Papers by Pooria Farahani
Vinylogous Nazarov-type cyclizations yield seven-membered rings from butadienyl vinyl ketones via... more Vinylogous Nazarov-type cyclizations yield seven-membered rings from butadienyl vinyl ketones via a photochemical [6π] photocyclization followed by subsequent isomerization steps. The mechanism of this recently developed method was investigated using unrestricted DFT, SF-TDDFT, and CASSCF/NEVPT2 calculations, suggesting three different pathways that lead either to pure trans, pure cis, or mixed cis/trans configured products. Singlet biradicals or zwitterions occur as intermediates. The computational results are supported by deuterium-labeling experiments.

A combined experimental and computational study to understand the nature of the hydrogen bonding ... more A combined experimental and computational study to understand the nature of the hydrogen bonding in a crab-claw site of a new synthesized chromium Schiff base complex is reported. The fully optimized equilibrium structures of the Cr(III) complex in the presence and absence of chloride ion are obtained at the B3LYP functional in conjunction with LanL2DZ basis set. The crystal structure of the chromium Schiff base complex consists of [CrL 2 ] + cation, in which L is a tridentate Schiff base ligand with full name of N-(2-(2-hydroxyethylamino)ethyl)5-methoxysalicylideneimine, and a chloride anion, in the asymmet-ric unit. The chromium(III) cation possesses a distorted octahedral geometry, coordinated with four nitrogen and two phenoxo oxygen atoms derived from two chelate Schiff base ligands. The harmonic vibrational frequencies, infrared intensities and Raman scattering activities of the complexes are also reported. The scaled computational geometry and vibrational wavenumbers are in very good agreement with the experimental values of single crystal X-ray diffraction and FT-IR, respectively. The electronic properties calculations of the complexes are also performed at the TD-B3LYP/LanL2DZ level of theory. The spectroscopic excitation parameters obtained for frontier molecular orbitals of the complexes are reported as well. These findings are in good agreement with the experimental UV–Vis diffuse-reflectance spectroscopy. Parabolic diagrams are derived for the chloride insertion and hydrogen bonding in the crab-claw site with the average optimized HÁ Á ÁH distances of the effective hydrogen atoms in the crab-claw site as reaction coordinate.

Determination of the ground-and excited-state unimolecular decomposition mechanisms of 1,2-dioxet... more Determination of the ground-and excited-state unimolecular decomposition mechanisms of 1,2-dioxetanedione gives a level of insight into bimolecular decomposition reactions of this kind for which some experimental results are reported. Although a few studies have put some effort to describe a biradical mechanism of this decomposition, there is still no systematic study that proves an existence of a biradical character. In the present study, state-of-the-art high-level multistate multiconfigurational reference second-order perturbation theory calculations are performed to describe the reaction mechanism of 1,2-dioxetanedione in detail. The calculations indicate that the decomposition of this four-membered ring peroxide containing two carbonyl carbon atoms occurs in concerted but not simultaneous fashion, so-called " merged " , contrary to the case of unimolecular 1,2-dioxetane and 1,2-dioxetanone decompositions where biradical reaction pathways have been calculated. At the TS of the ground-state surface, the system enters an entropic trapping region, where four singlet and four triplet manifolds are degenerated, which can lead to the formation of triplet and singlet excited biradical species. However, these excited species have to overcome a second activation barrier for C−C bond cleavage for excited product formation, whereas the ground-state energy surface possesses only one TS. Thus our calculations indicate that the unimolecular decomposition of 1,2-dioxetanedione should not lead to efficient excited-state formation, in agreement with the lack of direct emission from the peroxyoxalate reaction.

Recent advances (2014–2015) in computational photochemistry and chemiluminescence derive from the... more Recent advances (2014–2015) in computational photochemistry and chemiluminescence derive from the development of theory and from the application of state-of-the-art and new methodology to challenging electronic-structure problems. Method developments have mainly focused, first, on the improvement of approximate and cheap methods to provide a better description of non-adiabatic processes, second, on the modification of accurate methods in order to decrease the computation time and, finally, on dynamics approaches able to provide information that can be directly compared with experimental data, such as yields and lifetimes. Applications of the ab initio quantum-chemistry methods have given rise to relevant findings in distinct fields of the excited-state chemistry. We briefly summarise, in this chapter, the achievements on photochemical mechanisms and chemically-induced excited-state phenomena of interest in biology and nanotechnology.

1,2-Dioxetanones have been considered as model compounds for bioluminescence processes. The unimo... more 1,2-Dioxetanones have been considered as model compounds for bioluminescence processes. The unimolecular decomposition of these prototypes leads mainly to the formation of triplet excited states whereas in the catalysed decomposition of these peroxides singlet states are formed preferentially. Notwithstanding, these cyclic peroxides are important models to understand the general principles of chemiexcitation as they can be synthesised, purified and characterised. We report here results of experimental and theoretical approaches to investigating the decomposition mechanism of spiro-adamantyl-1,2-dioxetanone. The activation parameters in the unimolecular decomposition of this derivative have been determined by isothermal kinetic measurements (30–70 C) and the chemiluminescence activation energy calculated from the correlation of emission intensities. The activation energy for peroxide decomposition proved to be considerably lower than the chemiluminescence activation energy indicating the existence of different reaction pathways for ground and excited state formation. These experimental results are compared with the calculations at the complete active space second-order perturbation theory (CASPT2), which reveal a two-step biradical mechanism starting by weak peroxide bond breakage followed by carbon–carbon elongation. The theoretical findings also indicate different transition state energies on the excited and ground state surfaces during the C–C bond cleavage in agreement with the experimental activation parameters.

Ab initio quantum mechanical calculation of the reaction probability for the reaction
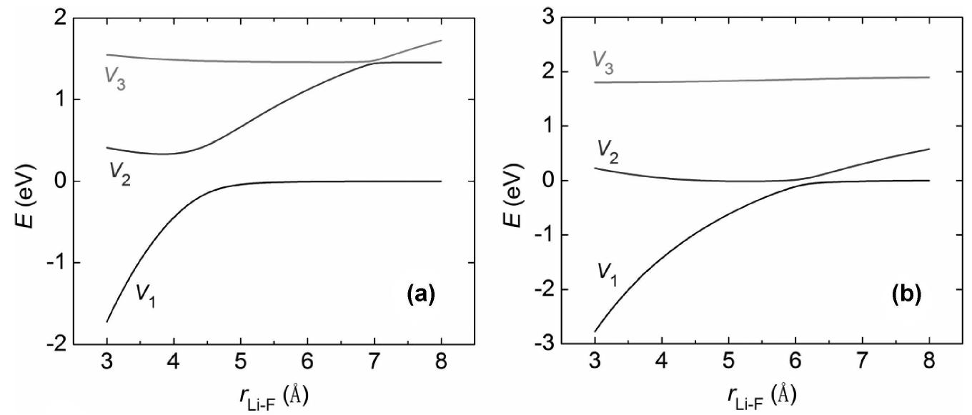
ABSTRACT The SN2 substitution reactions at phosphorus play a key role in organic and biological p... more ABSTRACT The SN2 substitution reactions at phosphorus play a key role in organic and biological processes. Quantum molecular dynamics simulations have been performed to study the prototype reaction Cl-+PH2Cl→ClPH2+Cl-, using one and two-dimensional models. A potential energy surface, showing an energy well for a transition complex, was generated using ab initio electronic structure calculations. The one-dimensional model is essentially reflection free, whereas the more realistic two-dimensional model displays involved resonance structures in the reaction probability. The reaction rate is almost two orders of magnitude smaller for the two-dimensional compared to the one-dimensional model. Energetic errors in the potential energy surface is estimated to affect the rate by only a factor of two. This shows that for these types of reactions it is more important to increase the dimensionality of the modeling than to increase the accuracy of the electronic structure calculation.
![Research paper thumbnail of A combined computational and experimental study of the [Co(bpy)3]2+/3+ complexes as one-electron outer-sphere redox couples in dye-sensitized solar cell electrolyte media](https://attachments.academia-assets.com/44367659/thumbnails/1.jpg)
Physical Chemistry Chemical Physics, 2014
We report a combined experimental and computational study of polynuclear [Run(TPPZ)n+1] 2n+ compl... more We report a combined experimental and computational study of polynuclear [Run(TPPZ)n+1] 2n+ complexes, of interest in the field of photoactive polymers. The complexes with n ) 1, 2, 3 and n > 5 have been synthesized and spectroscopically characterized. A red-shift of the visible band maximum from 2.59 to 2.03 eV is observed going from the monomer to the longer oligomeric species (n > 5). To characterize the geometries, electronic structure, and excited states of these complexes, density functional theory (DFT) and time-dependent DFT calculations on the [Run(TPPZ)n+1] 2n+ series with n ) 1-4 in solution have been performed. The agreement between experimental and calculated spectra is good, both in terms of absorption maximum energies and relative intensities for different values of n. For all the investigated complexes, we assign the main band in the visible region as a metal-to-metal plus ligand charge transfer (MMLCT) transition. The resulting excited states are delocalized throughout the entire complexes, as they originate from a superposition of π*(TPPZ)-t2g(Ru) states. The low-energy shoulder of the main visible absorption band, present in the experimental spectra for n > 1, is proposed to arise from spin-forbidden singlet-triplet transitions of similar MMLCT character, consistent with the observed enhancement of this feature in the spectra of the corresponding Os oligomers.

Mechanisms for the Breakdown of Halomethanes through Reactions with Ground-State Cyano Radicals
ChemPhysChem, 2014
One route to break down halomethanes is through reactions with radical species. The capability of... more One route to break down halomethanes is through reactions with radical species. The capability of the artificial force-induced reaction algorithm to efficiently explore a large number of radical reaction pathways has been illustrated for reactions between haloalkanes (CX3 Y; X=H, F; Y=Cl, Br) and ground-state ((2) Σ(+) ) cyano radicals (CN). For CH3 Cl+CN, 71 stationary points in eight different pathways have been located and, in agreement with experiment, the highest rate constant (10(8) s(-1) M(-1) at 298 K) is obtained for hydrogen abstraction. For CH3 Br, the rate constants for hydrogen and halogen abstraction are similar (10(9) s(-1) M(-1) ), whereas replacing hydrogen with fluorine eliminates the hydrogen-abstraction route and decreases the rate constants for halogen abstraction by 2-3 orders of magnitude. The detailed mapping of stationary points allows accurate calculations of product distributions, and the encouraging rate constants should motivate future studies with other radicals.

Ab initio quantum mechanical calculation of the reaction probability for the reaction
Chemical Physics, 2013
ABSTRACT The SN2 substitution reactions at phosphorus play a key role in organic and biological p... more ABSTRACT The SN2 substitution reactions at phosphorus play a key role in organic and biological processes. Quantum molecular dynamics simulations have been performed to study the prototype reaction Cl-+PH2Cl→ClPH2+Cl-, using one and two-dimensional models. A potential energy surface, showing an energy well for a transition complex, was generated using ab initio electronic structure calculations. The one-dimensional model is essentially reflection free, whereas the more realistic two-dimensional model displays involved resonance structures in the reaction probability. The reaction rate is almost two orders of magnitude smaller for the two-dimensional compared to the one-dimensional model. Energetic errors in the potential energy surface is estimated to affect the rate by only a factor of two. This shows that for these types of reactions it is more important to increase the dimensionality of the modeling than to increase the accuracy of the electronic structure calculation.

Journal of Computational Chemistry, 2014
We present a new approach for the calculation of dynamic electron correlation effects in large mo... more We present a new approach for the calculation of dynamic electron correlation effects in large molecular systems using multiconfigurational second-order perturbation theory (CASPT2). The method is restricted to cases where partitioning of the molecular system into an active site and an environment is meaningful. Only dynamic correlation effects derived from orbitals extending over the active site are included at the CASPT2 level of theory, whereas the correlation effects of the environment are retrieved at lower computational costs. For sufficiently large systems, the small errors introduced by this approximation are contrasted by the substantial savings in both storage and computational demands compared to the full CASPT2 calculation. Provided that static correlation effects are correctly taken into account for the whole system, the proposed scheme represent a hierarchical approach to the electron correlation problem, where two molecular scales are treated each by means of the most suitable level of theory.
Phys. Chem. Chem. Phys., 2015
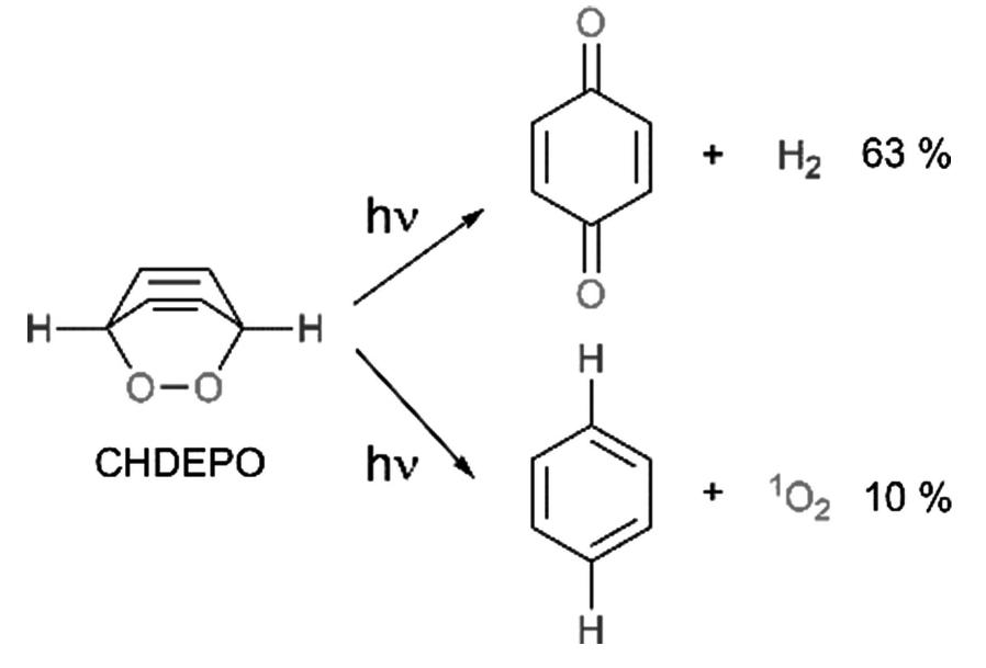
Excited-state chemistry is usually ascribed to photo-induced processes, such as fluorescence, pho... more Excited-state chemistry is usually ascribed to photo-induced processes, such as fluorescence, phosphorescence, and photochemistry, or to bio-and chemiluminescence, in which light emission originates from a chemical reaction. A third class of excited-state chemistry is, however, possible. It corresponds to the photochemical phenomena produced by chemienergizing certain chemical groups without light -chemiexcitation. By studying Dewar dioxetane, which can be viewed as the combination of 1,2-dioxetane and 1,3-butadiene, we show here how the photo-isomerization channel of 1,3-butadiene can be reached at a later stage after the thermal decomposition of the dioxetane moiety.

Revisiting the Non-Adiabatic Process in 1,2-Dioxetane
J. Chem. Theory Comput.
Determining the ground and excited-state decomposition mechanisms of 1,2-dioxetane is essential t... more Determining the ground and excited-state decomposition mechanisms of 1,2-dioxetane is essential to understand the chemiluminescence and bioluminescence phenomena. Several experimental and theoretical studies has been performed in the past without reaching a converged description. The reason is in part associated with the complex nonadiabatic process taking place along the reaction. The present study is an extension of a previous work (De Vico, L.; Liu, Y.-J.; Krogh, J. W.; Lindh, R. J. Phys. Chem. A 2007, 111, 8013–8019) in which a two-step mechanism was established for the chemiluminescence involving asynchronous O–O′ and C–C′ bond dissociations. New high-level multistate multi configurational reference second-order perturbation theory calculations and ab initio molecular dynamics simulations at constant temperature are performed in the present study, which provide further details on the mechanisms and allow to rationalize further experimental observations. In particular, the new results explain the high ratio of triplet to singlet dissociation products.

Ab initio quantum mechanical calculation of the reaction probability for the Cl- + PH2Cl -> ClPH2 + Cl- reaction
Chemical Physics
The SN2 substitution reactions at phosphorus play a key role in organic and biological processes.... more The SN2 substitution reactions at phosphorus play a key role in organic and biological processes. Quantum molecular dynamics simulations have been performed to study the prototype reaction Cl-+PH2Cl→ClPH2+Cl-, using one and two-dimensional models. A potential energy surface, showing an energy well for a transition complex, was generated using ab initio electronic structure calculations. The one-dimensional model is essentially reflection free, whereas the more realistic two-dimensional model displays involved resonance structures in the reaction probability. The reaction rate is almost two orders of magnitude smaller for the two-dimensional compared to the one-dimensional model. Energetic errors in the potential energy surface is estimated to affect the rate by only a factor of two. This shows that for these types of reactions it is more important to increase the dimensionality of the modeling than to increase the accuracy of the electronic structure calculation.
Uploads
Papers by Pooria Farahani