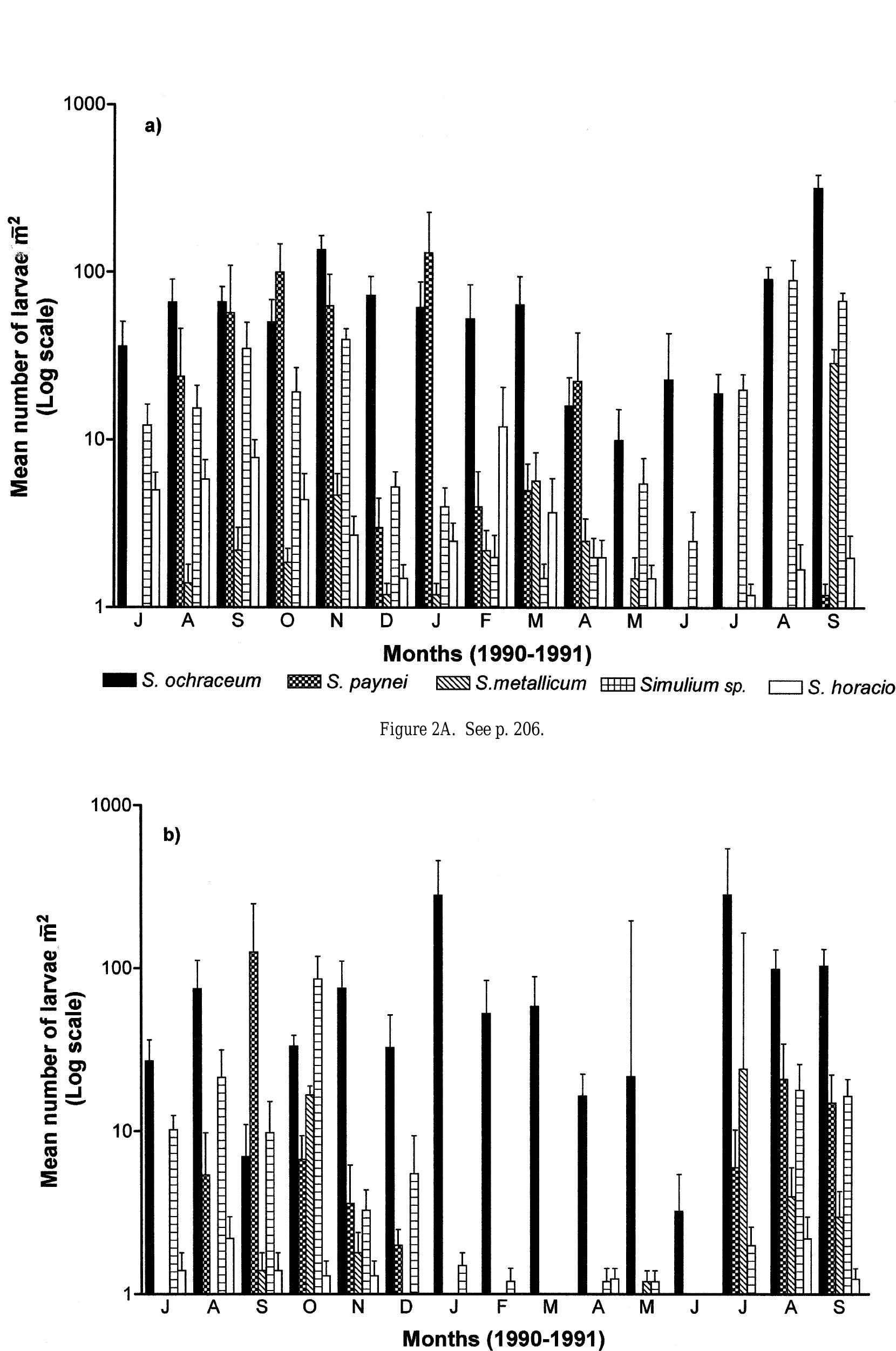
Blackfly larvae were sampled monthly from two smallNeotropical mountain streams 500 m apart from ... more Blackfly larvae were sampled monthly from two smallNeotropical mountain streams 500 m apart from each other in northernVenezuela during a 15-month period, and ten habitat variables weremeasured at two altitudes (800 and 900 m) to determine local spatialand temporal variations in abundance, stream variables, speciesco-occurrence, and substrate preference within the blackflyguild. The blackfly species composition of each stream was the same,with five species (in order of abundance): Simulium ochraceumWalker s.l., S. paynei Vargas, S. metallicum Bellardicytospecies E, Simulium sp., and S. horacioi Okazawa &Onishi. There were clear differences in community structurebetween streams (not among altitudes), although S. ochraceums.l. was the most abundant species in both habitats. Principal component andcorrelation analyses revealed that structural (great depth, width,flow, and discharge) and chemical (low conductivity) factors werethe stream variables best associated to the spatial distribution ofmost blackfly species. Blackfly abundance was greater in the largerstream. Larvae were most abundant on submerged rocks and fallenleaves, although the patterns of substrate use within the guildrevealed substrate partitioning among most blackfly species.There was one general annual peak of abundance at the end of therainy season. We suggest that blackfly community structure in theseNeotropical headwaters streams, over the small spatial scaleexamined here, is largely influenced by interactions among streamsize and velocity-related factors (width, streamflow, discharge andsubstrate availability-stability) and the rainfall regime.
Uploads
Papers by Maria Eugenia E Grillet
V debato se s to razpravo vključuje tudi globalna skupina univerzitetnih kolegov. Mreža raziskovalcev dejavnih v akademskem publiciranju, se razteza čez štiri celine in več disciplin znotraj naravoslovja, humanistike in družbenih ved in zavzema različne politične ter ekonomske položaje. Verjamejo, da ta globalni vzorec raziskovalcev lahko predstavi kompleksno problematiko in ponudi perspektive, nujne za njeno obvladovanje. Skupina je bila sestavljena, ne da bi poskušala zajeti ves svet.
Ta prispevek se razlikuje od drugih pristopov k problemu odprtodostopnega publiciranja v več temeljnih točkah. a) Izhaja iz situacije znanstvenikov in tako lahko predstavlja »drugo plat medalje « znanstvene komunikacije. b) Osredinja se na pričevanja, v katerih so znanstveniki svobodno usmerjali svoje odgovore, kot se jim je zdelo primerno, namesto da bi bili omejeni na odgovore tipa da/ne oz. na izbiro odgovorov na lestvici. Morda najbolj pomembno pa je c), da razlikuje med organizacijami, državami in položaji in tako osvetljuje neenake pogoje dostopa med bogatimi državami in državami v nezavidljivi ekonomski situaciji ter tudi znotraj držav, odvisno od velikosti in lokacije konkretnih institucij.