Papers by Sevcan Demir Atalay

Communications in Statistics - Simulation and Computation, Nov 13, 2017
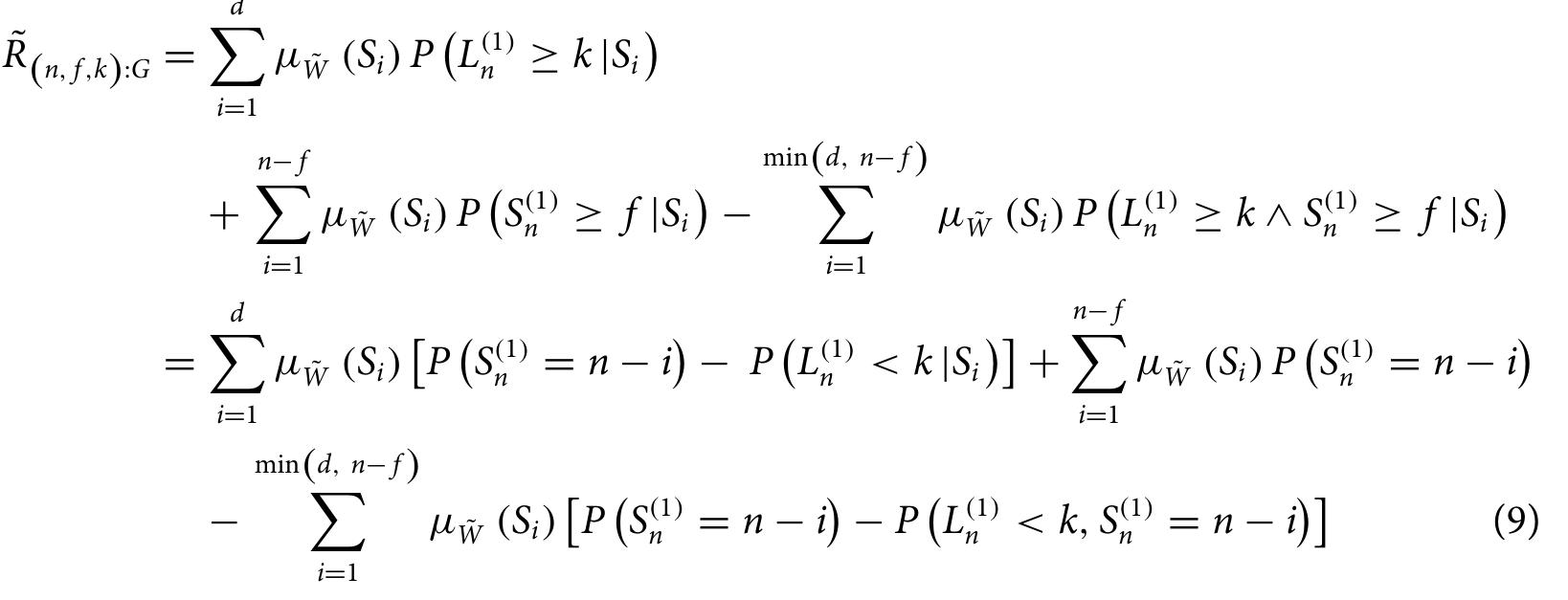
In this study, the profust reliabilities of (n, f, k) : F (G) and <n, f, k> : F (G) systems for M... more In this study, the profust reliabilities of (n, f, k) : F (G) and <n, f, k> : F (G) systems for Markov dependent components are investigated. Having two failure criteria are the common features of these four systems. The usage of both fuzzy approach and two failure criteria in the same system provides us more realistic approach to evaluate the reliability of more complex systems. The component configurations are examined for both linear and circular sequences and the working principle of systems are studied for both F and G systems. Under all these assumptions, the profust reliabilities of (n, f, k) : F (G) and < n, f, k>: F (G) systems are obtained using the distribution of run statistics. Also a new membership function different from the linear membership function which is generally used in the literature is proposed. Some numerical results which allow the comparison of the systems from various perspectives and various figures for both linear and circular type systems are presented. Some special cases (between Markov-iid assumption, conventional-profust reliability) are also considered.

Ege Journal of Fisheries and Aquatic Sciences, Dec 15, 2022
This study was conducted in order to develop different statistical models for estimating the bact... more This study was conducted in order to develop different statistical models for estimating the bacterial count of squid rings marinated with lemon juice and mineral water after cooking. The marination ratios and times were as follows: (10:90; 90:10; 50:50; 100:100/100 g squid ring) and (1, 3, 6, 12, 24, 48 and 72 h), respectively. The effects of marination ratios and times on the microbiological and sensory changes of the cooked squid rings were observed at 4°C. Pathogenic bacteria (Vibrio spp., Staphylococcus aureus and Escherichia coli) were not found in the cooked (C) and cooked marinated (CM) squid rings in the present study. The TMC (total mesophilic aerobic bacteria counts) of all groups were determined as consumable at 72 h, whereas the TMC of C and CM samples (C7, CM7, CM14, CM21, CM28) increased to 5.92, 5.83, 5.71, 5.57 and 5.42 log cfu/g, respectively. Regression models were created to estimate the TMC and lactic acid bacteria count (LBC) of cooked squid rings during the marination process at 4°C to determine the increasing rates of bacterial growth of samples. As a result of this study; when compared with Model I and Model II; both of them can be preferred for predicting the TMC of C and CM samples. The variability in the TMC of C and CM squid samples was obtained as 93% in Model I, whereas the variability in the TMC of these samples was observed as 91% in Model II. So, these two models performed well, and they can be used for predicting the TMC of C and CM samples. Additionally, Model III was also developed for estimating the prediction value of LBC of cooked squid samples during the marination process at 4°C. This model was also determined very good performance (86%) to estimate the predicting values of LBC and it can be very essential together used with Model I or Model II for marinated fishery products to estimate the real shelf-life.

Europan journal of science and technology, Nov 21, 2022
Öz Etki-dayanıklılık modelleri güvenilirlik analizinde önemli bir role sahiptir. Bu modelde etki ... more Öz Etki-dayanıklılık modelleri güvenilirlik analizinde önemli bir role sahiptir. Bu modelde etki değişkeni, bir bileşene (sisteme) dışarıdan etki eden faktörlere, dayanıklılık değişkeni ise bileşenin (sistemin) bu dış faktörlere karşı gösterdiği dirence karşılık gelmektedir. Bu çalışma kapsamında; faaliyetteki bir işletmenin her bir deposunda talep ve teslim süresi rasgele olan bir (,) envanter yönetim modelinin kullanıldığı varsayımı üzerine bir simülasyon çalışması yapılmıştır. Çalışmanın hedefi, tek bir deponun toplam maliyeti ve depo için önceden belirlenmiş olan bütçe ele alınarak işletmenin envanter yönetim modelinin güvenilirliğinin etki-dayanıklılık modellerinden yararlanılarak hesaplanmasıdır. Diğer hedef, farklı yeniden sipariş noktaları kullanılarak işletmenin tek bir deposunun envanter yönetim modelinin optimizasyonunun yapılması ve modelin güvenilirliğini maksimum düzeye çıkaran yeniden sipariş noktalarının belirlenmesidir. İşletmenin tek bir deposu için envanter yönetim modelinin toplam maliyeti dayanıklılık rasgele değişkeni () ve depo için önceden belirlenmiş olan bütçe de etki rasgele değişkeni () olarak ele alınmış; bu değişkenlerin normal dağılımdan geldiği durum için envanter sisteminin güvenilirliğine karşılık gelen (>) olasılığı hesaplanmıştır. Envanter yönetim modelinin varsayımlarının değişmesinin sistem güvenilirliği üzerindeki etkisinin incelenmesi amacıyla envanter varsayımlarından bazıları değiştirilmiş ve bu olasılık tekrar hesaplanmıştır. Hesaplanan güvenilirlik değerleri karşılaştırılmış ve envanter yönetim modelinin güvenilirliği analiz edilmiştir.
Using Grey and Regression Prediction Models to Estimate the Aerobic Plate Bacteria Counts on Frozen Squid Rings (Loligo vulgaris Lamarck, 1798) During the Thawing Process
Archiv Fur Lebensmittelhygiene, 2021

IEEE Transactions on Reliability, Mar 1, 2014
We study the reliabilities of circular and systems. These systems involve two common failure crit... more We study the reliabilities of circular and systems. These systems involve two common failure criteria which are more suitable for real world applications. Explicit formulas for the reliabilities of these circular systems are obtained for Markov-dependent components using the distribution theory of runs. The obtained results are also important for the distribution theory of runs. Moreover, the presented formulas consist of combinatorial terms, and therefore enable easier calculations. Some numerical results and the results of a simulation study are presented. Index Terms-Circular system, circular system, Markov-dependent trials, run statistics, common failure criteria, longest run statistic. NOTATION number of components state of component for total number of successes in total number of failures in total number of success runs in a circular sequence of total number of failure runs in a circular sequence of longest success run in a circular sequence of longest failure run in a circular sequence of reliability of circular system reliability of circular system reliability of circular system reliability of circular system I. INTRODUCTION I N the literature, various system structures have been defined, and calculations of the reliabilities of these systems have been studied. In the work of Chiang and Niu [4], a telecommunications system with relay stations, and an oil pipeline Manuscript
Journal of Statistical Planning and Inference, Mar 1, 2013
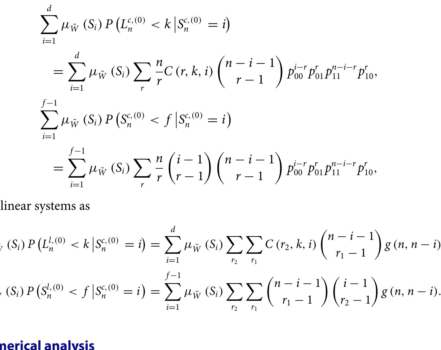
Let X 1 ,y,X n be an exchangeable sequence of binary trials arranged on a circle with possible va... more Let X 1 ,y,X n be an exchangeable sequence of binary trials arranged on a circle with possible values ''1'' (success) or ''0'' (failure). In an exchangeable sequence, the joint distribution of X 1 ,X 2 ,y,X n is invariant under the permutation of its arguments. For the circular sequence, general expressions for the joint distributions of run statistics based on the joint distribution of success and failure run lengths are obtained. As a special case, we present our results for Bernoulli trials. The results presented consist of combinatorial terms and therefore provide easier calculations. For illustration purposes, some numerical examples are given and the reliability of the circular combined k-outof-n:G and consecutive k c-out-of-n:G system under stress-strength setup is evaluated.
Stress-strength reliability of multi-component system using response surface approach
Communications in Statistics - Simulation and Computation, Nov 17, 2022

Microbial ecology of different sardine parts stored at different temperatures and the development of prediction models
Food bioscience, Dec 1, 2020
Abstract The microbial ecology of sardines stored at 4 and 10˚C was determined using the Applicat... more Abstract The microbial ecology of sardines stored at 4 and 10˚C was determined using the Application Programming Interface (API) test with a stated statistical accuracy (%) at the species level for lactic acid bacteria, Enterobacteriaceae and Staphylococcus species. The microbial ecology of the gill (a), skin (b), meat (c) and intestine (d) of sardines stored at 4˚C was as follows; (a) Leuconostoc mesenteroides spp. 99.9%, Candida ciferrii 99.9%, Serratia odorifera 97.9%; (b) Enterobacter cloacae 95.6%, Pantoea spp. 62.8%, Pseudomonas luteola 99.7%, Rahnella aquatilis 78.3%; (c) Acinetobacter baumannii/calcoaceticus 98.5%, Pantoea spp. 62.8%, L. mesenteroides spp. 99.9% and (d) L. mesenteroides spp. 99.9%, Aeromonas hydrophila 65.4%. The microbial ecology of gill (e), skin (f), meat (g) and intestine (h) of sardines stored at 10˚C was as follows: (e) Cryptococcus humicola 79.9%, Cryptococcus laurentii 99.4%, Candida guilliermondii 99.8%, Staphylococcus lentus 99.4%; (f) L. mesenteroides spp. 99.9%, Candida ciferri 53.8 to 87.9%; (g) Pantoea spp. 25.4 to 70.5%, Morganella morganii 96.6% and (h) C. ciferrii 53.8 to 87.9%, A. hydrophila/caviae 97.8%, Cronobacter spp. 96.5%. All bacteria counts were mainly observed in the order: intestine> gill> skin> meat, at both storage temperatures. Statistical prediction models were developed to estimate the quality and shelf-life of sardines during storage. The quality of sardines was measured using regression models. The Pearson correlation r between storage times for the quality and shelf-life of gill, meat and intestine was 0.86 for sardines stored at 4˚C (model 1), and was r = 1 for storage times for the quality of gill and meat at 4 and 10˚C (model 2).

Journal of Asian Architecture and Building Engineering, Sep 1, 2017
Building heating, ventilation, and air conditioning (HVAC) systems contribute substantially to th... more Building heating, ventilation, and air conditioning (HVAC) systems contribute substantially to the energy consumption of buildings. Today, traditional HVAC systems mostly operate according to the maximum occupancy assumption, which in turn increases energy consumption during periods of low occupancy. Although, recently, implementing demand-driven HVAC operations are accepted as an innovate approach for reducing HVAC-related energy consumption, occupancy forecast is important to realize demand-driven HVAC operations in buildings. This study aims at using time series models in order to forecast the daily number of bank customers in a financial center of a bank, which is located in Izmir, Turkey. Data were collected from the computerized tracking system for a period of 60 weeks and two forecasting methods were used: 1) Decomposition Method, 2) Box-Jenkins Method. To determine the final model identified via the Box-Jenkins Method, goodness-of-fit, residual analysis and Akaike information criterion were taken into consideration. The results show that the SARIMA model with a MAPE of 11% yields a good occupancy forecast for supporting demand-driven HVAC operations.
Stress-strength reliability of multi-component system using response surface approach
Communications in Statistics - Simulation and Computation
RELIABILITY OF REPAIRABLE 푘–out–of–푛: F SYSTEM HAVINGDISCRETE REPAIR AND FAILURE TIMES DISTRIBUTIONS

Determining the effects of aquatic animals training on building awareness of pre-school children
Farklı statüde yer alan okullara devam eden okul öncesi 5 ve 6 yaş grubundaki toplam 120 çocuğa s... more Farklı statüde yer alan okullara devam eden okul öncesi 5 ve 6 yaş grubundaki toplam 120 çocuğa su ürünleri hakkında çeşitli etkinlikler dâhilinde eğitim verilmiştir. Eğitim TÜBİTAK tarafından desteklenmiştir. Verilen eğitimin, çocuklarda su ürünleri hakkında farkındalık oluşumuna katkısının belirlenmesi amacıyla eğitim öncesi ön test ve sonrasında son test iki anket çalışması uygulanmıştır. Çalışmada yapılan analizler önce-sonra karşılaştırması biçiminde verilmiştir. Anket çalışması içerisinde yer alan sorular için ön test ve son teste ilişkin yüzde oranları hesaplanmış, eğitimin yaş gruplarına ve okullara göre fark yaratıp yaratmadığını görmek amacıyla ön ve son testin yaşlara ve okullara göre dağılımları frekans ve yüzdeler olarak elde edilmiş, ilgili istatistiksel testler yapılmıştır. Anket çalışması sonuçlarına göre eğitimden önce 11 deniz canlısını tanıyan çocukların oranı %20 iken, eğitim sonrasında bu oran %65'lere yükselmiştir. Yine anket çalışmasında çocuklara yöneltil...

Determining the effects of aquatic animals training on building awareness of pre-school children
Farklı statüde yer alan okullara devam eden okul öncesi 5 ve 6 yaş grubundaki toplam 120 çocuğa s... more Farklı statüde yer alan okullara devam eden okul öncesi 5 ve 6 yaş grubundaki toplam 120 çocuğa su ürünleri hakkında çeşitli etkinlikler dâhilinde eğitim verilmiştir. Eğitim TÜBİTAK tarafından desteklenmiştir. Verilen eğitimin, çocuklarda su ürünleri hakkında farkındalık oluşumuna katkısının belirlenmesi amacıyla eğitim öncesi ön test ve sonrasında son test iki anket çalışması uygulanmıştır. Çalışmada yapılan analizler önce-sonra karşılaştırması biçiminde verilmiştir. Anket çalışması içerisinde yer alan sorular için ön test ve son teste ilişkin yüzde oranları hesaplanmış, eğitimin yaş gruplarına ve okullara göre fark yaratıp yaratmadığını görmek amacıyla ön ve son testin yaşlara ve okullara göre dağılımları frekans ve yüzdeler olarak elde edilmiş, ilgili istatistiksel testler yapılmıştır. Anket çalışması sonuçlarına göre eğitimden önce 11 deniz canlısını tanıyan çocukların oranı %20 iken, eğitim sonrasında bu oran %65'lere yükselmiştir. Yine anket çalışmasında çocuklara yöneltil...
Using Grey and Regression Prediction Models to Estimate the Aerobic Plate Bacteria Counts on Frozen Squid Rings (Loligo vulgaris Lamarck, 1798) During the Thawing Process
Archiv Fur Lebensmittelhygiene, 2021

Improved Grey Verhulst model with the constant term and its application to forecast energy demand
Proceedings of the Institution of Civil Engineers - Engineering Sustainability, 2022
The importance of accurate energy demand modeling has increased to support the decision-making of... more The importance of accurate energy demand modeling has increased to support the decision-making of policy makers for ensuring a safe energy supply. However, forecasting energy demand has several difficulties due to the complexity in the supply line, demand increase, nonlinearity of data and volatility of energy usage. In this study, an improved Grey Verhulst model with the Constant Term (GVMCT), which is based on the Grey model, is introduced for improving the accuracy of energy demand prediction models. Within this context, total residential electricity demand of the U.S. and Turkey are modeled via linear and quadratic trend models as well as 3 grey models, including the proposed GVMCT model. The effectiveness of the models is assessed based on the Mean Absolute Error, Mean Squared Error, and Root-Mean Square Error. The results show that linear trend is the best performing model with a MAE of 34564.81844 for the U.S. data whereas the proposed GVMCT with a MAE of 4130.086917 outperfo...

Turkiye’de satisa sunulan cok sayida atistirmalik urun olmasina karsin, bu urunlerin cogunun besl... more Turkiye’de satisa sunulan cok sayida atistirmalik urun olmasina karsin, bu urunlerin cogunun beslenmeye katkilarinin olmadigi literaturde belirtilmektedir. Buna karsin, atistirmaliklarin beslenmeye katki saglamasi, insan sagligi acisindan yararli olan su urunlerinden elde edilmesi, Turk damak tadina uygun olarak uretilmesi, endustriye kazandirilarak tuketiminin arttirilmasi gerekmektedir. Dunyada ise su urunleri icerikli atistirmaliklar satisa sunulup tuketilmesine ragmen, ulkemizde endustriyel anlamda su urunlerinden atistirmalik uretimi ve satisi bulunmamaktadir. Bu amacla calismada saglik acisindan faydali kalamar atistirmaliklarinin uretilmesi ve uretilen bu atistirmaliklarin duyusal acidan degerlendirilmesi hedeflenmistir. Calismada kalamarlardan 12 farkli baharat (toz kirmizibiber, kimyon, kekik, yenibahar, corek otu, susam, karabiber, zerdecal, zencefil, sogan tozu, sarimsak tozu, tarcin) kullanilarak tuketime hazir baharat kapli kalamar atistirmaliklari elde edilmistir. Her ...
RELIABILITY OF REPAIRABLE k–out–of–n: F SYSTEM HAVING DISCRETE REPAIR AND FAILURE TIMES DISTRIBUTIONS
In this paper, repairable k – out – of – n:F system with single repairman is studied. The failure... more In this paper, repairable k – out – of – n:F system with single repairman is studied. The failure and repair times of components are assumed as geometric distribution which is one of the discrete distributions. Both the generalized and steady state transition probabilities of the states for the related system are obtained. The recursive relations for the reliability of the system are generated. Also, using geometric transformation technique, the MTSF (Mean Time System Failure) of the system is obtained. As an example of this system, 3 – out – of – 5:F system is considered. The transition probabilities, reliability and MTSF of this system are obtained and some graphs for the reliability and MTSF are drawn for different values of failure and repair time parameters.
Microbial ecology of different sardine parts stored at different temperatures and the development of prediction models
Food Bioscience
Microbial ecology of different sardine parts stored at different temperatures and the development of prediction models
Food Bioscience

Journal of Asian Architecture and Building Engineering, Sep 1, 2017
Building heating, ventilation, and air conditioning (HVAC) systems contribute substantially to th... more Building heating, ventilation, and air conditioning (HVAC) systems contribute substantially to the energy consumption of buildings. Today, traditional HVAC systems mostly operate according to the maximum occupancy assumption, which in turn increases energy consumption during periods of low occupancy. Although, recently, implementing demand-driven HVAC operations are accepted as an innovate approach for reducing HVAC-related energy consumption, occupancy forecast is important to realize demand-driven HVAC operations in buildings. This study aims at using time series models in order to forecast the daily number of bank customers in a financial center of a bank, which is located in Izmir, Turkey. Data were collected from the computerized tracking system for a period of 60 weeks and two forecasting methods were used: 1) Decomposition Method, 2) Box-Jenkins Method. To determine the final model identified via the Box-Jenkins Method, goodness-of-fit, residual analysis and Akaike information criterion were taken into consideration. The results show that the SARIMA model with a MAPE of 11% yields a good occupancy forecast for supporting demand-driven HVAC operations.
Uploads
Papers by Sevcan Demir Atalay