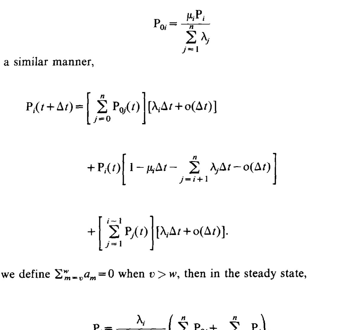
Robert T Lackey - Oregon State University