Papers by Vahid Teknik
Estimation of the Depth to the Magnetic Basement in Europe Using the Spectral Method
Pure and Applied Geophysics, Apr 4, 2024

Geodynamics of the Central Tethyan Belt Revisited: Inferences From Crustal Magnetization in the Anatolia‐Caucasus‐Black Sea Region
Tectonics
We calculate the depth to magnetic basement and the average crustal magnetic susceptibility, whic... more We calculate the depth to magnetic basement and the average crustal magnetic susceptibility, which is sensitive to the presence of iron-rich minerals, to interpret the present structure and the tecto-magmatic evolution in the Central Tethyan belt. Our results demonstrate exceptional variability of crustal magnetization with smooth, small-amplitude anomalies in the Gondwana realm and short-wavelength high-amplitude variations in the Laurentia realm. Poor correlation between known ophiolites and magnetization anomalies indicates that Tethyan ophiolites are relatively poorly magnetized, which we explain by demagnetization during recent magmatism. We analyze regional magnetic characteristics for mapping previously unknown oceanic fragments and mafic intrusions, hidden beneath sedimentary sequences or overprinted by tectono-magmatic events. By the style of crustal magnetization, we distinguish three types of basins and demonstrate that many small-size basins host large volumes of magmatic rocks within or below the sedimentary cover. We map the width of magmatic arcs to estimate paleo-subduction dip angle and find no systematic variation between the Neo-Tethys and Paleo-Tethys subduction systems, while the Pontides magmatic arc has shallow (∼15°) dip in the east and steep (∼50°–55°) dip in the west. We recognize an unknown, buried 450 km-long magmatic arc along the western margin of the Kırşehir massif formed above steep (55°) subduction. We propose that lithosphere fragmentation associated with Neo-Tethys subduction systems may explain high-amplitude, high-gradient crustal magnetization in the Caucasus Large Igneous Province. Our results challenge conventional regional geological models, such as Neo-Tethyan subduction below the Greater Caucasus, and call for reevaluation of the regional paleotectonics.
Tethys Related Continental Collision Imaged by Magnetic and Gravity Modelling
EGU General Assembly Conference Abstracts, Apr 1, 2019
Crustal Structure in the Turkish-Iranian-Caucasus Region from Magnetic Data
Tectonophysics, 2020
A new tectonic map of the Iranian plateau based on aeromagnetic identification of magmatic arcs a... more A new tectonic map of the Iranian plateau based on aeromagnetic identification of magmatic arcs and ophiolite belts.
Acta Geologica Sinica - English Edition, 2019
Thetys Subduction and Continental Collision from Potential Field Modelling
Crustal Structure in the Turkish-Iranian-Caucasus Region from Magnetic Data
AGU Fall Meeting Abstracts, Dec 1, 2019

Geophysical Journal International, 2017
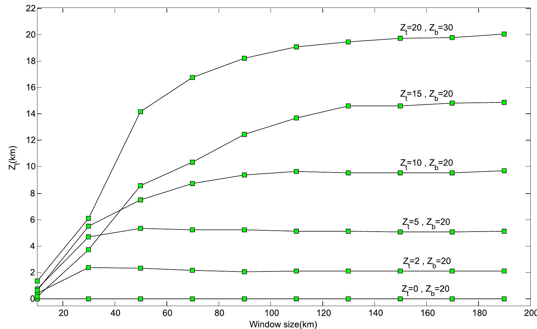
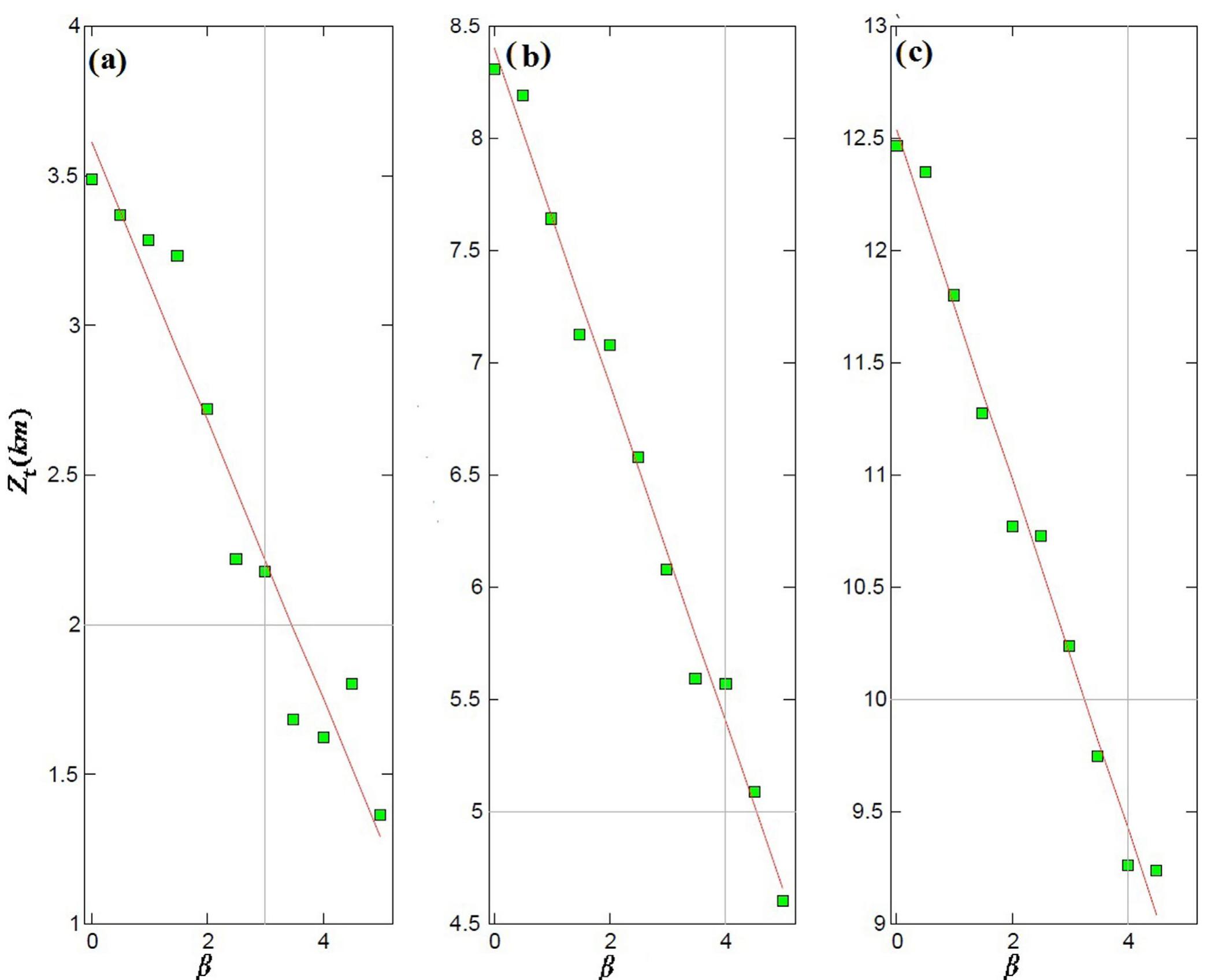
To estimate the shape of sedimentary basins, a critical parameter in hydrocarbon exploration, we ... more To estimate the shape of sedimentary basins, a critical parameter in hydrocarbon exploration, we calculated the depth of magnetic basement by applying a fractal spectral method to the aeromagnetic map of Iran. The depth of magnetic basement is a close proxy for the shape of sedimentary basins provided that igneous basement is strongly magnetized relative to the overlying sediments and there is no interbedding magnetic layer in the sediments. The shape of the power spectrum of magnetic anomalies is sensitive to the depth of magnetic basement, the thickness of the magnetic layer, the fractal parameter of magnetization and the size of the window used for the calculation of the power spectrum. Using a suite of synthetic tests, we have shown that the estimation of the depth of magnetic basement of up to 20 km is not very sensitive to the often unknown fractal parameter and thus the spectral method is a reliable tool to calculate the depth of magnetic basement. The depth of magnetic basement is in the range of 7-16 km in the Zagros, east Alborz, Tabas, Jazmurian and Makran regions, showing a close correlation with depths estimated from the maximum thickness of stratigraphic columns. We have also found new sedimentary basins in Bostan Abad, Bijar and south of Orumiyeh Lake. The significant depth of the magnetic basement in the Makran, Jazmurain depression, southeast Caspian Sea, Tabas, Great Kavir, south of Orumiyeh Lake, Bostan Abad and Bijar sedimentary basins makes them future prospects for hydrocarbon explorations. The depth of magnetic basement is strongly reduced over the Neyriz and Kermanshah Ophiolites, but it does not show any meaningful correlation with other outcrops of ophiolitic rocks in Iran.

Crustal structure in the central Tethys realm
<p>The central Tethys realm including Anatolia, Caucasus and Iran i... more <p>The central Tethys realm including Anatolia, Caucasus and Iran is one of the most<br>complex geodynamic settings within the Alpine-Himalayan belt. To investigate the<br>tectonics of this region, we estimate the depth to magnetic basement (DMB) as a<br>proxy for the shape of sedimentary basins, and average crustal magnetic<br>susceptibility (ACMS) by applying the fractal spectral method to aeromagnetic data.<br>Magnetic data is sensitive to the presence of iron-rich minerals in oceanic fragments<br>and mafic intrusions hidden beneath sedimentary sequences or overprinted by<br>younger tectono-magmatic events. Furthermore, a seismically constrained 2D<br>density-susceptibility model along Zagros is developed to study the depth extent of<br>the tectonic structure.<br>Comparison of DMB and ACMS demonstrates that the structural complexity<br>increases from the Iranian plateau into Anatolia.<br>Strong ACMS show lineaments coincides with known occurrences of Magmatic-<br>Ophiolite Arcs (MOA) and weak ACMS zones coincide with known sedimentary<br>basins in the study region, including Zagros. Based on strong ACMS anomalies, we<br>identify hitherto unknown MOAs below the sedimentary cover in eastern Iran and in<br>the SE part of Urima-Dokhtar Magmatic Arc (UDMA). Our results allow for<br>estimation of the dip of the related paleo-subduction zones. Known magmatic arcs<br>(Pontides and Urima-Dokhtar) have high-intensity heterogeneous ACMS. We<br>identify a 450 km-long buried (DMB >6 km) magmatic arc or trapped oceanic crust<br>along the western margin of the Kirşehır massif in Anatolia from a strong ACMS<br>anomaly. We identify large, partially buried magmatic bodies in the Caucasus LIP at<br>the Transcaucasus and Lesser Caucasus and in NW Iran. Strong ACMS anomalies<br>coincides with tectonic boundaries and major faults within the Iranian plateau while<br>the ACMA signal is generally weak in Anatolia. The Cyprus subduction zone has a</p><p>strong magnetic signature which extends ca. 500 km into the Arabian plate to the<br>south of the Bitlis suture.<br>We derive a 2D crustal-scale density-susceptibility model of the NW Iranian plateau<br>along a 500 km long seismic profile across major tectonic provinces of Iran from the<br>Arabian plate to the South Caspian Basin (SCB). A seismic P-wave receiver function<br>section is used to constrain major crustal boundaries in the density model. We<br>demonstrate that the Main Zagros Reverse Fault (MZRF), between the Arabian and<br>the overriding Central Iran crust, dips at ~13° angle to the NE and extends to a depth<br>of ~40 km. The trace of MZRF suggests ~150 km underthrusting of the Arabian plate<br>beneath Central Iran. We identify a new crustal-scale suture beneath the Tarom<br>valley separating the South Caspian Basin crust from Central Iran. High density lower<br>crust beneath Alborz and Zagros may be related to partial eclogitization of crustal<br>roots at depths deeper than ~40 km.</p>
Crustal structure of NW of the Iranian Plateau based on 2D interpretation of gravity, aeromagnetic, and seismic data
Published in: Canadian Journal of Earth Sciences DOI: 10.1139/cjes-2018-0232 Publication date: 20... more Published in: Canadian Journal of Earth Sciences DOI: 10.1139/cjes-2018-0232 Publication date: 2019 Document version Publisher's PDF, also known as Version of record Document license: Other Citation for published version (APA): Teknik, V., Ghods, A., Thybo, H., & Artemieva, I. (2019). Crustal density structure of NW Iranian Plateau. Canadian Journal of Earth Sciences. https://doi.org/10.1139/cjes-2018-0232

Magmatic arcs, ophiolite belts and sedimentary basins in Anatolia interpreted from magnetic data
<p>Maps of depth to magnetic basement and crustal average susceptibility for the An... more <p>Maps of depth to magnetic basement and crustal average susceptibility for the Anatolian plateau and adjacent regions are calculated by applying a spectral method to the magnetic data. The first map provides information on the shape of the sedimentary basins and the latter map is used for tracking magmatic arcs and ophiolite belts, which are covered by sediment and/or overprinted by different phases of magmatism and ophiolite emplacement. This is possible because magmatic and ophiolite rocks generally have the highest magnetic susceptibility values, and the huge contrast to sedimentary rocks makes magnetic data very useful.</p> <p>The results shows a heterogeneous pattern associated with a mosaic of the many continental blocks, Tethyside sutures, magmatism and former subduction systems in Anatolia. Major basins such as northern part of the Arabian plateau, Black Sea basin, Mediterranean Sea basin and central Anatolian micro-basins are highlighted by very deep magnetic basement. Shallow magnetic basement is generally prominent in eastern Anatolia, and may represent that large amounts of magmatic rocks were emplacement during the convergence and compression of the Arabian plate, whereas a sporadic and asymmetric pattern of sedimentary basins in western Anatolia may have developed in the frame of the extensional regime. The average susceptibility map reveals extension of the Pontide magmatic arc in the north of Anatolia, following the coastline of the Black Sea. The average susceptibility indicates magmatism or ophiolite emplacement around the Kirşehır block. A 400 km long NW–SE elongated average susceptibility anomaly extends from south to NW of the Kirşehır beneath the Quaternary sediments, while the depth to magnetic basement indicate more than 6 km sediments. We speculate that this anomaly indicates a covered magnetic arc or a trapped part of oceanic crust. The westeward extension of the Urima-Dokhtar magmatic arc (UDMA) from the Iranian plateau fades away towards to Central Anatolian plateau. It suggest a geological boundary around the border between Iran and Turkey, which caused different magmatism between the two sides. A near zero magnetic anomaly in the Menderes massif region in the southwest of Turkey indirectly suggests a high geothermal gradient and hydrothermal activity that reduce the susceptibility of the rocks. This observation is in agreement with the crustal thinning and many geothermal fields of the Menderes massif.</p>

Tethys Belt in the Anatolia-Caucasus-Black Sea Region: Basins, Magmatic Arcs, Ophiolites, and LIPs
<p>We interpret the paleotectonic evolution and structure i... more <p>We interpret the paleotectonic evolution and structure in the Tethyan belt by analyzing magnetic data sensitive to the presence of iron-rich minerals in oceanic fragments and mafic intrusions, hidden beneath sedimentary sequences or overprinted by younger tectono-magmatic events. By comparing the depth to magnetic basement (DMB) as a proxy for sedimentary thickness with average crustal magnetic susceptibility (ACMS), we conclude:</p><p> (1) Major ocean and platform basins have DMB >10 km. Trapped ocean relics may be present below Central Anatolian micro-basins with DMB at 6-8 km and high ACSM.  In intra-orogenic basins, we identify magmatic material within the sedimentary cover by significantly smaller DMB than depth to seismic basement.</p><p>(2) Known magmatic arcs (Pontides and Urima-Dokhtar) have high-intensity heterogeneous ACMS. We identify a 450 km-long buried (DMB >6 km) magmatic arc or trapped oceanic crust along the western margin of the Kirşehır massif from a strong ACMS anomaly. Large, partially buried magmatic bodies form the Caucasus LIP at the Transcaucasus and Lesser Caucasus and in NW Iran.</p><p>(3) Terranes of Gondwana affinity in the Arabian plate, S Anatolia and SW Iran have low-intensity homogenous ACMS.</p><p>(4) Local poor correlation between known ophiolites and ACMS anomalies indicate a small volume of presently magnetized material in the Tethyan ophiolites, which we explain by demagnetization during recent magmatism.</p><p>(5) ACMS anomalies are weak at tectonic boundaries and faults. However, the Cyprus subduction zone has a strong magnetic signature which extends ca. 500 km into the Arabian plate.</p>

The Iranian plateau is one of the most complex geodynamic settings within the Alpine-Himalayan be... more The Iranian plateau is one of the most complex geodynamic settings within the Alpine-Himalayan belt. The Paleo-Tethys and Neo-Tethys ocean subduction is responsible for the formation of several magmatic arcs and sedimentary basins within the plateau. These zones mostly are separated by thrust faults related to paleo-suture zones, which are highlighted by ophiolites. Sediment cover and overprint of a different magmatic phase from late Triassic to the Quaternary impede identification of some magmatic arcs and ophiolite belts. We track the known magmatic arcs, such as the Urmia-Dokhtar Magmatic Arc (UDMA), and unknown, sediment covered magmatic arcs by aeromagnetic data. We present a new map of average susceptibility calculated by the radially averaged power spectrum method. High average susceptibility values indicate the presence of a number of lineaments that correlate with known occurrences of Magmatic-Ophiolite Arcs (MOA), and low average susceptibility coincides with known sedimentary basins like Zagros, Makran, Kopeh-Dagh, and Tabas. In analogy to Zagros, low average susceptibility values indicate sedimentary basins to the south of the Darouneh fault and in the northern part of the Lut, Tabas and Yazd blocks. We interpret the Tabas basin as a pull-apart or back-arc basin. We identify hitherto unknown parallel MOAs in eastern Iran and the SE part of UDMA which both indicate steeply dipping (> 60°dip) paleo-subduction zones. In contrast, we interpret shallow subduction (< 20°dip) of Neo-Tethys in the NW part of UDMA as well as in the Sabzevar-Kavir MOA.

We present a new 2D crustal-scale model of the northwestern Iranian plateau based on gravity-magn... more We present a new 2D crustal-scale model of the northwestern Iranian plateau based on gravity-magnetic modeling along the 500 km long China-Iran Geological and Geophysical Survey in the Iranian plateau (CIGSIP) seismic profile across major tectonic provinces of Iran from the Arabian plate into the South Caspian Basin (SCB). The seismic P-wave receiver function (RF) model along the profile is used to constrain major crustal boundaries in the density model. Our 2D crustal model shows significant variation in the sedimentary thickness, Moho depth, and the depth and extent of intra-crustal interfaces. The Main Recent Fault (MRF) between the Arabian crust and the overriding central Iran crust dips at approximately 13°towards the northeast to a depth of about 40 km. The geometry of the MRF suggests about 150 km of underthrusting of the Arabian plate beneath central Iran. Our results indicate the presence of a high-density lower crustal layer beneath Zagros. We identify a new crustal-scale suture beneath the Tarom valley between the South Caspian Basin crust and Central Iran and the Alborz. This suture is associated with sharp variation in Moho depth, topography, and magnetic anomalies, and is underlain by a 20 km thick high-density crustal root at 35-55 km depth. The high-density lower crust in Alborz and Zagros may be related to partial eclogitization of crustal roots below about 40 km depth. The gravity and magnetic models indicate a highly extended continental crust for the SCB crust along the profile. Low observed magnetic susceptibility of the Kermanshah ophiolites likely indicates that the ophiolite rocks only form a thin layer that has been thrust over the sedimentary cover. Résumé : Nous présentons un nouveau modèle d'échelle crustale en 2D du nord-ouest du plateau iranien reposant sur la modélisation gravimétrique-magnétique le long du profil sismique CIGSIP de 500 km qui traverse de grandes provinces tectoniques d'Iran, de la plaque arabe jusque dans le bassin sud-caspien (BSC). Le modèle des ondes sismiques P reposant sur la méthode des fonctions récepteur le long du profil est utilisé pour déterminer l'emplacement de grandes limites crustales dans le modèle de densité. Notre modèle crustal en 2D montre d'importantes variations de l'épaisseur des sédiments, de la profondeur du Moho et de la profondeur et de l'étendue d'interfaces intracrustales. La faille récente principale (FRP) entre la croûte arabe et la croûte d'Iran central sus-jacente a un pendage d'environ 13°vers le NE jusqu'à une profondeur de ϳ40 km. La géométrie de la FRP indiquerait un sous-charriage sur ϳ150 km de la plaque arabe sous l'Iran central. Nos résultats indiquent la présence d'une couche de croûte inférieure de haute densité sous le Zagros. Nous avons cerné une nouvelle suture d'ampleur crustale sous la vallée de Tarom entre la croûte du bassin sud-caspien et l'Iran central et l'Elbourz. Cette suture est associée à une variation marquée de la profondeur du Moho, du relief et des anomalies magnétiques, et est sous-tendue par une racine crustale de haute densité de 20 km d'épaisseur à des profondeurs de 35 km à 55 km. La croûte inférieure de haute densité dans l'Elbourz et le Zagros pourrait être associée à l'éclogitisation partielle de racines crustales à des profondeurs de plus de ϳ40 km. Les modèles gravimétriques et magnétiques indiquent la présence d'une croûte continentale fortement distendue pour le BSC le long du profil. La faible susceptibilité magnétique observée dans les ophiolites de Kermanshah reflète probablement le fait que les roches ophiolitiques ne forment qu'une mince couche qui a été charriée sur la couverture sédimentaire. [Traduit par la Rédaction] Mots-clés : modélisation crustale prospective en 2D, anomalies gravimétriques et magnétiques, fonction récepteur, plateau iranien, Moho, épaisseur de sédiments.

S U M M A R Y To estimate the shape of sedimentary basins, a critical parameter in hydrocarbon ex... more S U M M A R Y To estimate the shape of sedimentary basins, a critical parameter in hydrocarbon exploration, we calculated the depth of magnetic basement by applying a fractal spectral method to the aeromagnetic map of Iran. The depth of magnetic basement is a close proxy for the shape of sedimentary basins provided that igneous basement is strongly magnetized relative to the overlying sediments and there is no interbedding magnetic layer in the sediments. The shape of the power spectrum of magnetic anomalies is sensitive to the depth of magnetic basement, the thickness of the magnetic layer, the fractal parameter of magnetization and the size of the window used for the calculation of the power spectrum. Using a suite of synthetic tests, we have shown that the estimation of the depth of magnetic basement of up to 20 km is not very sensitive to the often unknown fractal parameter and thus the spectral method is a reliable tool to calculate the depth of magnetic basement. The depth of magnetic basement is in the range of 7-16 km in the Zagros, east Alborz, Tabas, Jazmurian and Makran regions, showing a close correlation with depths estimated from the maximum thickness of stratigraphic columns. We have also found new sedimentary basins in Bostan Abad, Bijar and south of Orumiyeh Lake. The significant depth of the magnetic basement in the Makran, Jazmurain depression, southeast Caspian Sea, Tabas, Great Kavir, south of Orumiyeh Lake, Bostan Abad and Bijar sedimentary basins makes them future prospects for hydrocarbon explorations. The depth of magnetic basement is strongly reduced over the Neyriz and Kermanshah Ophiolites, but it does not show any meaningful correlation with other outcrops of ophiolitic rocks in Iran.

Detecting Salt Domes in gravity data of the South-East Zagros
"The study area covers a region of 9000 km2 is located in south-east Zagros. The thick sedimentar... more "The study area covers a region of 9000 km2 is located in south-east Zagros. The thick sedimentary cover (>10 km) and presence of large number of salt plugs are among the most prominent features of the area. The main goal of this study is the detection of surfaced and blind salt domes on the ground Bouguer anomaly of the region. The data used in this study is consisted of 6500 ground gravity survey points with a spatial resolution of 500 m along approximately N-S survey lines with spacing of 2500 m. Applying local phase filters (i.e., Tilt, Theta and HTA filters) on the ground Bouguer gravity map of study area, we detected seven blind salt domes. Seismic profiles cross two of the newly detected blind salt domes, confirming their subsurface presence. Topographic features for the two other blind salt domes
are in support of their presence at depth."

The basement structure in the SE Zagros using gravity and magnetic methods
"The study area is located in the SE Zagros fold and thrust belt, west of Hormuz Strait, contiguo... more "The study area is located in the SE Zagros fold and thrust belt, west of Hormuz Strait, contiguous to the Persian Gulf and within the Fars morphologic region of the Zagros.
The basement morphology can be a critical data for oil exploration in the study area. We did a combined gravity-magnetic forward modeling to estimate basement morphology in the study area. Forward modeling for a W-E profile of combined magnetic-gravity data implies a horst-graben structure for the basement.
Zagros is the youngest mountain range in the world but still little is known about the style of its deformation. There are conflicting theories about its style of deformations, namely thin and thick skinned deformation. Based on topography variations and poorly located earthquake epicenters, different people introduced several basement faults for the region in support of thick skinned deformation of Zagros. Using local phase filters, we detected a lineation on Bouguer map of the region which closely follows trace of Zagros Frontal Fault. However due to short wavelength of the lineation and results of Euler Deconvolution method, the lineation cannot be attributed to a basement fault. Furthermore, we have shown that except for Zagros Frontal Fault and Hendurabi fault, all other suggested faults for the region do not have any signature on the magnetic or gravity map of the region. The Hendurabi fault can be seen more clearly on aeromagnetic map of the Iran. Due to the large wavelength of Hendurabi fault, we consider the fault to be a basement fault. We noticed that Hendurabi fault acts as a boundary for western distribution of the salt domes in the Fars region. This observation is also in favor of the Hendurabi Fault to be a basement fault. There is no significant E-W long wavelength anomaly in both magnetic and gravity maps, implying that basement faulting are not significant in the study area. This in turn implies thick-skinned deformation is not important for the study area
All papers by Vahid Teknik

Tectonophysics, 2020
(by V. Teknik, H. Thybo, I.M. Artemieva, A. Ghods)
The Iranian plateau is one of the most com... more (by V. Teknik, H. Thybo, I.M. Artemieva, A. Ghods)
The Iranian plateau is one of the most complex geodynamic settings within the Alpine-Himalayan belt. The Paleo-Tethys and Neo-Tethys ocean subduction is responsible for the formation of several magmatic arcs and sedimentary basins within the plateau. These zones mostly are separated by thrust faults related to paleo-suture zones, which are highlighted by ophiolites. Sediment cover and overprint of a different magmatic phase from late Triassic to the Quaternary impede identification of some magmatic arcs and ophiolite belts. We track the known magmatic arcs, such as the Urmia-Dokhtar Magmatic Arc (UDMA), and unknown, sediment covered magmatic arcs by aeromagnetic data. We present a new map of average susceptibility calculated by the radially averaged power spectrum method. High average susceptibility values indicate the presence of a number of lineaments that correlate with known occurrences of Magmatic-Ophiolite Arcs (MOA), and low average susceptibility coincides with known sedimentary basins like Zagros, Makran, Kopeh-Dagh, and Tabas. In analogy to Zagros, low average susceptibility values indicate sedimentary basins to the south of the Darouneh fault and in the northern part of the Lut, Tabas and Yazd blocks. We interpret the Tabas basin as a pull-apart or back-arc basin. We identify hitherto unknown parallel MOAs in eastern Iran and the SE part of UDMA which both indicate steeply dipping (> 60°dip) paleo-subduction zones. In contrast, we interpret shallow subduction (< 20°dip) of Neo-Tethys in the NW part of UDMA as well as in the Sabzevar-Kavir MOA.
Uploads
Papers by Vahid Teknik
are in support of their presence at depth."
The basement morphology can be a critical data for oil exploration in the study area. We did a combined gravity-magnetic forward modeling to estimate basement morphology in the study area. Forward modeling for a W-E profile of combined magnetic-gravity data implies a horst-graben structure for the basement.
Zagros is the youngest mountain range in the world but still little is known about the style of its deformation. There are conflicting theories about its style of deformations, namely thin and thick skinned deformation. Based on topography variations and poorly located earthquake epicenters, different people introduced several basement faults for the region in support of thick skinned deformation of Zagros. Using local phase filters, we detected a lineation on Bouguer map of the region which closely follows trace of Zagros Frontal Fault. However due to short wavelength of the lineation and results of Euler Deconvolution method, the lineation cannot be attributed to a basement fault. Furthermore, we have shown that except for Zagros Frontal Fault and Hendurabi fault, all other suggested faults for the region do not have any signature on the magnetic or gravity map of the region. The Hendurabi fault can be seen more clearly on aeromagnetic map of the Iran. Due to the large wavelength of Hendurabi fault, we consider the fault to be a basement fault. We noticed that Hendurabi fault acts as a boundary for western distribution of the salt domes in the Fars region. This observation is also in favor of the Hendurabi Fault to be a basement fault. There is no significant E-W long wavelength anomaly in both magnetic and gravity maps, implying that basement faulting are not significant in the study area. This in turn implies thick-skinned deformation is not important for the study area
All papers by Vahid Teknik
The Iranian plateau is one of the most complex geodynamic settings within the Alpine-Himalayan belt. The Paleo-Tethys and Neo-Tethys ocean subduction is responsible for the formation of several magmatic arcs and sedimentary basins within the plateau. These zones mostly are separated by thrust faults related to paleo-suture zones, which are highlighted by ophiolites. Sediment cover and overprint of a different magmatic phase from late Triassic to the Quaternary impede identification of some magmatic arcs and ophiolite belts. We track the known magmatic arcs, such as the Urmia-Dokhtar Magmatic Arc (UDMA), and unknown, sediment covered magmatic arcs by aeromagnetic data. We present a new map of average susceptibility calculated by the radially averaged power spectrum method. High average susceptibility values indicate the presence of a number of lineaments that correlate with known occurrences of Magmatic-Ophiolite Arcs (MOA), and low average susceptibility coincides with known sedimentary basins like Zagros, Makran, Kopeh-Dagh, and Tabas. In analogy to Zagros, low average susceptibility values indicate sedimentary basins to the south of the Darouneh fault and in the northern part of the Lut, Tabas and Yazd blocks. We interpret the Tabas basin as a pull-apart or back-arc basin. We identify hitherto unknown parallel MOAs in eastern Iran and the SE part of UDMA which both indicate steeply dipping (> 60°dip) paleo-subduction zones. In contrast, we interpret shallow subduction (< 20°dip) of Neo-Tethys in the NW part of UDMA as well as in the Sabzevar-Kavir MOA.