Drafts by Ocident Bongomin

MDPI Preprint Server, 2020
Very well into the dawn of the fourth industrial revolution (industry 4.0), we hardly distinguish... more Very well into the dawn of the fourth industrial revolution (industry 4.0), we hardly distinguish between what is artificial and what is natural (e.g. man-made virus and natural virus). Thus, the level of discombobulation among people, companies or countries is indeed unprecedented. The fact that industry 4.0 is explosively disrupting or retrofitting each and every industrial sector, makes industry 4.0 the famous buzzword amongst researchers today. However, the insight of industry 4.0 disruption in the industrial sectors remains ill-defined in both academic and non-academic literature. The present study aimed at identifying industry 4.0 neologisms, understanding the industry 4.0 disruption and illustrating the disruptive technologies convergence in the major industrial sectors. A total of 99 neologisms of industry 4.0 were identified. Industry 4.0 disruption in Education industry (Education 4.0), Energy industry (Energy 4.0), Agriculture industry (Agriculture 4.0), Healthcare industry (Healthcare 4.0), and Logistics industry (Logistics 4.0) are described. The convergence of 12 disruptive technologies including 3D printing, Artificial intelligence, Augmented reality, Big Data, Blockchain, Cloud computing, Drones, Internet of things, Nanotechnology, Robotics, Simulation and Synthetic biology in agriculture, healthcare and logistics industries are illustrated.

MDPI Preprint, 2020
The today competitive advantage of Ready-made garment industries depends on the ability to improv... more The today competitive advantage of Ready-made garment industries depends on the ability to improve the efficiency and effectiveness of resource utilization. Ready-made garment industries have long historically adopted fewer technological and process advancement as compared to automotive, electronics and semiconductor industries. Simulation modeling of garment assembly line system has attracted a number of researchers as one way for insightful analysis of system behaviour and improving its performance. However, most of simulation studies have considered ill-defined experimental design which cannot fully explore the assembly line design alternatives and does not uncover the interaction effects of the input variables. Simulation metamodeling is an approach to assembly line design which has recently been of interest to so many researchers. However, its application in garment assembly line design has never been well explored. In this paper, simulation metamodeling of trouser assembly line with 72 operations has been demonstrated. The linear regression metamodel technique with resolution-V design was used. The effects of five factors: bundle size, job release policy, task assignment pattern, machine number and helper number on the production throughput of the trouser assembly line were studied. The increase of 28.63% of the production throughput was achieved for the best factors' setting of the metamodel.

Wiley Authorea, 2020
The nascent wave of disruptive competition in the current business environment brought about by t... more The nascent wave of disruptive competition in the current business environment brought about by the fourth industrial revolution (Fashion 4.0 or Apparel 4.0) is enormous. Therefore, it is paramount important to apparel industry to be flexible enough to respond quickly to the unstable customers' demand through continuous improvement of their process efficiency and productivity. This study aims at achieving an optimal trouser assembly line balancing using simulation-based optimization via design of experiment. The empirical study is conducted at Southern Range Nyanza Limited (NYTIL) garment facility and a complex trouser assembly line with 72 operations is considered. The discrete event simulation of the trouser assembly line is developed using Arena simulation software. The local optimal solution is obtained from simulation experimentation and is adopted for the optimization process. The OptQuest tool is utilized to solve a single objective function (throughput) optimization problem. The results show that average throughput increases from the existing design (490 pieces per day) to local optimal design (638) and global optimal design (762). Consequently, the line efficiency increases from 61.2% to 79.7% to 95.2% respectively. The high increase in line efficiency and average throughput confirms the suitability assembly line balancing using simulation-based optimization via design of experiment.

The war to technology and economic power have been the driver for industrialization in most devel... more The war to technology and economic power have been the driver for industrialization in most developed countries. The first industrial revolution (industry 1.0) earned millions for textile mill owners while the second industrial revolution (industry 2.0) opened the way for tycoons and captains of industry like John D. Rockefeller, J.P. Morgan and Henry Ford. The third industrial revolution (industry 3.0) engendered technology giants like Apple and Microsoft, and made magnates of men like Steve Jobs and Bill Gates. Now, the race for the fourth industrial revolution (industry 4.0) is on and there is no option, every country whether developed or developing must participate. Many countries have positively responded to industry 4.0 by developing strategic initiatives to strengthen industry 4.0 implementation. Unlocking the country's potential to industry 4.0 has been of interest to researchers in the recent past. However, the extent to which industry 4.0 initiatives being launched globally has never been revealed. Therefore, the present study aimed at exploring industry 4.0 initiatives through comprehensive electronic survey of literature to estimate the extend of its launching in different regions. Inferences were drawn from industry 4.0 initiatives in developed nations to be used as the recommendations for East Africa Community. Results of the survey revealed that 117 industry 4.0 initiatives have been launched in 56 countries worldwide consisting of five regions. The country's percent of industry 4.0 initiatives as per region were: Latin America and the Caribbean (15%), North America (40%), Europe (53%), Asia and Oceania (25%), Middle East and Africa (11%). While the worldwide percent was estimated as 25%. This revealed that the big gap is existing between countries towards the race for industry 4.0.

Journal of Engineering, 2020
The 21st century has witnessed precipitous changes spanning from the way of life to the technolog... more The 21st century has witnessed precipitous changes spanning from the way of life to the technologies that emerged. We have entered anascent paradigmshift(industry 4.0) where sciencefictions have becomescience facts, and technologyfusion is the main driver.us, ensuring that any advancement intechnologyreach andbenefitall istheideal opportunity foreveryone.In thisstudy, disruptive technologies of industry 4.0 were explored and quantified in terms of the number of their appearances in published literature.e study aimed at identifying industry 4.0 key technologies which have been ill-defined by previous researchers and to enumerate the required skills of industry 4.0. Comprehensive literature survey covering the field of engineering, production, and management was done in multidisciplinary databases: Google Scholar, Science Direct, Scopus, Sage, Taylor & Francis, and Emerald Insight. From the electronic survey, 35 disruptive technologies were quantified and 13 key technologies: Internet ofings, Big Data, 3D printing, Cloud computing, Autonomous robots, Virtual and Augmented reality, Cyber-physical system, Artificial intelligence, Smart sensors, Simulation, Nanotechnology, Drones, and Biotechnology were identified. Both technical and personal skills to be imparted into the human workforce for industry 4.0 were reported. e review identified the need to investigate the capability and the readiness of developing countries in adapting industry 4.0 in terms of the changes in the education systems and industrial manufacturing settings. is study proposes the need to address the integration of industry 4.0 concepts into the current education system.

Plastics have become an indispensable part of modern life today. The global production of plastic... more Plastics have become an indispensable part of modern life today. The global production of plastics has gone up to 299million tones in 2013, which is believed to be increasing in the near future. The utilization of plastics and its final disposal pose a tremendous negative significance impacts on the environment. The aim of this study was to investigate the thermal and catalytic pyrolysis for production of hydrocarbon fuel from the polyethene plastic wastes. Catalysts used in the experiment were acid activated clay mineral and aluminum chlorides on activated carbon. The clay mineral was activated by refluxing it with 6M Sulphuric acid for 3hours. The experiment was conducted in three different phases: the first phase of the experiment was done without a catalyst where 88mL oil was obtained at a maximum temperature of 39 and heating rates of 12.5, reaction time of 4hours. The second phase involves the use of acid activated clay mineral where 100mL of oil was obtained and heating rates of 12.5 and reaction time of 3hours 30minutes. The third phase was done using aluminum chlorides on activated carbon and 105ml oil was obtained at a maximum temperature of 400 and heating rates of 15.5 reaction time of 3hours 10minutes. From the results, catalytic pyrolysis is more efficient than purely thermal pyrolysis and homogenous catalysis (aluminum chlorides) shows a better result than solid acid catalyst (activated clay minerals) hence saving the energy needed for pyrolysis and making the process more economically feasible.
Papers by Ocident Bongomin

Energy Conversion and Management: X, 2024
This study comprehensively analyzes the thermal decomposition characteristics as well as the kine... more This study comprehensively analyzes the thermal decomposition characteristics as well as the kinetic and thermodynamic parameters of five biomass wastes, including coffee husk, groundnut shell, macadamia nutshell, rice husk, and tea waste, using Thermogravimetric Analysis (TGA) and the Coats-Redfern method. The TGA experiments were conducted on a PerkinElmer STA 6000 instrument under an inert N 2 atmosphere with a heating rate of 20 • C/min, spanning a temperature range from 25 • C to 950 • C. The results identified three distinct pyrolysis stages: drying, devolatilization, and char formation, with macadamia nutshell demonstrating the highest thermal reactivity and efficient devolatilization characteristics, reflected by its lowest initial devolatilization temperature (175 • C) and highest peak temperature (380 • C). Kinetic analysis revealed that coffee husk had the highest overall activation energy (E a) of 60.59 kJ/mol, indicating complex thermal degradation behavior. The thermodynamic evaluation showed that coffee husk also exhibited the highest enthalpy change (ΔH=55.46 kJ/mol) but the lowest Gibbs free energy change (ΔG=148.34 kJ/mol), suggesting high energy requirements for decomposition but relatively more spontaneous reactions compared to other biomass types. Macadamia nutshell demonstrated high ΔG (163.24 kJ/mol) and moderate ΔH (32.44 kJ/mol), reflecting greater resistance to spontaneous decomposition. The comprehensive pyrolysis index (CPI) and devolatilization index (D dev) confirmed macadamia nutshell as the most reactive biomass, while rice husk exhibited the lowest reactivity. The findings highlight the importance of multi-step kinetic analysis for accurately understanding pyrolysis processes, providing critical insights for optimizing biomass conversion for energy production. Future research should explore co-pyrolysis with varied biomass mixtures and advanced kinetic modeling to enhance energy yields.

The Scientific World Journal, 2022
We live in a world that is completely dependent on energy; thus, humankind can no longer live wit... more We live in a world that is completely dependent on energy; thus, humankind can no longer live without power. With electricity being the main form of energy today, this has increased the complexity of our life today. In Uganda, electricity generation is mainly through hydropower, which puts the country in the bottleneck of overdependence on one source of energy. ere are many energy systems out there that the country can use to diversify its electricity generation. erefore, the need to understand the level of development and utilization of various energy systems has been the underlying question for this present study. A comprehensive literature survey was conducted using electronic databases, including ScienceDirect, Wiley, Sage, Scopus, Taylor & Francis, and Google Scholar. e publications in the form of reports, conference papers, working papers, discussion papers, journal articles, book sections, and textbooks were considered in this study. In total, 11 energy systems, including human and animal energy, solid biomass (rewood), hydropower, wind, geothermal, solar, nuclear, peat, coal, petroleum, and nonsolid biomass (methanol, hydrogen, ethanol, biodiesel, and biogas), are described. e current and future development and utilization of these energy systems have been described. e challenges for developing and utilizing these systems were elaborated on, and the solutions for their challenges were presented. Hydropower from the Nile River, being the main river for large hydropower plant construction, is the dominant energy system in Uganda. Nuclear energy will be the salvation for the country's electric energy supply in the near future. erefore, Uganda needs to bet big on nuclear energy.

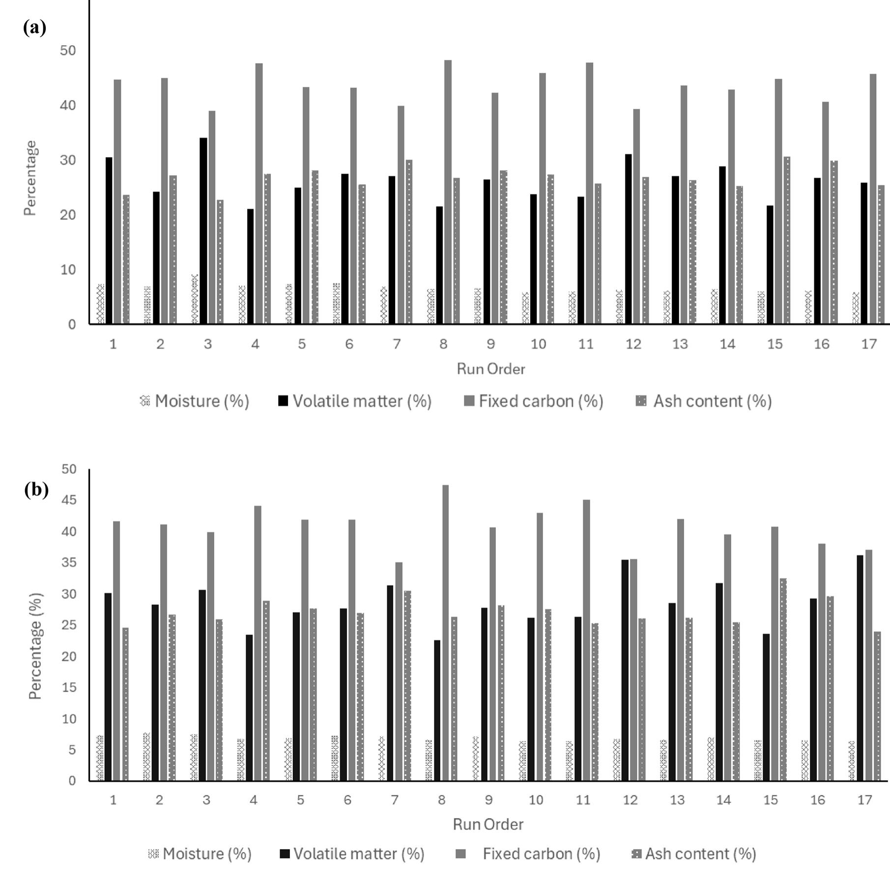
Discover Applied Sciences, 2024
Composite briquettes from agricultural residues are a potential sustainable domestic solid fuel r... more Composite briquettes from agricultural residues are a potential sustainable domestic solid fuel resource. This study aimed to develop and characterize composite briquettes developed from cassava rhizomes and groundnut stalks with jackfruit waste binder as an alternative sustainable fuel for domestic cooking applications. Cassava rhizomes and groundnuts stalks feedstock were carbonized in a step-down kiln under slow pyrolysis conditions at temperatures between 400 and 500 ℃. Thermogravimetric analysis was used to determine the proximate and thermal properties of the developed composite briquettes. Bomb calorimetry was used to determine their heating values. Relaxed density, drop strength and compressive strength results were used to determine the mechanical properties of the developed briquettes. Design of Experiments (Box Behnken design) was used to evaluate the effect of factors (biochar amount, jackfruit waste binder amount, and amount of water) on the mechanical and thermal properties of the developed composite briquettes. The Coats-Redfern kinetic model was used to determine the activation energy for the developed briquettes. Calorific values and drop strength of developed composite briquettes ranged from 18.1 to 24.0 MJ/kg and 92–99%, respectively. Combustion performance results indicated that ignition temperature increased from 155.1 to 184
, when heating rate was increased from 10 to 15
/min. However, burnout temperature decreased from 618.1 to 453
/min with a similar corresponding increase in heating rate. Optimum biochar amount, amount of water, and jackfruit waste binder amount for optimal mechanical and thermal properties were 89.3%, 893.0 ml, and 29.5 g, respectively. Composite briquettes developed from cassava rhizomes and groundnut stalks with jackfruit waste as binder are suitable potential domestic cooking fuels.

International Journal of Energy Research, 2024
Energy primarily comes from fossil fuels, which leads to environmental deterioration through incr... more Energy primarily comes from fossil fuels, which leads to environmental deterioration through increased carbon dioxide load and other greenhouse gases in the atmosphere. Renewable energy is a cheap alternative, and biomass, like municipal solid wastes (MSWs), can be suitably used for energy production. This paper reviews the impact of variations in MSW composition on its physical, chemical, and lignocellulosic properties. It further illustrates how these properties affect torrefaction products. It was observed that MSW can refer to either a combination of different waste types or independent wastes; hence, there is no standard composition of MSW. The variations in composition are responsible for fluctuating physical, chemical, and lignocellulosic properties. These properties, along with torrefaction process parameters, simultaneously affect the torrefied product, whereas lignocellulosic properties influence the biochar yield, and physical and chemical properties impact calorific value and ash content. Torrefying MSW containing low moisture content yields biochar with a high calorific value. Methods to improve the lignocellulosic properties of MSW have not been studied. Research is needed to assess the possibility of improving biochar yields in MSW by enhancing lignin percentages, possibly through blending MSW. A guide on the best blend combinations and ratios is required. Also, it is crucial to study optimal torrefaction process parameters.

International Journal of Energy Research, 2024
This comprehensive review delves into the intersection of ensemble machine learning models and in... more This comprehensive review delves into the intersection of ensemble machine learning models and interpretability techniques for biomass and waste gasification, a field crucial for sustainable energy solutions. It tackles challenges like feedstock variability and temperature control, highlighting the need for deeper understanding to optimize gasification processes. The study focuses on advanced modeling techniques like random forests and gradient boosting, alongside interpretability methods like the Shapley additive explanations and partial dependence plots, emphasizing their importance for transparency and informed decisionmaking. Analyzing diverse case studies, the review explores successful applications while acknowledging challenges like overfitting and computational complexity, proposing strategies for practical and robust models. Notably, the review finds ensemble models consistently achieve high prediction accuracy (often exceeding R 2 scores of 0.9) for gas composition, yield, and heating value. These models (34% of reviewed papers) are the most applied method, followed by artificial neural networks (26%). Heating value (12%) was the most studied performance metric. However, interpretability is often neglected during model development due to the complexity of techniques like permutation and Gini importance. The paper calls for dedicated research on utilizing and interpreting ensemble models, especially for co-gasification scenarios, to unlock new insights into process synergy. Overall, this review serves as a valuable resource for researchers, practitioners, and policymakers, offering guidance for enhancing the efficiency and sustainability of biomass and waste gasification.
UAV image acquisition and processing for high‐throughput phenotyping in agricultural research and breeding programs
Plant phenome journal, Feb 19, 2024
Characterization and treatment effects on Mutaka kaolin for additive in coatings: Mineral composition, thermal and structural modifications
Heliyon, Dec 31, 2023

Exponential Disruptive Technologies and the Required Skills of Industry 4.0: A Review
The 21st century has witnessed a number of incredible changes ranging from the way of life and th... more The 21st century has witnessed a number of incredible changes ranging from the way of life and the technologies that emerged. Currently, we have entered a new paradigm shift called industry 4.0 where science fictions have become science facts, and technology fusion is the main driver. Therefore, ensuring that any advancement in technology reach and benefit all is the ideal opportunity for everyone. In this paper, disruptive technologies of industry 4.0 have been explored and quantified in terms of the number of their appearances in literature. This research mainly aimed at identifying industry 4.0 key technologies which have been ill-defined by previous researchers and to enlighten the required skills of industry 4.0. Comprehensive literature survey covering the field of engineering, production, and management from both academia and business was done from publication databases: Google scholar, ScienceDirect, Scopus, Sage, Taylor & Francis and Emerald insight. The results of the stud...

East African Journal of Information Technology
The increasing need for the examination of evidence from mobile and portable gadgets increases th... more The increasing need for the examination of evidence from mobile and portable gadgets increases the essential need to establish dependable measures for the investigation of these gadgets. Many differences exist while detailing the requirement for the examination of each gadget to help detectives and examiners in guaranteeing that any kind of evidence extracted/ collected from any mobile device is well documented and the outcomes can be repeatable, a reliable and well-documented investigation process must be implemented if the results of the examination are to be repeatable and defensible in courts of law. In this paper, we developed a generic process flow model for the extraction of digital evidence in mobile devices running on Android, Windows, iOS, and Blackberry operating systems. The research adopted a survey approach and extensive literature review as a means to collect data. The models developed were validated through expert opinion. Results of this work can guide solution deve...
Applications of Drones and Image Analytics in Field Phenotyping: A Potential Breakthrough in Uganda's Agricultural Research
SSRN Electronic Journal

The Scientific World Journal, 2022
We live in a world that is completely dependent on energy; thus, humankind can no longer live wit... more We live in a world that is completely dependent on energy; thus, humankind can no longer live without power. With electricity being the main form of energy today, this has increased the complexity of our life today. In Uganda, electricity generation is mainly through hydropower, which puts the country in the bottleneck of overdependence on one source of energy. ere are many energy systems out there that the country can use to diversify its electricity generation. erefore, the need to understand the level of development and utilization of various energy systems has been the underlying question for this present study. A comprehensive literature survey was conducted using electronic databases, including ScienceDirect, Wiley, Sage, Scopus, Taylor & Francis, and Google Scholar. e publications in the form of reports, conference papers, working papers, discussion papers, journal articles, book sections, and textbooks were considered in this study. In total, 11 energy systems, including human and animal energy, solid biomass (rewood), hydropower, wind, geothermal, solar, nuclear, peat, coal, petroleum, and nonsolid biomass (methanol, hydrogen, ethanol, biodiesel, and biogas), are described. e current and future development and utilization of these energy systems have been described. e challenges for developing and utilizing these systems were elaborated on, and the solutions for their challenges were presented. Hydropower from the Nile River, being the main river for large hydropower plant construction, is the dominant energy system in Uganda. Nuclear energy will be the salvation for the country's electric energy supply in the near future. erefore, Uganda needs to bet big on nuclear energy.

An application-based framework for curbing mobile phone-related crimes: Results of a preliminary study in Eastern Uganda
Background: Police has relentlessly reported increased crime rates in Uganda, many of which are c... more Background: Police has relentlessly reported increased crime rates in Uganda, many of which are committed with/or through mobile phones. This positions mobile phones as potential sources of incriminating evidences for digital investigations and crime reporting. In this study, we explored the use of mobile phones for crime investigation and propose an application framework for curbing mobile phone-related crimes in Eastern Uganda, East Africa.Main body: Data was collected using self-administered questionnaires from 36 respondents who were police investigators and State Attorneys. The framework proposed is based on a client-server-model. Results of the study indicated that whereas criminal investigators believe in the application of mobile phones in crime reporting and collaborating evidences, they seldomly use them as a potential source of evidence when making criminal case decisions. Of the 10 files of criminal cases encountered, only 1 to 3 of them were considered during prosecutio...
Comparative Analysis and Development of Mobile Device Authentication Framework for Corporate Networks
The dataset contains the analysis of the questionnaire responses
Uploads
Drafts by Ocident Bongomin
Papers by Ocident Bongomin
, when heating rate was increased from 10 to 15
/min. However, burnout temperature decreased from 618.1 to 453
/min with a similar corresponding increase in heating rate. Optimum biochar amount, amount of water, and jackfruit waste binder amount for optimal mechanical and thermal properties were 89.3%, 893.0 ml, and 29.5 g, respectively. Composite briquettes developed from cassava rhizomes and groundnut stalks with jackfruit waste as binder are suitable potential domestic cooking fuels.